Бірмүшелер және көпмүшелер

Сынып: 7
Тема: Бірмүшелер және көпмүшелер.
Сабақтың типі: өтілген тақырыпты бекіту.
Мақсаты:
Білімділік: Оқушылардың бірмүшелер және көпмүшелермен жұмыс істеу дағдыларын бекіту.
Дамыту: оқушылардың математикалық тілде сөйлеу дағдыларын, логикалық ойлау қабілеттерін дамыту.
Тәрбиелік: о қушыларды дәлдікке, шапшаңдыққа, ұқыптылыққа, ұжымдастыққа, достыққа тәрбиелеу
Құрал жабдықтар:
Компьютер, проектор, презентация.
САБАҚТЫҢ БАРЫСЫ «ӨЗ ОЙЫНЫМ».
Ойын телевидениялық «Өз ойыным» бағдарламасының элементтерінен тұрады.
Сабақтың презентациясы Power Point бағдарламасы арқылы өткізіледі. Ойын алдында жауаптардың дұрыстығын және ұпай санын есептеп отыруға әділ қазылар алқасы сайланады. Соңында әділ қазылар алқасы нәтижесін шығарады.
Жүргізуші ойында болатын сұрақтардың 4 категориясын атайды:
- Дәреженің қасиеті;
- Бірмүшелер;
- Теориядан
- Көпмүшелер.
Әрбір категория әр түрлі деңгейдегі 5 сұрақтан тұрады. Әрбір дұрыс жауап үшін топар 100-ден 500-ге дейін ұпай алады. Ойнаушы сұрақтың қатегориясын және «құнын» таңдайды. Жүргізуші сұрақты оқиды. Ойлауға немесе есептеуге сұрақтың қиындығына байланысты 1 -ден 3 минутқа дейін уақыт беріледі. Қай топтың ойыншысы бірінші қол көтерсе, сол топ сұраққа жауап беруге құқылы болады. Егер ол дұрыс жауап берсе және оны негіздей алса, онда топтың ұпайына сұрақтың «құны» қосылады. Егер ойыншы дұрыс жауап бермесе топтың ұпайынан сұрақтың «құны» азайтылады. Егер бір де топ дұрыс жауап бермесе, онда жауапты жүргізуші айтады.
Түрлендіруді орында:
2а 2 * 3а =
х 21 : х =





Сандардың қайсысы артық?
немесе
>
Бірмүшенің мәнін табыңдар:
егер
Бірмүшенің квадраты түрінде
өрнекте:



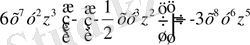
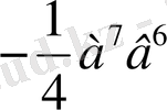
Бірмүшені стандарт түрге келтіріңдер :

n-нің қандай мәнінде теңдік тура:
Бос орынға тиісті сөзді жаз:
Негіздері бірдей дәрежелер көбейтілгенде негізі , ал дәреже көрсеткіштері .
Негіздері бірдей дәрежелерді бөлгенде негізі , ал бөлшектің алымындағы дәреженің көрсеткішінен бөліміндегі дәреженің көрсеткіші .
өзгеріссіз қалады
қосылады
азайтылады
Стандарт түрде жазылған
бірмүшенің санды көбейткіші
Қандай брмүшені
стандарт түрдегі бірмүше
деп атайды?
Бірінші орында тұрған санды көбейткіш
пен негіздері әртүрлі дәрежелердің
көбейтіндісі
Көпмүшені стандарт түрде
жазу үшін не істеу керек?
1. Көпмүшенің әрбір мүшесін стандарт түрде жазу керек.
2. Ұқсас мүшелерді біріктіру керек.
Сөйлемді аяқта:
Көпмүшені көпмүшеге көбейту үшін …
Көпмүшені көпмүшеге көбейту үшін бір көпмүшенің әрбір мүшесін екінші
көпмүшенің әрбір мүшесіне көбейтіп, шыққан көбейтіндіні қосу керек.
Ұқсас мүшелерді біріктір:

Көпмүшені стандарт түрге келтір
Көпмүшелерді көбейтуді орында:
(х+1) (х+2) +2(х+3)

Теңдеуді шеш:

Өрнекті ықшамда:
Сабақтың қорытындысы: ойынның соңында қорытынды жасалады. Әділ қазылар алқасы жариялайды: қай топ ең көп ұпай жинады? Әр топ қалай жұмыс жасады? Жеңімпаздарды алған орындарына және белсенділіктеріне сай бағалармен марапаттайды. Және де тәтті сыйлықтар береді.
- Іс жүргізу
- Автоматтандыру, Техника
- Алғашқы әскери дайындық
- Астрономия
- Ауыл шаруашылығы
- Банк ісі
- Бизнесті бағалау
- Биология
- Бухгалтерлік іс
- Валеология
- Ветеринария
- География
- Геология, Геофизика, Геодезия
- Дін
- Ет, сүт, шарап өнімдері
- Жалпы тарих
- Жер кадастрі, Жылжымайтын мүлік
- Журналистика
- Информатика
- Кеден ісі
- Маркетинг
- Математика, Геометрия
- Медицина
- Мемлекеттік басқару
- Менеджмент
- Мұнай, Газ
- Мұрағат ісі
- Мәдениеттану
- ОБЖ (Основы безопасности жизнедеятельности)
- Педагогика
- Полиграфия
- Психология
- Салық
- Саясаттану
- Сақтандыру
- Сертификаттау, стандарттау
- Социология, Демография
- Спорт
- Статистика
- Тілтану, Филология
- Тарихи тұлғалар
- Тау-кен ісі
- Транспорт
- Туризм
- Физика
- Философия
- Халықаралық қатынастар
- Химия
- Экология, Қоршаған ортаны қорғау
- Экономика
- Экономикалық география
- Электротехника
- Қазақстан тарихы
- Қаржы
- Құрылыс
- Құқық, Криминалистика
- Әдебиет
- Өнер, музыка
- Өнеркәсіп, Өндіріс
Қазақ тілінде жазылған рефераттар, курстық жұмыстар, дипломдық жұмыстар бойынша біздің қор #1 болып табылады.

Ақпарат
Қосымша
Email: info@stud.kz