Көрсеткіштік және логарифмдік функцияларды дифференциялдау

Россовхоз орта мектебі.
Ашық сабақ
11б сынып
Математика пәнінің мұғалімі: Мухамбетова Г. Е.
2013-2014 оқу жылы.
Аты - жөні: Мухамбетова Гулбану Ергалиевна
Мектебі: Россовхоз орта мектебі
Пәні: Алгебра
- Көрсеткіштік және логарифмдік функцияның туындысын табу, есептер шығаруда қолдана білу. Оқушылардың ақыл-ойын жан-жақты дамыту, математикалық сауаттылығын арттыру.
- Жауапкершілікке, өз бетімен жұмыс істеуге тәрбиелеу, пәнге деген қызығушылын арттыру.
-Көрсеткіштік және логарифмдік функцияның туындысын таба біледі, есептер шығаруда қолдана алады.
-Математикалық сауаттылығы артады.
-Бір-бірін тыңдай білуге үйренеді, бағалай алады.
-Топтасуды үйренеді, мағнаны ашуда бірлесе жұмыс атқаруға дағдыланады, білімін кеңейтеді,
І. Ұйымдастыру. Сабақты көңіл-күй тренингімен бастау. Оқушыларға үш көңіл-күй бейнеленген смаиликтер көрсетіледі, сабағымызды қайсы көңіл-күймен бастаймыз деп сұралады.
«Күліп жүр» тенингін көрсету
Оқушыларды өткен тақырыптарындағы формулалары бойынша2 топқа бөлу.
Оқушылар көңілді өте жақсы көңіл күймен деп жауап береді. Қолдарымен 3 рет шапалақтайды
Оқушылар формулаларға сәйкес топтасып отырады.
Еске түсіру.
Оқушыларға интерактивті тақтадан формулаларды еске түсіру.
Түсіну, тану, білу. Екі топқатапсырма беріледі.
І топқа Семантикалық карта
ІІ топқа «Т» кестесі
І топ: семантикалық карта
ІІ топ:Сәйкестендіру























.
Ітоп:
1.
Функциясының графигіне
нүктесіндегі
жанаманың теңдеуін жазыңдар.
2.
функциясы үшін алғашқы функцияның жалпы
түрін жазыңдар.
ІІ топ: 1.
Функциясының графигіне
нүктесіндегі
жанаманың теңдеуін жазыңдар.
2.
функциясы үшін алғашқы функцияның
жалпы түрін жазыңдар.
І топ:
ІІ топ:
Шағын тест
- х-тің қандай мәндеріндефункциясы оң мәндерді функциясы оң мәндерді қабылдамайды?
А)
В)
С)
Д)
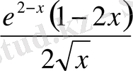
- Функцияның туындысын табыңыз: f(x) =.
A) -
. B) 36e 6x . C ) -
. D)
.
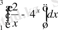
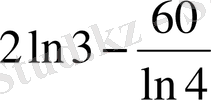
3.
интегралынның мәнін есептеңдер.
А)
В)
С)
Д)
![]()
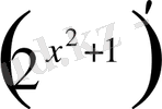
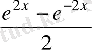
4. f(x) =
функциясының туындысын табыңдар және f ' (0) мәнін есептеңдер.
A ) 2B) -2C) -6D) 3E) 5
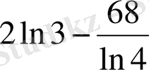
5.
функциясының кесіндісіндегі ең үлкен және ең кіші мәнін табыңдар.
A) 6; 12B) 6е 2 ; 12е. С) 6е; 12е. D) 12е 2 ; 6е
І топ: туынды
ІІтоп: Интеграл сөздеріне синквейн құрастыру.
- Іс жүргізу
- Автоматтандыру, Техника
- Алғашқы әскери дайындық
- Астрономия
- Ауыл шаруашылығы
- Банк ісі
- Бизнесті бағалау
- Биология
- Бухгалтерлік іс
- Валеология
- Ветеринария
- География
- Геология, Геофизика, Геодезия
- Дін
- Ет, сүт, шарап өнімдері
- Жалпы тарих
- Жер кадастрі, Жылжымайтын мүлік
- Журналистика
- Информатика
- Кеден ісі
- Маркетинг
- Математика, Геометрия
- Медицина
- Мемлекеттік басқару
- Менеджмент
- Мұнай, Газ
- Мұрағат ісі
- Мәдениеттану
- ОБЖ (Основы безопасности жизнедеятельности)
- Педагогика
- Полиграфия
- Психология
- Салық
- Саясаттану
- Сақтандыру
- Сертификаттау, стандарттау
- Социология, Демография
- Спорт
- Статистика
- Тілтану, Филология
- Тарихи тұлғалар
- Тау-кен ісі
- Транспорт
- Туризм
- Физика
- Философия
- Халықаралық қатынастар
- Химия
- Экология, Қоршаған ортаны қорғау
- Экономика
- Экономикалық география
- Электротехника
- Қазақстан тарихы
- Қаржы
- Құрылыс
- Құқық, Криминалистика
- Әдебиет
- Өнер, музыка
- Өнеркәсіп, Өндіріс
Қазақ тілінде жазылған рефераттар, курстық жұмыстар, дипломдық жұмыстар бойынша біздің қор #1 болып табылады.

Ақпарат
Қосымша
Email: info@stud.kz