Ауызша есептер шығару

Жамбыл ауданы
Антон Макаренко атындағы орта мектебі
ҰБТ- ге дайындық сабағының үлгісі
Тақырыбы:
«Алғашқы функция және интеграл»
Математика пәнінің мұғалімі : Кулсаидова М. Т.
Түрксіб -2014
Күні : 11. 02. 14. Пәні:
Алгебра
Сыныбы:
11 «а»
Сабақтың тақырыбы: Алғашқы функция және интеграл
Сабақтың мақсаты:
1. Білімділігі : «алғашқы функция және интеграл» тақырыбы бойынша қайталау, білімдерін бекіту, жалпылау, тереңдету . ҰБТ-ге дайындау.
2. Дамытушылығы: оқушыны ұқыпты тыңдауға, тез шешім қабылдай білуге, өз білімін көрсете алуға үйрету және шығармашылық қабілеттерін дамыту.
3. Тәрбиелігі: оқушыларды алғырлыққа, шапшаңдыққа, тапқырлыққа, уақытын үнемді пайдалануға үйрету. Сол арқылы ҰБТ-де жоғары көрсеткішке ие болу.
Сабақтың типі: Білім мен дағдыны қалыптастыру сабағы
Сабақтың әдісі: Практикалық, сұрақ-жауап, өзіндік жұмыс, тест
тапсырмалары
Сабақтың көрнекілігі: интерактивті тақта, слайдтар, жауап парақтары
Сабақтың жоспары:
- Ұйымдастыру кезеңі.
- Мұғалімнің кіріспе сөзі. Сабақтың қажеттілігі туралы.
- Оқушылардың білімін тексеру.
- Есіңде ме, формула?
- Кім жүйрік? Ауызша есептер шығару.
- Зерделілер сайысы. Есеп шығару.
- Тест.
- Қорытындылау. Бағалау
- Рефлексия.
Сабақтың барысы:
1. Ұйымдастыру кезеңі . Сарапшыны тағайындау
- Мұғалімнің кіріспе сөзі.
Сабақтың ұраны :
Біле бер қанша білсең-- тағы тіле,
Жетерсің мақсатыңа біле, біле.
Мұғалімнің кіріспе сөзі. Сабақтың қажеттілігі туралы.
Механикада материалдық нүктенің жүрілген жолы белгілі болғанда оның жылдамдығын, үдеуін туындыны қолданып табуға болады.
![]()
Алайда механикада материалдық нүктенің үдеуі
; жылдамдығы
белгілі болғанда
жолды есептеуге тура келеді. Мұндай есептерді шығару үшін дифференциялдау амалына кері амалы интегралдау амалы қолданылады.
Интегралдау - берілген функцияның барлық алғашқы функцияларын табу. Қисық сызықты трапецияның ауданы, жазық фигуралар ауданы, айналу денелерінің бүйір беті ауданы мен көлемі, қисық сызықтардың ұзындығын есептеуде интеграл қолданылады.
3. Оқушылардың білімін тексеру.
а) Алғашқы функция анықтамасы (4 ұпай )
Егер
теңдігі орындалса, онда F(x) -ті f(x) функциясының алғашқы функциясы деп атайды, ал
өрнегін f(x) функциясының анықталмаған интегралы деп атайды. Мұндағы С-кез келген тұрақты шама
б) Алғашқы функцияның негізгі қасиеті . (3 ұпай )
Егер F(x) және Ф(x) функциялары f(x) функциясының алғашқы функциясы болса, онда ол функциялар бір-бірінен тұрақты санға ерекшеленеді.
Ф(x) = F(x) +C теңдігі алғашқы функцияның негізгі қасиеті болып табылады
в) Алғашқы функцияның геометриялық мағынасы (3 ұпай)
Алғашқы функцияның геометриялық мағынасы графиктері өзара параллель қисықтар тобын береді
г) Алғашқы функцияны табудың ережелері
Алғашқы функцияны табудың үш ережесі:
1) Егер F(x) функциясы f(x) функциясының, ал Р(х) функциясы р(х) функциясының алғашқы функциялары болса, онда F(x) + P(x) функциясы f(x) + р(х) функциясының алғашқы функциясы болады. (3 ұпай)
2) Егер F(x) функциясы f(x) функциясының алғашқы функциясы, ал k-тұрақты болса, онда k F(x) функциясы kf(x) функциясы үшін алғашқы функция болады. (3 ұпай)
3) Егер F(x) функциясы f(x) функциясының алғашқы функциясы, ал k және b- тұрақтылар болса, онда
функциясы f (kx+b) функциясы үшін алғашқы функция болады.
(4 ұпай)
- Есіңде ме, формула ?
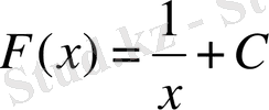
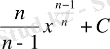
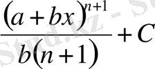
Алғашқы функциясын тап
1. f(x) = F(x) = (1 ұпай)
![]()
2 . f(x) =
F(x) = (2 ұпай)
![]()
3. f(x) = F(x) = (3 ұпай)
![]()
![]()
4. f(x) = F(x) = (1 ұпай)
5. f(x) = F(x) = (2 ұпай)
![]()
6. f(x) = F(x) = (3ұпай)
![]()
Интегралды есепте: 7. (1 ұпай)
8.
(2ұпай)
9.
(3 ұпай)
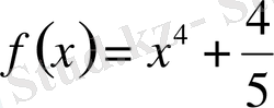
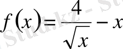
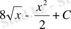
- Кім жүйрік? Ауызша есептер шығару. (әр есепке 2 ұпай)
Берілген функцияның алғашқы функциясын табыңдар:
1.
F(x) =
![]()
2.
F(x) =
![]()
3.
F(x) =
![]()
4.
F(x) =
![]()
5.
F(x) =
![]()
6.
F(x) =
![]()
6. Зерделілер сайысы. Есептер шығару . (әр есепке 5 ұпай)
1.
2.
3.
4.
5.
6.
5. Тест есептері бойынша білім деңгейін тексеру
(әр тапсырмаға 1 ұпай )
1. Алғашқы функциясы F(x) =x 4 -cos2x болатын f(x) функциясын көрсет
А) f(x) = 4x
3
+sin2x+C B) f(x) =
+sin2x+C
C) f(x) = 4x 3 +2sin2x D) f(x) = 4x 3 -2cos2x+C
2. Қай функция
функциясының алғашқы функциясы болады?
А) F(x) = x
11
-8
Equation. 3 +C B) F(x) = x
11
+2
Equation. 3 +C
C) F(x) = x
11
+C D) F(x) = x
12
-8
+C
3.
функциясының алғашқы функциясын табыңдар
А) F(x) = B) F(x) =
C) F(x) = D) F(x) =
4 . функциясының алғашқы функциясының жалпы түрін тап:
А) F(x) =
B) F(x) =
C) F(x) = D) F(x) =
5. функциясының алғашқы функциясының жалпы түрін тап:
А) F(x) = В) F(x) =
С)
F(x)
=
D) F(x) =
6.
интегралын есепте
А) 4 В) 8
С) 2 D) 6
- функциясының алғашқы функциясының жалпы түрін тап:
А) F(x ) = В) F(x ) =
С) F(x ) = D) F(x ) =
8.
интегралын есепте
А) В)
С) D)
9. функциясының алғашқы функциясының жалпы түрін тап:
А) F(x ) = В) F(x ) =
С)
F(x
) =
D) F(x
) =
10.
функциясының алғашқы функциясының
жалпы түрін тап:
А) В)
С)
D)
Тест жауабы:
Қорытындылау. Бағалау парағы бойынша бағалау .
Рефлексия.
- Бүгінгі сабақта нені үйрендік?
Есептер сіздер үшін күрделі болды деп ойлайсыз ба?
Қай есеп күрделі болды? Неге?
Үйге тапсырма беру:
11 Сынып І тарау « Өзіңді тексер!»
Бағалау парағы
- Іс жүргізу
- Автоматтандыру, Техника
- Алғашқы әскери дайындық
- Астрономия
- Ауыл шаруашылығы
- Банк ісі
- Бизнесті бағалау
- Биология
- Бухгалтерлік іс
- Валеология
- Ветеринария
- География
- Геология, Геофизика, Геодезия
- Дін
- Ет, сүт, шарап өнімдері
- Жалпы тарих
- Жер кадастрі, Жылжымайтын мүлік
- Журналистика
- Информатика
- Кеден ісі
- Маркетинг
- Математика, Геометрия
- Медицина
- Мемлекеттік басқару
- Менеджмент
- Мұнай, Газ
- Мұрағат ісі
- Мәдениеттану
- ОБЖ (Основы безопасности жизнедеятельности)
- Педагогика
- Полиграфия
- Психология
- Салық
- Саясаттану
- Сақтандыру
- Сертификаттау, стандарттау
- Социология, Демография
- Спорт
- Статистика
- Тілтану, Филология
- Тарихи тұлғалар
- Тау-кен ісі
- Транспорт
- Туризм
- Физика
- Философия
- Халықаралық қатынастар
- Химия
- Экология, Қоршаған ортаны қорғау
- Экономика
- Экономикалық география
- Электротехника
- Қазақстан тарихы
- Қаржы
- Құрылыс
- Құқық, Криминалистика
- Әдебиет
- Өнер, музыка
- Өнеркәсіп, Өндіріс
Қазақ тілінде жазылған рефераттар, курстық жұмыстар, дипломдық жұмыстар бойынша біздің қор #1 болып табылады.

Ақпарат
Қосымша
Email: info@stud.kz