Толымсыз квадрат теңдеу

Сабақтың тақырыбы: Квадрат үшмүшені көбейткіштерге жіктеу.
Сабақтың мақсаты:
Білімділік: Оқушыларды квадрат үшмүше және оның түбірлері ұғымдарымен таныстыру, оқушылардың квадрат үшмүшені көбейткіштерге жіктей алу дағдыларын қалыптастыру.
Дамытушылық: Оқушыларды алғырлыққа, тез ойлай білуге дағдыландыра отырып, олардың талдау, салыстыра білу, танымдық, өз бетімен еңбектену, ауызша және жазбаша есептеу қабілеттерін дамыту.
Тәрбиелік: Математика пәні талап ететін ұқыптылыққа, ізденімпаздыққа, жауапкершілікке тәрбиелеу арқылы оқушылардың меңгерген білімдерін іс-жүзінде қолдана білуге үйрету, оқушылардың пәнге деген көзқарасын, білімге деген құштарлығын арттыру.
Сабақтың типі: Жаңа сабақты меңгеру.
Сабақтың түрі: Аралас сабақ.
Оқыту әдіс-тәсілдері: Сұрақ-жауап, практикалық, тест, көрнекілік, салыстыру.
Сабақ жоспары:
І. Ұйымдастыру бөлімі:
- оқушылармен амандасу, оларды түгендеу;
- оқушылардың сабаққа дайындығын тексеру;
- оқушылар назарын сабаққа аудару;
- кері байланыс картасымен таныстыру, сабақ соңында толтыру керектігі ескертіледі.
ІІ. Үй тапсырмасын тексеру: 1. «Ұшқыр ойданұтымды жауап» сұрақ-жауап кезеңі:
1. Төртінші дәрежелі теңдеуді шешу үшін не қолданамыз?
Жауабы: Жаңа айнымалыны енгізу арқылы.
2. Квадрат теңдеу дегеніміз не?
Жауабы: ах 2 +bx+c=0 түрінде берілген теңдеу квадрат теңдеу деп аталады.
3. Толымсыз квадрат теңдеу дегеніміз не?
Жауабы: b мен c нөлге тең болатын дербес жағдайлардағы квадрат теңдеу толымсыз квадрат теңдеу деп аталады.
Толымсыз квадрат теңдеулер былай жазылады:
1) ах 2 +bх=0 (мұндағы с=0) ;
2) ах 2 +с=0 (мұндағы b=0) ;
3) ах 2 =0 (мұндағы b=0, с=0) .
4. Квадрат теңдеудің түрлерін ата?
Жауабы: Толымды квадрат теңдеу, толымсыз квадрат теңдеу, келтірілген квадрат теңдеу.
5. Толымды квадрат теңдеу дегеніміз не?
Жауабы: Егер (1) теңдеудегі b≠0 және c≠0 болса, онда ол толымды квадрат теңдеу деп аталады. Мысалы: х 2 -2x-1=0, 3х 2 -8x+5=0, 2, 1х 2 +102, 3x+0, 8=0.
6. Квадрат үшмүше дегеніміз не?
Жауабы: ах 2 +bx+c түрінде берілген теңдеу квадрат үшмүше деп аталады.
2. «Миға шабуыл» кезеңі:
ІІ. Мағынаны тану. Жаңа сабақ:
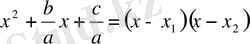
Алдымен х 2 +px+q келтірілген квадрат үшмүшесін көбейткіштерге жіктейік. Бұдан былай х 2 +px+q=0 квадрат теңдеуінің түбірлерін х 2 +px+q квадрат үшмүшесінің түбірлері деп атаймыз. Бұл квадрат үшмүшенің түбірлері х 2 +px+q=0 теңдеуінің түбірлерімен бірдей болғандықтан, -( х 1 +x 2 ) =p, х 1 ∙x 2 =q теңдіктері орындалады. Сонда
х 2 +px+q=х 2 -( х 1 +x 2 ) х + х 1 ∙x 2 =х 2 - х 1 х+х 1 x 2 =х(х-х 1 ) -х 2 (х-х 1 ) =(х-х 1 ) (х-х 2 ) теңдігін аламыз. Сонымен, егер х 1 және х 2 сандары х 2 +px+q квадрат үшмүшесінің түбірлері болса, онда х 2 +px+q=(х-х 1 ) (х-х 2 ) теңдігі орындалады.
Ал жалпы жағдайда,
aх
2
+bx+c
квадрат үшмүшесінің түбірлері
aх
2
+bx+c=0
теңдеуінің немесе
теңдеуінің түбірлерімен бірдей болады. Егер оның түбірлері
х
1
, x
2
болса, онда жоғарыдағы көрсетілгендей
теңдігі орындалады. Сондықтан
Сонымен, егер
х
1
және
x
2
сандары
aх
2
+bx+c квадрат үшмүшесінің түбірлері болса, онда aх
2
+bx+c=а(х-х
1
) (х-х
2
) теңдігі орындалады.
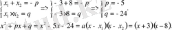
1-мысал. х 2 -6x+8 квадрат үшмүшесін көбейткіштерге жіктейік. Оның түбірлері: х 1 =2, х 2 =4 болғандықтан, х 2 -6 x +8=( х -2) ( х -4) теңдігін аламыз.
2-мысал. 2х 2 -x-6 квадрат үшмүшесін көбейткіштерге жіктейік. Оның түбірлері: х 1 =-1, 5; х 2 =2 болғандықтан, 2 х 2 - x -6=2( х -(-1, 5) ) ( х -2) =2( х +1, 5)
( х -2) =(2х+3) (х-2) теңдігі орындалады.
1. Есептер шығару:
Деңгейлік тапсырмалар:
А тобы:
№326. Квадрат үшмүшені көбейткіштерге жіктеуңдер: 1) х 2 -2x-48;
Жауабы: х 1 =-6; х 2 =8 болады, көбейткіштерге жіктеу: х 2 -2x-48=(х+6) (х-8) .
2) х 2 +9x-22;
Жауабы: х 1 =2; х 2 =-11 болады, көбейткіштерге жіктеу: х 2 +9x-22=(х-2) (х+11) .
В тобы:
№330. Квадрат үшмүшені көбейткіштерге жіктеуңдер: 1) ах 2 -(а+с) x+с;
Жауабы: ах 2 -(а+с) x+с=ах 2 -аx-xс+с=ах(x-1) -c(x-1) =(ax-c) (x-1) .
2) 6х 2 +5mx+m 2 ;
Жауабы: 6х 2 +5mx+m 2 =6х 2 +3mx+2mx+m 2 =3x(2x+m) +m(2m+m) =(3x+m) (2x+m)
C тобы:
№341. Түбірлері бойынша теңдеулер құрастырып, оларды көпмүше түрінде жазыңдар. 1) -3; 8;
Жауабы:
2. Тест сұрақтары
1. ах 4 +bx 2 +c=0, мұндағы а≠0 түрінде берілген теңдеу қандай теңдеу?
а) биквадрат теңдеу ә) квадрат теңдеу б) келтірілген квадрат теңдеу
2. Квадрат теңдеудің неше түрі бар?
а) төрт ә) үш б) екі
3. 4х 2 -3x=0 қандай теңдеу?
а) толымсыз квадрат теңдеу; ә) толымды квадрат теңдеу; б) дұрыс жауап жоқ
4. Квадрат теңдеудің қанша түбірі болатынын қалай анықтауға болады?
а) есептің берілуіне байланысты; ә) дискриминантқа б) түбірі жоқ
5. х 2 -8x+15=0 теңдеуінің түбірлерін Виет теоремасы арқылы жауабын жылдам тап?
а) 2; 6 ә) 3; 6 б) 2; 6
6. Егер 11 және -2 сандары кез-келген квадрат теңдеудің түбірлері болса, онда квадрат теңдеуді құрыңдар.
а) х 2 -10x+25=0 ә) х 2 -9x-22=0 б) 9х 2 -24x+16=0
7. ах 2 =0 (мұндағы b=0, с=0) . Бұл қандай теңдеудің жазылу түрі?
а) толымсыз ә) келтірілген б) биквадрат
- Іс жүргізу
- Автоматтандыру, Техника
- Алғашқы әскери дайындық
- Астрономия
- Ауыл шаруашылығы
- Банк ісі
- Бизнесті бағалау
- Биология
- Бухгалтерлік іс
- Валеология
- Ветеринария
- География
- Геология, Геофизика, Геодезия
- Дін
- Ет, сүт, шарап өнімдері
- Жалпы тарих
- Жер кадастрі, Жылжымайтын мүлік
- Журналистика
- Информатика
- Кеден ісі
- Маркетинг
- Математика, Геометрия
- Медицина
- Мемлекеттік басқару
- Менеджмент
- Мұнай, Газ
- Мұрағат ісі
- Мәдениеттану
- ОБЖ (Основы безопасности жизнедеятельности)
- Педагогика
- Полиграфия
- Психология
- Салық
- Саясаттану
- Сақтандыру
- Сертификаттау, стандарттау
- Социология, Демография
- Спорт
- Статистика
- Тілтану, Филология
- Тарихи тұлғалар
- Тау-кен ісі
- Транспорт
- Туризм
- Физика
- Философия
- Халықаралық қатынастар
- Химия
- Экология, Қоршаған ортаны қорғау
- Экономика
- Экономикалық география
- Электротехника
- Қазақстан тарихы
- Қаржы
- Құрылыс
- Құқық, Криминалистика
- Әдебиет
- Өнер, музыка
- Өнеркәсіп, Өндіріс
Қазақ тілінде жазылған рефераттар, курстық жұмыстар, дипломдық жұмыстар бойынша біздің қор #1 болып табылады.

Ақпарат
Қосымша
Email: info@stud.kz