Сабақ жоспары. Сабақ барысы

Сабақ жоспары
Тақырыбы: Санды теңсіздіктердің қасиеттері
Мақсаты:Санды теңсіздік туралы мағлұмат беру :
- сандарды салыстырып, теңсіздікпен жазуды;
- қатаң, қатаң емес теңсіздіктерді жазуды, оқуды;
- таңбалары бірдей, таңбалары қарама - қарсы теңсіздіктерді жазуды, оқуды үйрету;
1. Санды теңсіздік туралы мағлұмат беру :
- сандарды салыстырып, теңсіздікпен жазуды;
- қатаң, қатаң емес теңсіздіктерді жазуды, оқуды;
- таңбалары бірдей, таңбалары қарама - қарсы теңсіздіктерді жазуды, оқуды үйрету;
Әдістер мен стратегиялар: Практикалық, сұрақ-жауап, жекеше, жұптық, топтық- ұжымдық
Құралдар: оқулық, карточка, бағалау парағы
Сабақ барысы:
1. Ұйымдастыру
2. Үй тапсырмасы тексеру
3. Өткен материалды қайталау
4. Жаңа сабақ
5. Бекіту
6. Инклюзив оқушымен жұмыс
7. Сабақты қорытындылау
Оқушылармен амандасу, түгендеу, назарын сабаққа аудару
Оқушылардың дәптерлерінен үй тапсырмасының орындалуын тексеру
Ынтымақтастық атмосферасы. (2 мин) Балалар, бір - біріңе қарап жымиыңдар, жайланып отырып, көздеріңді жұмыңдар. Менің айтқанымды іштеріңнен қайталаңдар.
Мен бақытты баламын,
Жан дүниемде күн нұрлы
Жылуым мол бойымда.
« Ыстық орындық » стратегиясы арқылы
Оқушылар өткен тақырыпқа байланысты бір-бірден сұрақ жазып, конвертке салады. Жеребе арқылы ортаға оқушы шығып, ыстық орындыққа келіп отырып, конверттен сұрақ алады да жауап бере алса, ары қарай жалғастырады, егер жауап бере алмаса, күйіп кетеді де, келесі оқушы шығады.
1) Теңбе-тең өрнектер дегеніміз не?
2) Теңбе-теңдік деп нені атаймыз?
3) Теңбе-тең түрлендіру дегеніміз не?
4) Нелерді пайдаланып, өрнектерді ықшамдаймыз?
5) Сатылы бөлшектер дегеніміз қандай бөлшектер?
6) Тура санды теңдіктің екі жақ бөлігіне де бірдей санды қосқанда тура санды теңдік теңдік шығадыма?
7) Тура санды теңдіктің екі жақ бөлігіне де нөлден өзге бірдей санға көбейткенде немесе бөлгенде тура санды теңдік теңдік шығады ма?
8) Екі тура санды теңдікті мүшелеп қосқанда тура санды теңдік шығады ма?
9) Екі тура санды теңдікті мүшелеп көбейткенде тура санды теңдік шығады ма?
10) Бір айнымалысы бар сызықтық теңдеу дегеніміз не?
11) Теңдеудің түбірі дегеніміз не?
12) Теңдеулерді шешуде қолданылатын теңдеудің қасиеттерін айт!
13) Айнымалысы модуль таңбасының ішінде берілген теңдеу дегеніміз не?
14) Айнымалысы модуль таңбасының ішінде берілген бір айнымалысы бар сызықтық теңдеулерді шешудеқандай формулалар қолданылады?
15) Айнымалысы модуль таңбасының ішінде берілген бір айнымалысы бар сызықтық теңдеулерді шешуде модульдің қандай қасиеттері қолданылады?
Шешуі:
1) Екі өрнектегі айнымалылардың қабылдайтын мәндерінің кез келгенінде сәйкес мәндері тең өрнектер
2) Айнымалылардың қабылдайтын мәндерінің кез келгенінде тура болатын теңдікті
3) Өрнектегі оған теңбе-тең өрнекпен алмастыруды өрнекті
4)
1) қосудың ауыстырымдылық, терімділік қасиеттерін пайдалану;
2) көбейтудің ауыстырымдылық, терімділік қасиеттерін пайдалану;
3) ұқсас қосылғыштарды біріктіру
4) жақшаларды ашу
5)
және өрнектері - сатылы бөлшектер.
6) Егер а = в болса, онда а+ с = в + с
7) Егер а = в болса, онда ас = в с
8) Екі тура санды теңдікті мүшелеп қосқанда тура санды теңдік шығады.
Мысалы 42:(-6) =-7
12*5=60
42:(-6) + 12* 5= (-7) + 60
53 = 53
9) Екі тура санды теңдікті мүшелеп көбейткенде тура санды теңдік шығады.
5+3 = 8
9-2=7
(5 + 3) * (9-2) = 8*7
10) ах=b түріндегі теңдеу (мұндағы х -айнымалы, а және b -қандай да бір сандар) бір айнымалысы бар сызықтық теңдеу деп аталады.
11) теңдеуді тура санды теңдікке айналдырады.
12) 1. -қарсығаөзгертіп, оны жағына көшіргенде теңдеу мәндес теңдеуге түрленеді.
2. Теңдеуліңекіжағын да түрленеді.
13)
теңдеулері айнымалысы модуль таңбасының ішінде берілген бір айнымалысы бар сызықтық теңдеулер.
14) Айнымалысы модуль таңбасының ішінде берілген бір айнымалысы бар сызықтық теңдеулерді шешуде:
1) координаталық түзудегі
A(a)
және
B(b)
нүктелерінің арақашықтығы пайдаланылады:
2)
.
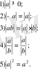
15) Есептеулерде модульдің негізгі қасиеттері де пайдаланылады:
1-қасиет. Егер а саны b санынан үлкен, ал b саны с санынан үлкен болса, онда а саны с санынан үлкен болады.
Егер
болса, онда
.
2-қасиет. Егер тура теңсіздіктің екі жақ бөлігіне де бірдей сан қосылса, теңсіздік белгісі өзгертілмей, тура санды теңсіздік шығады.
Егер
болса, онда
.
3-қасиет. Егер
- Іс жүргізу
- Автоматтандыру, Техника
- Алғашқы әскери дайындық
- Астрономия
- Ауыл шаруашылығы
- Банк ісі
- Бизнесті бағалау
- Биология
- Бухгалтерлік іс
- Валеология
- Ветеринария
- География
- Геология, Геофизика, Геодезия
- Дін
- Ет, сүт, шарап өнімдері
- Жалпы тарих
- Жер кадастрі, Жылжымайтын мүлік
- Журналистика
- Информатика
- Кеден ісі
- Маркетинг
- Математика, Геометрия
- Медицина
- Мемлекеттік басқару
- Менеджмент
- Мұнай, Газ
- Мұрағат ісі
- Мәдениеттану
- ОБЖ (Основы безопасности жизнедеятельности)
- Педагогика
- Полиграфия
- Психология
- Салық
- Саясаттану
- Сақтандыру
- Сертификаттау, стандарттау
- Социология, Демография
- Спорт
- Статистика
- Тілтану, Филология
- Тарихи тұлғалар
- Тау-кен ісі
- Транспорт
- Туризм
- Физика
- Философия
- Халықаралық қатынастар
- Химия
- Экология, Қоршаған ортаны қорғау
- Экономика
- Экономикалық география
- Электротехника
- Қазақстан тарихы
- Қаржы
- Құрылыс
- Құқық, Криминалистика
- Әдебиет
- Өнер, музыка
- Өнеркәсіп, Өндіріс
Қазақ тілінде жазылған рефераттар, курстық жұмыстар, дипломдық жұмыстар бойынша біздің қор #1 болып табылады.

Ақпарат
Қосымша
Email: info@stud.kz