Сызықтық алгоритмді бағдарламалау

Баймырза Бесбаев атындағы орта мектеп
Тақырыбы:
«Сызықтық алгоритмді бағдарламалау»
Сынып: 9 «А»
Информатика
пәні мұғалімі: Құралбеков Медеубек Тазабекұлы
2013-2014 оқу жылы
Информатика Сынып: 9 Күні: 29. 11. 2013 ж.
Сабақтың тақырыбы: Сызықтық алгоритмті бағдарламалау
Сабақтың мақсаты: сызықтық алгоритмдерді бағдарламалауды үйрету. Сабақтан алған
теориялық білімдерін жүйелі түрде тәжірибе жүзінде көрсете білу
дағдыларын қалыптастыру.
Сабақтың міндеттері:
Білімділік:
Шартты операторлардың жазылу тәртібімен таныстыру, сызықтық алгоритмдерді бағдарламалауды үйрету. Сабақтан алған теориялық білімдерін жүйелі түрде тәжірибе жүзінде көрсете білу дағдыларын қалыптастыру.
Дамытушылық:
Бағдарламалау тілінде жұмыс жасай білу дағдыларын, ойлау қабілеттерін, өз білімдерін сауатты түрде жеткізе білуді, пәнге деген қызығушылықты дамыту.
Тәрбиелік:
Оқушылардың белсенділігін арттыру, жұмыс жасау мақсатында компьютерлік сауаттылыққа, өзара көмектесуге, өзін-өзі бағалауға тәрбиелеу.
Сабақтың типі: Жаңа тақырыпты түсіндіру
Сабақтың түрі: топтық, жекелей
Сабақтың әдіс-тәсілдері: Практикалық
Сабақтың көрнекіліктері: Компьютер, презентация, электрондық оқулық, кеспе қағаздар
Пәнаралық байланыс: математика, геометрия, ағылшын тілі.
Сабақтың жоспары:
- Ұйымдастыру
- Үй тапсырмасын қайталау
а) (Лото ойыны, тапсырмалар)
ә) Топтастыру
б) «Ойлан-Тап»
в) «Ішіне-сыртына»
- Жаңа сабақты түсіндіру (Сөзжұмбақ, электрондық оқулықпен жұмыс)
- Практикалық жұмыс (Деңгей бойынша берілген есептерге программа құру)
5. Сабақты пысықтау («Құрастырма», «Миллион кімге бұйырады» ойындары)
- Үй тапсырмасы
- Оқушыларды бағалауҰйымдастыру кезеңі. Оқушылармен амандасып, түгелдеу, назарларын сабаққа аудару. Оқушыларды топқа бөлу. Кеспе қағаздар арқылы 2 топқа бөлу
1-топ: «BEGIN»
2-топ: «WRITE»
2. Үй тапсырмасын тексеру.
а) «Лото» ойыны
1. Алгоритм дегеніміз не? (Алғашқы берілген мәліметтерді пайдаланып, қажетті нәтижеге қол жеткізуді жүзеге асыратын әрекеттердің орындалу ережесі. )
2. Алгоритм түрлерін ата (Сызықтық, тармақталған, циклдік)
3. Алгоритмдерді ұсыну тәсілдерін ата (табиғи тілде, графикалық тілде, алгоритмдік тілде, программалау тілінде)
4. Паскаль тіліндегі программа неше бөліктен тұрады? (3 бөліктен тұрады. Программаның тақырыбы, сипаттау бөлімі, операторлар бөлімі)
5. Var операторының қызметі қандай? (Айнымалыларды сипаттау)
6. Const операторының қызметі қандай? (Тұрақтыларды сипаттау)
7. Read операторының қызметі қандай? (Берілгендерді еңгізу)
8. Write операторының қызметі қандай? (Нәтижені шығару)
ә) «Топтастыру»тапсырмасында оқушылар интерактивтік тақтаға шығып алгоритм қасиеттерін жазып топтастырады
б) «Ойлан-Тап» оқушылар тақтадағы фотосуретте бейнеленген адамды табу қажет.
в) «Ішіне-сыртына ». Кестенің ішіне Паскаль программалау тілінде қолданылатын операторларды жазады, ал сыртына программалау тіліне жатпайтын сөздерді жазады.
Internet, Paint, Writeln, Readln, WordPad, Integer, Real, Microsoft, Program, Var, Excel, Const, Power Point, begin, end.
3. Жаңа сабақ түсіндіру.
Жаңа сабақты бастамас бұрын мына сөзжұмбақты шешейік
- Негізгі программаның басы
- Шығару операторы
- Программа тақырыбы
- Бүтін санның типі
- Алгоритмнің орындалу барысында мәні өзгермейтін шама
- Символдық шама
- Енгізу операторы
- Бағдарламаның соңы
Ортадағы ерекше тор көздегі сөзге назар аударайық. « Branched » сөзі ағылшын тілінен аударғанда тармақталған деген мағынаны береді екен. Ал тармақталған алгоритмне басқа қандай алгоритмнің түрлерін білеміз? Ия, сызықтық алгоритм. Сонымен бүгінгі өтетін жаңа тақырыбымыз «Сызықтық алгоритмдерді бағдарламалау»
Паскаль бағдарламаның тілінде сызықтық бағдарлама жасамас бұрын келесі түсініктемеге тоқталайық:
- Паскаль бағдарламалау тілінде операторлар қарапайым және құрама болып бөлінеді:
- Операторлар Begin және end операторлардың ішіне алынып жазылады:
- Тек меншіктеу операторларынан ғана тұрса, оны қарапайым оператор деп атайды.
Сызықты бағдарлама қарапайым операторлардан тұрады.
Сызықты бағдарлама жазу үшін келесі операторлар қолданылады:
меншіктеу операторы;
Read немесе readln -енгізу операторы
Write немесе writeln - шығару операторы.
Презентация
Есеп. Екі бүтін санды қосып, қосындысын экранда шығару.
program qq;
var a, b, c: integer; сипаттау бөлімі
begin
read ( a, b ) ; енгізу операторы
c := a + b; меншіктеу операт негізгі бөлім
writeln ( c ) ; шығару операторы
end.
Осы прграмманың орындалуын оқушыларға түсіндіру,
Программаны орындау үшін
1) F10 ( программаны орында) пернесін басамыз.
2) а және в айнымалыларына мән енгізу керек. Мысалы, 9 5 сандарын енгізіп, enter пернесін басамыз.
3) Экранға с-ның мәні 14 шығады.
Оқушы қызығушылығын арттыру.
«Тау шыңына шығу» ойыны.
Тау шыңына шығу үшін оқушылар деңгейлік тапсырмалар орындайды.
1 деңгей.
І-топ
«BEGIN»
өрнегін Паскаль тілінде жаз.
ІІ-топ
«WRITE»
өрнегін Паскаль тілінде жаз.
2 деңгей.
Мұғалімнің көрсеткен мысалына ұқсас есептерді шығару.
І-топ «BEGIN»
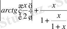
. х нақты сан берілген, t функциясының х-кесәйкес мәнін есептейтін программа жазу керек
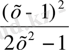
. t=
program M3;
Var x, t:real;
begin
write ('x=') ;
read (x) ;
t:=1/cos(x) +ln(abs(arctan(x/2) ) ) +x/(1+x) ;
write ('', t:6:2) ;
End.
ІІ-топ «WRITE». Радиусы R-ге тең шеңбер берілген. Шеңбердің ұзындығын есептеу программасын құр
Program SHRenber;
Const PI=3. 14159;
Var L: Real ;
R: Integer;
Begin
Writeln;
Read (R) ;
L:=2*Pi*R;
Writeln('', L) ;
End.
3 деңгей.
І-топ «BEGIN» Екі санның қосындысының квадраттарын және көбейтіндісін табу программасын құру керек. х = (a+ b) 1 , у = a* b
Program esep 1;
Var a, b, x, y:integer;
Begin Write (‘a. b- сандарын енгіз’) ;
Readln (a, b) ;
X:=sqr (a+b) ;
Y:= a*b;
Writeln (‘x=’, x) ;
Writeln (‘y=’, y) ;
End.
ІІ-топ «WRITE».
k =(x
2
+ y
2
) *
x+y,
мұндағы функциясының мәнін есептейтін программа құру керек.
Program esep 2 ;
Var k:real;
Const x = 5;
y = 2. 8;
Begin
K: = sqr (x) + sqr(y) * sqrt (x+y) ;
Writeln (‘k = ‘, k) ;
End.
Топтардың жауаптарын бір-бірімен ауыстырып, оқушыларға дұрыс жауаптарын тақтадан тексертемін. Қателерін тауып, екінші топқа бағаларың қояды.
Оқушылардың тапсырмаларын тексеріп, қорытынды жасаймын.
4. Практикалық жұмыс. Өздеріне берілген тапсырмаларды компьютерде орындайды.
5. Сабақты пысықтау
Сабағымызды пысықтау үшін «Құрастырма» ойынын ойнайық.
І-топ «BEGIN» Мына карточкадағы геометриялық фигураларды пайдаланып 3-деңгейдегі тапсырмалардың блок-схемасын құр.
ІІ-топ «WRITE». Мына карточкалар мен геометриялық фигураларды пайдаланып 3-деңгейдегі тапсырмалардың блок-схемасын құр.
«Миллион кімге бұйырады» ойыны
1. Турбо - Паскаль бағдарлау тілі неше буынға бөлінеді?
А) 3
В) 4
С) 5
D) 6
2. Алгоритм дегеніміз не?
А) белгілі бір шаманын мәнін қабылдауын айтамыз
В) барлық қадамдық нұсқаулар орындалып болғаннан соң есептің шешімін табу
С) ақпаратты өңдеу барысында әртүрлі қабылдайтын шама
D) Орындаушыға қойылған тапсырманы шешу үшін берілген ережелер тізбегі
3. Алгоритм неше типке бөлінеді?
А) 2
В) 5
С) 3
D) бөлінбейді
4. Программада қандай бөлім міндетті түрде болуы керек?
А) label бөлімі
В) var бөлімі
С) type бөлімі
D) begin. . end бөлімі
5. Паскаль тілінде жазылған бағдарлама қандай сөзден басталады?
А) PROGRAM
В) VAR
С) BEGIN
D) WRITELN
6. Паскаль тілінде жазылған бағдарлама қандай қызметші сөзімен аяқталады?
А) VAR
В) READ
С) END
D) ARRAY
7. Ағылшын read сөзі қазақша қандай мағына білдіреді?
А) оқу
В) жазу
С) енгізу
D) шығару
8. «:» амалы Паскаль тілінде нені білдіреді? А) бөлімдерге бөлу
В) программаның аяқталуы
С) программаның орындалуы
D) меншіктеу операторы
9. Паскаль тілінде алгоритмнің неше түрі бар?
А) 3
В) 4
С) 2
D) 5
10. Айнымалыны сипаттау үшін қолданатын қызметші сөз
А) Var
B) Begin
C) Program
D) Writeln
Е) еnd
Дұрыс жауаптары
6. Үй тапсырмасы.
1, 7 тақырып (36-43 бет)
7, 11 тапсырмалар (44 бет)
7. Оқушыларды бағалау
Бағалау парағы
І-топ «BEGIN»
- Іс жүргізу
- Автоматтандыру, Техника
- Алғашқы әскери дайындық
- Астрономия
- Ауыл шаруашылығы
- Банк ісі
- Бизнесті бағалау
- Биология
- Бухгалтерлік іс
- Валеология
- Ветеринария
- География
- Геология, Геофизика, Геодезия
- Дін
- Ет, сүт, шарап өнімдері
- Жалпы тарих
- Жер кадастрі, Жылжымайтын мүлік
- Журналистика
- Информатика
- Кеден ісі
- Маркетинг
- Математика, Геометрия
- Медицина
- Мемлекеттік басқару
- Менеджмент
- Мұнай, Газ
- Мұрағат ісі
- Мәдениеттану
- ОБЖ (Основы безопасности жизнедеятельности)
- Педагогика
- Полиграфия
- Психология
- Салық
- Саясаттану
- Сақтандыру
- Сертификаттау, стандарттау
- Социология, Демография
- Спорт
- Статистика
- Тілтану, Филология
- Тарихи тұлғалар
- Тау-кен ісі
- Транспорт
- Туризм
- Физика
- Философия
- Халықаралық қатынастар
- Химия
- Экология, Қоршаған ортаны қорғау
- Экономика
- Экономикалық география
- Электротехника
- Қазақстан тарихы
- Қаржы
- Құрылыс
- Құқық, Криминалистика
- Әдебиет
- Өнер, музыка
- Өнеркәсіп, Өндіріс
Қазақ тілінде жазылған рефераттар, курстық жұмыстар, дипломдық жұмыстар бойынша біздің қор #1 болып табылады.

Ақпарат
Қосымша
Email: info@stud.kz