Теңдеудің түбірлерін табыңдар

ВИЕТ ТЕОРЕМАСЫ Математика пәнінің мұғалімі
Жаманова Үзілхан Жәлелқызы.
Сабақ мақсаты:
1. Виет теоремасын тұжырымдау және дәлелдеу. Квадрат теңдеулерді түбірлердің қасиеттерін қолдану арқылы шешуді үйрету;
2. Оқушыларға Виет теоремасын қолдану тәсілдерімен таныстыру және квадрат теңдеулерді шешуді үйрету;
3. Виет теоремасын қолдана отырып есептер шығаруға оқушыларды баулу және дағдыландыру.
Сабақ барысы:1) Ұйымдастыру бөлімі
2) Өткенге шолу (өайталау сұрақтары)
3) Жаңа сабақ түсіндіру
4) Кітаппен жұмыс ( №257-№261)
5) Сабақты бекіту (тест жұмысы)
6) Сергіту сәті (Кросворд шешу)
7) Қорытындылау, үйге тапсырма.
Қайталау сұрақтары:
- ах2+вх+с=0 түріндегі теңдеу қалай аталады?
- в2-4ас формуласымен есептелетін сан қалай аталады?
3. Егер D>0 болса, онда квадраттық теңдеудің неше түбірі болады?
4. Егер D=0 болса, онда квадраттық теңдеудің неше түбірі болады?
5. Егер D<0 болса, онда квадраттық теңдеудің неше түбірі болады?
6. Қандай жағдайда квадраттық теңдеу келтірілген квадраттық теңдеу деп атайды?
7. 2х 2 -5х-3=0 теңдеуінің коэффициенттерін атап шығыңдар.
8. Егер квадраттық теңдеуінде коэффициенттердің бірі - b не с немесе b мен с-ның екеуі де 0-ге тең болса, мұндай теңдеулерді қалай атайды?
Түбірлері бар бірнеше келтірілген квадраттық теңдеудің түбірлерін, түбірлерінің қосындысы мен көбейтіндісінің мәндерін табыңдар және жауаптарын кестеге толтырыңдар.
Түбірлер
х 1 және х 2
Х 2 - 2х - 3 = 0
Х 2 + 5х - 6 = 0
Х 2 - х - 12 = 0
Х 2 + 7х + 12 = 0
Х 2 - 8х + 15 = 0
Бұл мысалдардан, келтірілген квадраттық теңдеу түбірлерінің қосындысы қарсы таңбасымен алынған екінші коэффициентке, ал көбейтіндісі бос мүшеге тең екенін байқадық.
Енді бұл қасиетті теорема ретінде тұжырымдап шығайық.
Теорема : Келтірілген квадраттық теңдеу түбірлерінің қосындысы қарсы таңбасымен алынған екінші коэффициентке, ал көбейтіндісі бос мүшеге тең болады:
Дәлелдеу керек: х 1+ х 2 = -р ; х 1 . х 2 =q
х 2 +pх+q=0 (келтірілген квадрат теңдеу)
p - екінші коэффициент
q - бос мүше
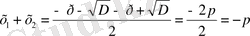
Теңдеудің дискриминанті: D=p 2 -4q
Егер D>0, о
нда теңдеудің екі түбірі бар: және
Түбірлердің қосындысы:
Түбірлердің көбейтіндісі:
. Сонымен, х 1+ х 2 = -р ;
х 1 . х 2 =q
Бұл теореманы бірінші дәлелдеген француз математигі Француа Виет (1540-1603) болғандықтан, соның атымен аталады.
Кейбір есептерді шешкенде Виет теоремасына кері теореманы қолданады.
Теорема (кері теорема) . Егер p, q, x
1
, x
2
сандары үшін х
1+
х
2
= -р ; х
1
. х
2
=q шарттары орындалса, онда х
1,
х
2
сандары х
2
+pх+q=0 теңдеуінің түбірлері болады.
Виет теоремасы және оған кері теорема теңдеуді шешпей-ақ, түбірлерінің қосындысы мен көбейтіндісін табуға және түбірлері белгілі болғанда, теңдеуді құруға мүмкіндік береді.
Мысал қарастырайық:
Түбірлері : х 1 =3 және х 2 =-5 болған квадраттық теңдеуді құрайық:
Х 2 -(3-5) х+(3*(-5) ) =0
Х 2 +2х-15=0
№257
№261 Түбірлері х 1 мен х 2 болатын теңдеулерді жазыңдар:




Тест сұрақтары:
- Берілген теңдеудің түбірлерінің қосындысы мен көбейтіндісін табыңдар:
Х 2 -8х+15=0
А) 8; 15 В) -8; 15 С) 8; -15 D) -8; -15 Е) 5; -18
2. Түбірлері х 1 =-1, х 2 =-7 болатын теңдеуді жазыңдар:
А) Х 2 +8х+15=0 В) Х 2 +8х+7=0 С) Х 2 -8х+7=0
D) Х 2 +8х-7=0 Е) Х 2 -8х-7=0
3. Х 2 +рх-35=0 теңдеуінің бір түбірі 7-ге тең. Екінші түбірін және р -ны табыңдар.
А) 2; 5 В) -2; 5 С) -5; -2 D) 2; -5 Е) 5; -1.
4. Теңдеудің түбірлерін табыңдар: Х 2 +11х+10=0
А) 11; 10 В) -1; 10 С) 1; 10 D) 1; -10 Е) -1; -10
5. Келтірілген квадраттық теңдеуді көрсет:
А) 5х 2 +8х-3=0 В) х 2 +8х+15=0 С) 9х 2 +х-15=0
D) 2х 2 -5х+1=0 Е) 3х 2 -х+5=0
Үйге тапсырма: §8.
№151, №152 есептер
- Іс жүргізу
- Автоматтандыру, Техника
- Алғашқы әскери дайындық
- Астрономия
- Ауыл шаруашылығы
- Банк ісі
- Бизнесті бағалау
- Биология
- Бухгалтерлік іс
- Валеология
- Ветеринария
- География
- Геология, Геофизика, Геодезия
- Дін
- Ет, сүт, шарап өнімдері
- Жалпы тарих
- Жер кадастрі, Жылжымайтын мүлік
- Журналистика
- Информатика
- Кеден ісі
- Маркетинг
- Математика, Геометрия
- Медицина
- Мемлекеттік басқару
- Менеджмент
- Мұнай, Газ
- Мұрағат ісі
- Мәдениеттану
- ОБЖ (Основы безопасности жизнедеятельности)
- Педагогика
- Полиграфия
- Психология
- Салық
- Саясаттану
- Сақтандыру
- Сертификаттау, стандарттау
- Социология, Демография
- Спорт
- Статистика
- Тілтану, Филология
- Тарихи тұлғалар
- Тау-кен ісі
- Транспорт
- Туризм
- Физика
- Философия
- Халықаралық қатынастар
- Химия
- Экология, Қоршаған ортаны қорғау
- Экономика
- Экономикалық география
- Электротехника
- Қазақстан тарихы
- Қаржы
- Құрылыс
- Құқық, Криминалистика
- Әдебиет
- Өнер, музыка
- Өнеркәсіп, Өндіріс
Қазақ тілінде жазылған рефераттар, курстық жұмыстар, дипломдық жұмыстар бойынша біздің қор #1 болып табылады.

Ақпарат
Қосымша
Email: info@stud.kz