Рационал бөлшектерді көбейту және бөлу. Ашық сабақ

Солтүстік Қазақстан облысы
Ақжар ауданы
Бестерек орта мектебі
Ашық сабақ
Тақырыбы:
Өткізген: Ш. Б. Мухаева
2012-2013 оқу жылы
Мухаева Шолпан Бекежанқызы
Бестерек орта мектебінің математика пәнінің мұғалімі
Педагогикалық ұстанымы:
«Ұстаз - өзінің білімін үздіксіз көтеріп отырғанда ғана ұстаз, оқуда ізденуді тоқтатысымен оның ұстаздығы да
жойылады» К. Ушинский
Мұғалімнің ұстанымы: Мен мойныма қандай жауапкершілікті алғанымды сезе отырып, ұстаздық жұмысымды адал да сапалы жасауға тырысамын. «Адамның адамшылдығы жақсы ұстаздан болады», - демекші, балаларға адамгершілік пен мәдениеттілікке білімділік пен мейірімділікке үйретуді мақсат етемін. .
Сабақтың тақырыбы: Рационал бөлшектерді көбейту және бөлу
Мақсаты:
Білімділік: Оқушылардың тақырып бойынша алған білімдерін тереңдетіп, жинақтап жүйелеу. Рационал, яғни алгебралық бөлшектерді көбейту және бөлу алгоритмін қолдана білуге, қасиеттерді білуге үйрету.
Дамытушылық: Логикалық ойлау қабілеті мен есептеу дағдыларын жетілдіру, ой-өрісін кеңейту. Рационал бөлшектерді көбейту мен бөлу кезінде алған теориялық білімін практикада қолдана білу дағдысын қалыптастыру.
Тәрбиелік: Оқушыларды ұқыптылыққа, тез шешім қабылдай білуге; пәнге деген қызығушылығын арттыра отырып, жүйелі ойлауға, нәтижеге қол жеткізе білуге, өзіне сенімділікке, жолдастық қарым-қатынасқа тәрбиелеу.
Сабақтың түрі: Жаңа тақырыпты меңгерту.
Сабақта қолданған әдіс-тәсілдер:
- Түсіндірмелі-көрсетілімді (М. Н. Скаткин)
- Миға шабуыл
- Проблемалық әдіс
- Өз шешімдерін ұсыну, сұрақ-жауап және талдау, рефлексия
Сабақтың типі: Меңгерген білімдерін практикада қолдануға бағытталған дәстүрлі
сабақ
Пәнаралық байланыс: информатика, логика, дүниетану
Сабақтың көрнекілігі: тірек-сызба, карточкалар, белсенді тақта, слайдтар, бағалау парағы, сызбалар.
Оқушылардың біліміне және біліктілігіне қойылатын талаптар :
Нені білу керек:
- Алгебралық бөлшектердің көбейтіндісін және бөліндісін қалай табу керектігін білу.
- Рационал бөлшектерді қалай түрлендіруге болатынын үйрену.
Нені меңгеру керек:
- Ортақ көбейткішті жақша сыртына шығаруды, көбейткіштерге жіктеудің әр түрлі жолдарын, топтау мен бөлшекті қысқарту тәсілін және қысқаша көбейту формулаларын қолдана білу, натурал және бүтін көрсеткішті дәреженің қасиеттерін қолдана білу.
Сабақтын барысы:
I. Ұйымдастыру кезеңі(«Көтеріңкі көңіл-күй» психологиялық тренинг)
IІ. Үй жұмысын тексеру(сигналдық карточка арқылы)
IIІ. Жаңа тақырып пен өткен тақырыптың байланысы(«Қайталау - оқу анасы»
сәйкестік тест)
IV. Жаңа сабаққа дайындық(«Ой қозғау» топтастыру стратегиясы)
V. Сабақтың тақырыбы мен мақсаты(оқушыларды сабақтың тақырыбы мен
мақсатымен таныстыру)
VІ. Жаңа сабақты түсіндіру
VІІ. Сергіту сәті(«Жұбын табу» ойыны)
VIII. Сабақты бекіту(ормандағы қоқыстарды жинау)
ІХ. Сабақты пысықтау(оқулықпен жұмыс)
Х. Сабақты қорытындылау(қорытынды алгоритмі)
ХІ. Рефлексия(«Табыс ағашын отырғызу»)
ХІІ. Үй тапсырмасын беру
ХІІІ. Бағалау
І. Ұйымдастыру кезеңі(оқушылармен сәлемдесіп, кезекші арқылы оқушыларды түгендеу, сыныптың сабаққа дайындығын, сабаққа қажетті құрал - жабдықтардың барлығын анықтау)
Мұғалімнің кіріспе сөзі:
Психологиялық тренинг: «Көтеріңкі көңіл-күй»
- Кәнеки балалар, бүгінгі сабақта барлығымыз бір-бірімізге не тілейміз?(оқушылар орындарынан тұрып, әр оқушы парталас жолдасына жапырақтарға, гүлге жақсы тілектер жазып, бір-біріне ұсынады. Соңында бір оқушы мұғалімге «Шығармашылық табыс» деп жазылған гүлді сылайды) .
ІІ. - Балалалар, бүгінгі сабағымыз ерекше, себебі осы сабақта әрбіреулерің өз біліктіліктеріңді, жалпы өткен тақырыпты қаншалық игергендерін көрсететін мүмкіншілік болады. Жаңа сабақты меңгеруде тірек болатын үй тапсырмасының дұрыстығын сигналдық карточка көмегімен тексерейік. Үй тапсырмасының жауаптары тақтада жазулы тұр, ал сендер дәптерлеріңдегі жауаптарымен салыстырасыңдар. Дұрыс жауабы болса, жасыл түсті картаны, дұрыс болмаса қызыл түсті картаны көтерулерің керек(дұрыс шықпаған оқушының үй жұмысы тақтада орындалады. Тексерудің соңында оқушылар бағалау парағына мұғалімнің айтқан бағасын қояды) .
IІІ. - Сабақты жаңа тақырыпты меңгеруге кажетті, бұрын өтілген материалды еске түсіру үшін «Қайталау - оқу анасы» дегендей, сәйкестік тест өткізіледі.
- Балалар, алгебралық бөлшектерге амалдар қолданған кезде ең көп қолданатын қандай формулалар?(қысқаша көбейту формулалары)
«Қайталау - оқу анасы»
Бірінші бағанда қысқаша көбейту формулалары жазылған. Ал оқушылар бағанның сол жағында тұрған формулалардың дұрыс жауабын тауып, бағдарша арқылы көрсетеді(ержесін тұжырымдайды. Дұрыс жауап үшін оқушылар бағалау парақтарына мұғалімнің айтқан бағасын қояды) .
Сәйкестік тест
- a2-b2= 1. a3-3a2b+3ab2-b3
- (a-b) 2= 2. (a-b) (a+b)
- (a+b) 2= 3. (a-b) (a2+ab+b2)
- (a-b) 3= 4. a2-2ab+b2
- (a+b) 3= 5. a3+3a2b+3ab2+b3
- a3-b3= 6. a2+2ab+b2
- a3+b3= 7. (a+b) (a2-ab+b2)
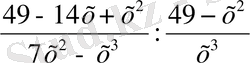
ІV. Жаңа сабаққа дайындық. «Ой қозғау» топтастыру стратегиясы.
Тақтада алгебралық бөлшектерге байланысты 9 есеп шығару жолымен жазылып тұрады, ал оқушылар бұл есептердің дұрыс шығарылғанын ғана табулары керек. Дұрыс берілген тапсырманы тақтаға шығып орындайды(бағалау парағына мұғалімнің айтқан бағасы қойылады)
- 2. 3.
4.
5.
6.
![]()
7.
8.
9.
![]()
V. - Алдымызға қойған негізгі мақсатымыз рационал бөлшектерді көбейту және бөлу, яғни оларға көбейткіштерге жіктеуді қолдануды тиімді тәсілмен шешуді үйренуіміз керек. Оның негізгі шарты: алған білімдеріңді жинақтап, орынды қолдануды білу.
Жаңа тақырыпты меңгеруде қолданылатын тәсілдер:
- Рационал бөлшектерді көбейту және бөлу тәсілдері:
1) Қысқаша көбейту формулаларын қолдану
2) Топтау тәсілін қолдану
3) Ортақ көбейткішті жақша сыртына шығару
4) Натурал және бүтін көрсеткішті дәреженің қасиеттері
5) Қысқарту тәсілі
VІ. Мұғалім:
- 5-сыныптың математика оқулығынан сендерге жай бөлшектерді көбейту ережесі таныс.
Мысалы,
- Жай бөлшектерді көбейту үшін олардың алымын алымына көбейтіп, шыққан нәтижені алымына және бөлімін бөліміне көбейтіп, нәтижесін бөліміне жазатыны сендерге белгілі.
Мүмкін жағдайда қысқарту орындалады.
Рационал бөлшектерді көбейту үшін тура осы ереже қолданылады.
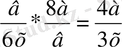
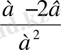
1-мысал.
және
рационал бөлшектерінің көбейтіндісін табайық.
Шешуі. Берілген бөлшектерді көбейту кезінде бірдей өрнектерді қысқартамыз:
Жауабы:
.
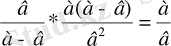
- Рационал бөлшектердің көбейтіндісін және бөліндісін әрқашанда алымы мен бөлімі көпмүшелер болатын бөлшек түрінде жазуға болатынын білеміз.
Мысалы,
.
- Мұнда алдымен екінші бөлшектің алымындағы қысқаша көбейту формуласын ашамыз, содан кейін алымдарын бір-біріне, бөлімдерін бір-біріне көбейтіп, алымдарының көбейтіндісін алымына, бөлімдерінің көбейтіндісін бөліміне жазып, шыққан бөлшекті қысқартамыз. (мұғалім оқушылардан қысқаша көбейту формуласының жіктелуін сұрайды)
Жауабы:
.
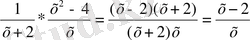
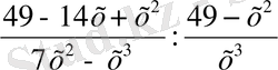
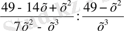
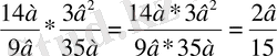
2-мысал.
Жауабы:
.
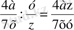
- 2 және, жәнежәне т. с. с. сандар өзара кері сандар, яғни екі санның көбейтіндісі 1-ге тең болса, онда оларкері сандардеп аталатыны белгілі.
- Сонымен қатар жай бөлшектерді бөлу үшін бірінші бөлшекті екінші бөлшектің кері бөлшегіне көбейтетіні белгілі.
Мысалы,
3-мысал.
Жауабы:
.
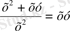
VІІ. «Жұбын табу» ойыны(сергіту сәті)
Оқушылардың кейбіреулеріне есептің берілгені, ал кейбіреулеріне осы есептің жауаптары беріледі. Оқушылар өз жұптарын табуы тиіс.
1.
2.
3.
4.
5.
6.
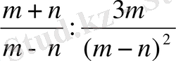
VІІІ. - Сабақты бекітуге байланысты ормандағы қоқыстарды жинастырайық(слайдта 6 есеп беріледі, егер балалар тапсырмасын дұрыс орындайтын болса, қоқыстар жиналады. Әрбір оқушыға жеке баға қойылады) .
1)
:
2)
3)
4)
5)
6)
ІХ. Сабақты пысықтау(оқулықпен жұмыс)
100-бет №270(5-8) .
Х. - Балалар, информатика пәнін есімізге түсірейік. Алгоритмнің мағынасын қалай түсінеміз? (Белгілі бір мақсатқа жету үшін орындалатын реттелген әрекеттер жиыны) .
- Ал бұл алгоритм математикада заңдылық болып есептеледі.
- Енді біз рационал өрнектерді түрлендіру алгоритмін құрастырайық(оқушылар мен мұғалім бірге құрастырады)
Рационал бөлшектерді көбейту алгоритмі:
- Рационал бөлшектерді көбейту үшін, олардың алымдарының көбейтіндісін алымына, ал бөлімдерінің көбейтіндісін бөліміне жазу керек.
- Мүмкін болған жағдайда қысқартуды орындаймыз.
Рационал бөлшектерді бөлу алгоритмі:
Бір рационал бөлшекті екінші рационал бөлшекке бөлу үшін бірінші бөлшекті екінші бөлшекке кері бөлшекке көбейту керек.
- Осы алгоритмге байланысты «ОЙЛАН, ТАП!» деп аталатын мынадай ойын ойнаймыз. Тақтадағы тапсырмалардың берілгені мен жауаптарына қарап, екінші бөлшекті табу керек.
Тапсырмалар:
1.
2.
3.
4.
ХІ. Рефлексия:
- Енді «Табыс» ағашын отырғызайық. (Тақтада ағаштың суреті )
Ағаш діңі жаңа сабақта өтілген тақырып, жасыл желек - экология, ал ағаштың жемісі сендердің алған білімдерің(оқушылар өздері таңдаған алманы алып, тақтада тұрған ағашқа жапсырады) .
- Жасыл алма:Маған сабақ ұнады. Тақырыпты меңгердім.
- Сары алма:Тақырыпты түсіндім, бірақ есептеген кезде қиналдым.
- Қызыл алма:Сабақ маған түсініксіз.
ХІІ. Үй тапсырмасы:
1. Оқулықтың 100-бетінде №270(1-4), 14-тақырып.
2. Тест орындау(деңгейлік тест) .
ХІІІ. Бағалау
ТЕСТ
- а) в) с) 1
- а) в) с)
3.
а)
в)
![]()
с)
![]()
4.
а)
в)
с)
ТЕСТ
- а) в) с) 1
- а) в) с)
3.
а)
в)
![]()
с)
![]()
4.
а)
в)
с)
ТЕСТ
- а) в) с) 1
- а) в) с)
3.
а)
в)
![]()
с)
![]()
4.
а)
в)
с)
Бағалау парағы
Аты- жөні ___ Айтұрған
«Қайталау - оқу анасы»
сәйкестік тест
Бағалау парағы
Аты- жөні ___ Таңсауле
«Қайталау - оқу анасы»
сәйкестік тест
Бағалау парағы
Аты- жөні ___ Жанерке
«Қайталау - оқу анасы»
сәйкестік тест
Бағалау парағы
Аты- жөні ___ Әсел
«Қайталау - оқу анасы»
сәйкестік тест
Бағалау парағы
Аты- жөні ___ Ақнұр
«Қайталау - оқу анасы»
сәйкестік тест
Бағалау парағы
Аты- жөні ___ Сымбат
«Қайталау - оқу анасы»
сәйкестік тест
Бағалау парағы
Аты- жөні ___ Мирас
- Іс жүргізу
- Автоматтандыру, Техника
- Алғашқы әскери дайындық
- Астрономия
- Ауыл шаруашылығы
- Банк ісі
- Бизнесті бағалау
- Биология
- Бухгалтерлік іс
- Валеология
- Ветеринария
- География
- Геология, Геофизика, Геодезия
- Дін
- Ет, сүт, шарап өнімдері
- Жалпы тарих
- Жер кадастрі, Жылжымайтын мүлік
- Журналистика
- Информатика
- Кеден ісі
- Маркетинг
- Математика, Геометрия
- Медицина
- Мемлекеттік басқару
- Менеджмент
- Мұнай, Газ
- Мұрағат ісі
- Мәдениеттану
- ОБЖ (Основы безопасности жизнедеятельности)
- Педагогика
- Полиграфия
- Психология
- Салық
- Саясаттану
- Сақтандыру
- Сертификаттау, стандарттау
- Социология, Демография
- Спорт
- Статистика
- Тілтану, Филология
- Тарихи тұлғалар
- Тау-кен ісі
- Транспорт
- Туризм
- Физика
- Философия
- Халықаралық қатынастар
- Химия
- Экология, Қоршаған ортаны қорғау
- Экономика
- Экономикалық география
- Электротехника
- Қазақстан тарихы
- Қаржы
- Құрылыс
- Құқық, Криминалистика
- Әдебиет
- Өнер, музыка
- Өнеркәсіп, Өндіріс
Қазақ тілінде жазылған рефераттар, курстық жұмыстар, дипломдық жұмыстар бойынша біздің қор #1 болып табылады.

Ақпарат
Қосымша
Email: info@stud.kz