Жай бөлшекті бөлу

Математика. 5 сынып
Тақырыбы: Жай бөлшекті бөлу
Мақсаты:
Білімділік: Жай бөлшекті бөлудің ережелерін пайдаланып, оларды қолдана алуы.
Тәрбиелік: Оқушыларды ұқыптылыққа, дәлдікке тәрбиелеу.
Дамытушылық: Оқушылардың ой-өрісін логикалық ойлау қабілетін дамыту.
Көрнекілігі: слайдтар, компьютер, видеопраектор
Жүрісі:
- Ұйымдастыру
- Үй тапсырмасын тексеру №752 есеп
- «Еске түсіру» сұрақ-жауап
1. Жай бөлшек, жай бөлшекке қалай көбейтеміз.
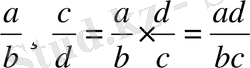
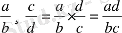
Алымы берілген бөлшектердің алымдарының көбейтіндісіне, бөлімі бөлімдерінің көбейтіндісіне тең бөлшек.
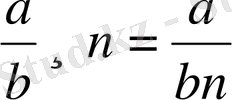
2. Натурал санды бөлшек санға көбейткенде натурал сан бөлшек алымына көбейтіп, көбейтінді бөлшектің алымы болады да, бөлімі өзгеріссіз қалады.
3. Аралас сандарды жай бөлшекке қалай көбейтеміз? Оларды бұрыс бөлшекке айналдырып, содан кейін бөлшекті бөлшекке көбейту ережесін қолданамыз.
4. Егер көбейткіштердің біреуі нөлге тең болса, онда көбейтінді де нөлге тең
«Ой салу» (Сергіту сәті, сөзжұмбақ шешу)
- Алымы бөліміне тең немесе одан үлкен бөлшек
- 2*2 неге тең?
- Бүтін және бөлшек бөліктен тұратын сан
- Құрамында мәнін табу қажет болатын әріпті өрнек
Жаңа сабақ «Меңгерту»
Жай бөлшектерді бөлу
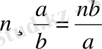
Жай бөлшекті жай бөлшекке бөлу үшін, бөлінгіш бөлшекті бөлгіш бөлшектің кері санына көбейту керек.
Мысалдар.
Санды нөльге бөлуге болмайды
Аралас санды аралас санға бөлу
Аралас санды аралас санга бөлу үшін, оларды бұрыс бөлшек түрінде жазып алып, бөлшекті бөлшекке болу ережесін қолдану керек
Натурал санды бөлшекке бөлу және бөлшекті натурал санға бөлу
Бөлінгіш немесе бөлгіш натурал сан болған жағдайда натурал сан бөлімі 1 болатын бөлшек түрінде жазылып, бөлшекті бөлшекке бөлу ережесі қолданылады.
«Есте сақта»
Ұлы педагог Ушинский : «Бір рет айтылған әңгіме артынан қайталануы керек. Бұл ұмытылғанды ескере түсіру емес, қайта ұмытып кетуді болдырмау» Есіңде сақта!
Санды 0-ге бөлуге болмайды
«Қолдану»
Алған жаңа теориялық білімді практика жүзінде пысықтау. Бөлуді орында (ауызша)
=1
=2
=1
Есепте:
=3
=
=1
=1
Бөлуді орында:
=
=
=
=45
=62
Оқулықпен жұмыс №794 (5, 6, 7, 8)
№795 (4, 5. 6, 7, 8)










«Жауаптарын тап»
«Кім жылдам?»
- Қораптағы шай 1/4 кг. Неше қорап шай 1 кг? (4 қорап)
- Поезд 1 сағатта екі қала арақашықтығының 1/3 бөлігін жүрді. Поезд бір қаладан екінші қалаға қанша сағатта барады?
- Бір орам өрік 3/4 кг. Неше орам өрік 6 кг болады?
«Біле жүрейік»
Бөлшек сызығы,
бөлшек

Жас кезіңде алған білім,
Тасқа жазған жазумен тең.
Есейгенде алған білім,
Құмға жазған жазумен тең.
Қорытынды. Сабақты қорытындылау. Белсенді оқушыларды марапаттау. Үйге тапсырма. № 784 (5, 6, 7, 8) № 785 (5, 6, 7, 8)
- Іс жүргізу
- Автоматтандыру, Техника
- Алғашқы әскери дайындық
- Астрономия
- Ауыл шаруашылығы
- Банк ісі
- Бизнесті бағалау
- Биология
- Бухгалтерлік іс
- Валеология
- Ветеринария
- География
- Геология, Геофизика, Геодезия
- Дін
- Ет, сүт, шарап өнімдері
- Жалпы тарих
- Жер кадастрі, Жылжымайтын мүлік
- Журналистика
- Информатика
- Кеден ісі
- Маркетинг
- Математика, Геометрия
- Медицина
- Мемлекеттік басқару
- Менеджмент
- Мұнай, Газ
- Мұрағат ісі
- Мәдениеттану
- ОБЖ (Основы безопасности жизнедеятельности)
- Педагогика
- Полиграфия
- Психология
- Салық
- Саясаттану
- Сақтандыру
- Сертификаттау, стандарттау
- Социология, Демография
- Спорт
- Статистика
- Тілтану, Филология
- Тарихи тұлғалар
- Тау-кен ісі
- Транспорт
- Туризм
- Физика
- Философия
- Халықаралық қатынастар
- Химия
- Экология, Қоршаған ортаны қорғау
- Экономика
- Экономикалық география
- Электротехника
- Қазақстан тарихы
- Қаржы
- Құрылыс
- Құқық, Криминалистика
- Әдебиет
- Өнер, музыка
- Өнеркәсіп, Өндіріс
Қазақ тілінде жазылған рефераттар, курстық жұмыстар, дипломдық жұмыстар бойынша біздің қор #1 болып табылады.

Ақпарат
Қосымша
Email: info@stud.kz