Шектер туралы теоремалар

Тақырыбы:_Шектер туралы теоремалар
Сабақтың мақсаты
Білімділік: Тақырыпты түсіндіріп, есептер шығара білуге үйрету.
Дамытушылық: Өзбетімен жұмыс істеуге, шығармашылықпен ізденуге дағдыландыру.
Тәрбиелік: Ұқыптылыққа байқампаздыққа, жауапкершілікке тәрбиелеу.
Сабақтың типі: аралас сабақ.
Сабақтың қамтамасыздандылуы:
а) оқу көрнекілік
құралдар: электронды оқулық материалдарды, слаидтар, анықтамалық кестелер.
б) үлестірмелі
материалдар: жекелеме карточкалар.
в) ТОҚ: компьютер, проэктор, экран.
Пәнаралық
байланыс: физика, информатика
Қолданатын әдебиет:
Негізгі : 1) 10-11 сынып алгебра авторы А. Е. Абылқасымова
2) курс высшей математики для сред. спецалистов автор Н. П. Гарасов.
Қосымша: тест материалдары. қосымша деректер,
Өз бетінше
жұмыс: деңгейлік тапсырмалар. А, В, С нұсқалары бойынша.
Сабақтың өту барысы:
Ұйымдастыру
кезеңі: 1) Оқушыларды түгендеу, жинақтау.
Оқушылардың біліктілігі мен дағдысын тексеру
- Өткен тақырыптарды пысықтау.
а) сұрақ-жауап әдісі
ә) жекелеме деңгейлік тапсырмалар.
б) үйге берілген есептерді талдау.
Егер
- шегі бар болса (кейде оны
немесе
интерактивті тақта, карточка
деп те белгілейді), онда оны функция
-тің х х
0
-ге сол жағынан ұмтылғандағы
шегі
деп атайды. Дәл осы сияқты функция
-тің х х
0
-ге оң жағынан ұмтылғандағы шегі
анықтауға болады.
Функцияның оң жақты және сол жақты шектерін оның бір жақты шектері деп атайды.
Функция
-тің х
0
-дегі шегі болуы үшін оның оң жақты және сол жақты шектерінің болуы қажетті және жеткілікті, яғни
.
Функция шектері жөнінде келесі теоремалар орынды болады:
Теорема.
Айталық,
және
бар болсын, онда
болады (мұнда
болуы да мүмкін) .
Егер осы теоремалардың шарттары орындалмаса, онда
түріндегі анықталмағандықтар жүз беруі мүмкін, ондай анықталмағандықтар алгебралық түрлендірулер арқылы айқындалады.
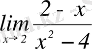
1-мысал
.
- шегін табыңыз.
Шешуі:
Біз мұнда
-анықталмағандығына душар боламыз. Оны айқындау үшін жақша ішіндегі өрнекті ортақ бөлімге келтіреміз. Сонда
-ті аламыз, бұл бізге
-анықталмағандығын береді, сондықтан х-тің орнына 2-ні қоймай тұрып, яғни, шек астындағы өрнекті (х-2) -ге қысқартамыз. Сонда
-ді аламыз.
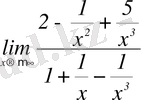
2-мысал
.
-шегін табыңыз.
Шешуі
: Мұнда
-анықталмағандығын аламыз. Оны айқындау үшін шек астындағы бөлшектің алымын да, бөлімін де х
3
-ке бөлеміз. Сонда:
шек астындағы бөлшектің бөлімінің шегі
ұмтылғанда нөлден өзгеше, олай болса оған 2-теореманы қолдануға болады, яғни,
№3
№4
Сабақтың қорытындысы:
қолы:
- Іс жүргізу
- Автоматтандыру, Техника
- Алғашқы әскери дайындық
- Астрономия
- Ауыл шаруашылығы
- Банк ісі
- Бизнесті бағалау
- Биология
- Бухгалтерлік іс
- Валеология
- Ветеринария
- География
- Геология, Геофизика, Геодезия
- Дін
- Ет, сүт, шарап өнімдері
- Жалпы тарих
- Жер кадастрі, Жылжымайтын мүлік
- Журналистика
- Информатика
- Кеден ісі
- Маркетинг
- Математика, Геометрия
- Медицина
- Мемлекеттік басқару
- Менеджмент
- Мұнай, Газ
- Мұрағат ісі
- Мәдениеттану
- ОБЖ (Основы безопасности жизнедеятельности)
- Педагогика
- Полиграфия
- Психология
- Салық
- Саясаттану
- Сақтандыру
- Сертификаттау, стандарттау
- Социология, Демография
- Спорт
- Статистика
- Тілтану, Филология
- Тарихи тұлғалар
- Тау-кен ісі
- Транспорт
- Туризм
- Физика
- Философия
- Халықаралық қатынастар
- Химия
- Экология, Қоршаған ортаны қорғау
- Экономика
- Экономикалық география
- Электротехника
- Қазақстан тарихы
- Қаржы
- Құрылыс
- Құқық, Криминалистика
- Әдебиет
- Өнер, музыка
- Өнеркәсіп, Өндіріс
Қазақ тілінде жазылған рефераттар, курстық жұмыстар, дипломдық жұмыстар бойынша біздің қор #1 болып табылады.

Ақпарат
Қосымша
Email: info@stud.kz