Сабақтың тақырыбы. Сабақ мақсаты

ҚАЗАҚСТАН РЕСПУБЛИКАСЫ БІЛІМ ЖӘНЕ ҒЫЛЫМ МИНИСТРЛІГІ
«АВИМЕД» медициналық колледжі
КЕЛІСІЛДІ БЕКІТЕМІН
Колледж әдіскері Директордың оқу ісі Имансаева Ж. Д. жөніндегі орынбасары
«___»2017 ж. Джумалиева Л. Н.
«___»2017 ж.
Математика пәнінен
«ЛОГАРИФМДІК ТЕҢДЕУЛЕР ЖӘНЕ ОЛАРДЫҢ ЖҮЙЕЛЕРІ»
тақырыбына өткізілген ашық сабақ жоспары
Бөлім: күндізгі
Мамандығы: «Акушерия»
Курс: __ 1
Тобы:__ 101
Дайындаған математика пәнінің оқытушысы: Даулетханқызы Фариза
Өткізілген күні:
Алматы 2017 ж
Сабақтың тақырыбы : Логарифмдік теңдеулер және олардың жүйелері
Сабақ мақсаты: Студенттерге логарифмдік теңдеулер және олардың жүйелері туралы мағлұмат беру. Тақырып бойынша оқушылардың білімдерін жүйелеу, жалпылау және тексеруді іске асыру. Оқушының ойын жеткізу білуін және ой өрісін дамыту. Оқушыны ұйымшылдыққа, ұқыптылыққа, дәлдікке, өзін-өзі бағалай білуге тәрбиелеу.
Сабақтың түрі: Аралас сабақ
Сабақтың әдісі: Есеп шығару
Көрнекілігі : Интерактивті тақта
Сабақтың барысы
Ұйымдастыру бөлімі
- Оқушылармен сәлемдесу.
- Сабақта жоқ оқушыларды белгілеу.
- Сабаққа дайындықты тексеру.
Жаңа сабақты түсіндіру
Анықтама. Айнымалысы логарифм белгісінің ішінде болатын теңдеуді логарифмдік теңдеу деп атайды.
Қарапайым логарифмдік теңдеудің түрі:
Мұндағы, a және b - берілген сандар, ал x - тәуелсіз шама.
Егер a > 0, және a ≠ 1 болса, онда мұндай теңдеудің
x = a b
түріндегі бір ғана түбірі болады.
Логарифмдік теңдеуді шешудің тәсілдерін қарастырайық.
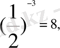
1. Логарифмнің анықтамасын қолдану арқылы шығарылатын теңдеулер.
- теңдеуін шешейік.
Шешуі: логарифмнің анықтамасы бойынша
, онда x=2
Табылған айнымалаының мәнін теңдеуге қойып тексереміз:
Демек, x=2 мәні теңдеуді қанағаттандырады.
Жауабы:2
Логарифмдік функцияның анықталу облысы оң нақты сандар жиыны екені белгілі. Сондықтан логарифмдік теңдеулерді шығару кезінде алдымен айнымалының мүмкін болатын мәндер жиынын анықтайды. Одан кейін берілген теңдеу шығарылып, табылған айнымалы мәндерінің мүмкін мәндер жиынына тиісті болатыны тексеріледі.
2. Жаңа айнымалы енгізу тәсілі.
3-мысал.
теңдеуін шешейік.
Шешуі.
өрнегін
y
арқылы өрнектейік. Сонда берілген теңдеудің орнына
теңдеуін аламыз, теңдеудің түбірлері
Енді айнымалысының мәндерін анықтаймыз:
Айнымалының екі мәні де берілген теңдеуді қанағаттандырады.
Жауабы:4;
.
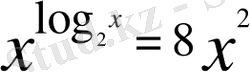
4. Мүшелеп логарифмдеу тәсілі.
4-мысал.
теңдеуін шешейік.
Шешуі. Берілген теңдеуді былай жазайық:
немесе
Шыққан теңдеуді негізін 2-ге тең етіп логарифмдейік:
Демек, 1)
осыдан
2)
осыдан
Тексеру: 1)
немесе
8=8.
2)
немесе
8=8.
Жауабы:8;
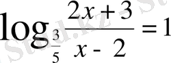
Практикада негіздері әр түрлі логарифмдерден тұратын логарифмдік теңдеулер кездеседі. Мұндай жағдайда жаңа негізге көшу формуласы қолданылады .
5-мысал.
теңдеуін шешейік.
Шешуі. x айнымалысының мүмкін болатын мәндер жиыны (0; 1) ᴗ(1; +∞) аралығы екені бірден байқалады. Жаңа негізге көшу формуласын қолданып,
өрнегін негізі 2 болатын логарифмге алмастырамыз:
Сонда берілген теңдеу мына түрге келеді:
немесе
. Демек,
немесе
мұнан x=2;
болғандықтан, 2 саны теңдеудің түбірі болады.
Жауабы: 2.
Егер айнымалы дәреженің көрсеткішінде де, логарифм белгісінің ішінде де болса, мұндай теңдеуді көрсеткіштік логарифмдік теңдеу деп атайды.
Көрсеткіштік логарифмдік теңдеуді шешу үшін теңдеудің екі жағын логарифмдеу тәсілі арқылы логарифмдік теңдеуге келтіріледі.
6-мысал.
теңдеуін шешейік.
Шешуі.
теңдеуді түрінде жазамыз.
тепе-теңдігін қолданып, келесі теңдеуді аламыз:
, осыдан
.
3 негізі бойынша теңдеудің екі жағын логарифмдейміз. Сонда
бұдан
және
немесе
және
.
Тексеру:1)
;
2)
Жауабы:
Жаңа сабақты бекіту
№278
1.
2.
3.
4.
№279
1.
2.
3.
4.
Үйге тапсырма: Негізгі анықтамаларды жаттап келу, 280 (1, 2) №281 есепті шығару.
- Іс жүргізу
- Автоматтандыру, Техника
- Алғашқы әскери дайындық
- Астрономия
- Ауыл шаруашылығы
- Банк ісі
- Бизнесті бағалау
- Биология
- Бухгалтерлік іс
- Валеология
- Ветеринария
- География
- Геология, Геофизика, Геодезия
- Дін
- Ет, сүт, шарап өнімдері
- Жалпы тарих
- Жер кадастрі, Жылжымайтын мүлік
- Журналистика
- Информатика
- Кеден ісі
- Маркетинг
- Математика, Геометрия
- Медицина
- Мемлекеттік басқару
- Менеджмент
- Мұнай, Газ
- Мұрағат ісі
- Мәдениеттану
- ОБЖ (Основы безопасности жизнедеятельности)
- Педагогика
- Полиграфия
- Психология
- Салық
- Саясаттану
- Сақтандыру
- Сертификаттау, стандарттау
- Социология, Демография
- Спорт
- Статистика
- Тілтану, Филология
- Тарихи тұлғалар
- Тау-кен ісі
- Транспорт
- Туризм
- Физика
- Философия
- Халықаралық қатынастар
- Химия
- Экология, Қоршаған ортаны қорғау
- Экономика
- Экономикалық география
- Электротехника
- Қазақстан тарихы
- Қаржы
- Құрылыс
- Құқық, Криминалистика
- Әдебиет
- Өнер, музыка
- Өнеркәсіп, Өндіріс
Қазақ тілінде жазылған рефераттар, курстық жұмыстар, дипломдық жұмыстар бойынша біздің қор #1 болып табылады.

Ақпарат
Қосымша
Email: info@stud.kz