Пирамиданың табаны квадрат

Батыс Қазақстан облысы
Теректі ауданы
Федоровка қазақ жалпы орта білім беретін мектебі
ҰБТ -ке дайындық
( стреометрия курсының есептерінің шығару жолдары)
Айнагүл Хабиболлақызы Хайрова
І санатты математика және информатика пәнінің мұғалімі
2011-2012 оқу жылы
Федоровка қазақ жалпы орта білім беретін мектебінің І санатты математика және информатика пәнінің мұғалімі Айнагүл Хабиболлақызы Хайрованың
«ҰБТ -ке дайындық» ( стреометрия курсының есептерінің шығару жолдары) жинағына
Пікір
Есептер жинағында, бірнеше жылдардан бері ҰБТ-де кездесіп отырған стреометрия курсы есептерінің шығару жолдары және оларға сәйкессызбаларымен көрсетілген.
Жинақ 8 бөлімнен тұрады. Әр бөлімге қысқаша анықтамалық мәліметтер мен формулалар берілген. Құрастырылған есептер жинағы ҰБТ-ке даярланушыларға, өз беттерімен жұмыстану барысында үлкен көмек көрсетеді.
Мұғалімнің «ҰБТ -ке дайындық» есептер жинағы талапқа сай орындалған және бекітуге ұсынылады.
Пікір айтушы: Федоровка қазақ жалпы орта білім беретін мектебінің жоғары санатты математика пәнінің мұғалімі Р. З. Кулекешова
І бөлім Жазықтықтардың қасиеттері
2003ж
№1(4 нұсқа №28)
А нүктесі жазықтықтан 18 см қашықтықта жатыр. Осы нүктеде өтетін және жазықтықпен 60 0 бұрыш жасайтын көлбеудің ұзындығын табыңыз.
AD=18, <AKD=60
0
AK-?
AK=18
2004 ж
№2. (12 нұсқа №28)
АВС үшбұрышы a жазықтығындағы MNK үшбұрышының проекциясы, D нүктесі АВ кесіндісінде жатыр. А, В, С және D нүктелері сәйкеc M, N, K, P нүктелерінің прокциялары.
Егер АD =4, DB=6, MK= 6 болса, онда MN кесіндісінің ұзындығын табыңыз.
АD =4,
DB=6,
MK= 6
PN=9,
MN=6+9=15
№3 (21 нұсқа №28)
АВС үшбұрышының АВ қабырғасына параллель а жазықтығы оны АС және ВС түзулерінде жататын К және Р нүктелерінде қиып өтеді. Егер AC= 15, AB= 20, KP=4 болса, КС -ны табыңыз.
KC=3
№4 (26 нұсқа №28)
Ұзындығы 10 см тең кесінді жазықтықты қиып өтеді. Оның ұштары жазықтықтан 3 см және 2 см қашықтықта жатыр. Берілген кесінді мен жазықтықтың арасындағы бұрышты табыңыз
АВ=10см
АР=2см
ВD=3см
<BOD-?
BC=BD+DC=2см+3см=5см
<BAC=<BOD=
=sin
Sin
=
=30
0
<BOD=30
0
2006 ж
№5 (14 нұсқа №24)
Ұзындығы 2, 4 см-ге тең ВК кесіндісі катеттері 6 см және 8 см болатын АВС тік бұрышты (<B=90 0 ) үшбұрышының жазықтығына перпендикуляр. К нүктесінен АС түзуіне дейінгі қашықтықты табыңыз.
AB=6, BC=8, BK=2, 4
KN-?
AN=x
NC=10-x
BN 2 =AB 2 -AN 2
BN 2 =BC 2 -NC 2
36-x 2 =64-(10-х) 2
20х=7, 2
Х=3, 6
BN 2 =36-3, 6 2
BN=4*8
KN
2
=BK
2
+BN
2
KN 2 =5, 76+23, 04=28, 8
KN=2, 4
№6
Бір нүктеден өтетін екі көлбеудің ұзындықтары 10 см және 17 см. Берілген нүкте жазықтықтан 8 см қашықтықта болса, көлбеулердің проекцияларын табыңыз.
AB=10, AC=17, AH=8
BH, HC-?
BH 2 =AB 2 -AH 2
BH 2 =100-64=36
BH=6
HC 2 =AC 2 -AH 2
HC
2
=289-64=225
HC=15
2009ж
№7(22 нұсқа №19)
АВ кесіндісі а жазықтығын қияды. С нүктесі АВ кесіндісінің ортасы. А, В және С нүктелері арқылы
жазықтығын М, К және Р нүктелерінде қиятын параллель түзулер жүргізілген.
Егер АM=
, BP =
дм болса, СK кесіндісінің ұзындығын табыңыз.
BN= BP+PN
BN=
+
дм=4
дм
АВN үшбұрышының орта сызығы- CD
СD=BN:2=2
CK=CD-KD=2
-
=
№8 (1 нұсқа №19)
А(3; -2; -4) нүктесінен ОУ осіне дейінгі және А нүктесінен XOZ жазықтығына дейінгі қашықтықтар қосындысын табыңыз.
A(3; -2; -4)
ОУ осіндегі А 1 (0; -2; 0)
XOZ жазықтығындағы А 2 (3; 0; -4)
АА
1
=
АА
2
=
АА 1 + АА 2 =5+2=7
№9 (7 нұсқа №24)
АВСD ромбының қабырғасы 8 см, ал <D=135
0
, AE
ABCD және ВС түзуінен 8
қашықтықта жатыр. В, С және Е нүктелері арқылы өтетін жазықтық пен ромб жазықтығының арасындағы бұрышты табыңыз.
AB=8, EK=8
S ромб =a 2 sin135 0
S=32
S=ah
h=S:a=4
cos
=60
2
№10 (19 нұсқа №19)
АВСD ромбының қабырғасы 8 см, ал <А=45
0
Ромб жазықтығына ВЕ перпендикуляры тұрғызылған. Е нүктесі АD түзуінен 4
қашықтықта. Е нүктесінен АВС жазықтығына дейінгі қашықтықты табыңыз.
AB=8, EK=4
<A=45 0
<ABK=45 0
AK 2 +KB 2 =AB 2
2KB 2 =64
KB 2 =32
BE 2 =EK 2 - KB 2
BE 2 =96-32=64
BE=8
ІІ бөлім. Пирамида
Пирамида деп бір жағы кез келген көпбұрыш, ал қалған п жағы төбелері ортақ үшбұрыштардан тұратын көпжақты атайды.
SA
-
бүйір қыры
,
SO-биіктігі, SM-бүйір жағының биіктігі( апофемасы)
V- көлемі
S т. б -толық бетінің ауданы
S таб -табанының ауданы
S б. б -бүйір бетінің ауданы
Кез келген пирамида үшін: V=
S
таб
H
S т. б = S б. б + S таб
Дұрыс пирамида үшін
:
S
б. б
=
PA
P-пирамида табанындағы көпбұрыштың периметрі
А-апофемасы
Қиық пирамида деп пирамиданың табаны мен табан жазықтығына параллель қима жазықтық арасындағы бөлігі аталады.
Р 1 , Р 2 -табандарының периметрі
S 1, S 2 -табандарының аудандары
V=
H(S
1
+S
2
+
)
S
б. б
=
(P
1
+P
2
) A
2003 ж тест жинағы
№1 (1 нұсқа №12)
Егер берілген нүктеден барлық қабырғаларына дейін 3 см, ал үшбұрыш қабырғасы 2
см тең болса, берілген нүктеден дұрыс үшбұрыш жазықтығына дейінгі қашықтықты табыңыз.
SH=3 см
AB= 2
см
SO=?
Шешуі: OH - дұрыс үшбұрышқа іштей сызылған шеңбердің радиусы.
r=
;
OH=
SO 2 =SH 2 -OH 2
SO=
=2
Жауабы:2
см
№2. (1 нұсқа №21)
Пирамиданың табанына параллель жазықтық пирамида биіктігін 3:2 қатынасқа бөледі. Жазықтық пирамиданың көлемін қандай бөлікке бөледі?
ИО=3x, ОН=2x
S КМР =S 1 ; S ABC = S 2
S
1
=9y; S
2
= 25y
V
ИКМР
=
Equation. 3 ИО* S
1
=
Equation. 3 *3x*9у=9 ху
V
қиық пир
=
ОИ (S
1
+S
2
+
) =
*2x (9y+25y+
) =
*98 xy
=
=
№3 (2 нұсқа №10)
Төртбұрышты дұрыс пирамиданың биіктігі 2 см -ге тең, ал табанының қабырғасы 4 см. Бүйір қырының ұзындығын тап.
SH=2, AB= 4. SA= ?
АC=
AH=2
SA=
=
Жауабы:
см.
№4 (2 нұсқа №21)
Төртбұрышты дұрыс пирамиданың биіктігі 9 см-ге тең, ал бүйір қыры 12 см болса, көлемі неге тең?
SH=9 см, SA= 12 см, V=?
НС=
=3
AC=6
AB 2 +BC 2 =252
S=AB 2 = 126
V=
S H
V=
*126 *9=378см
3
Жауабы:378см
3
№5 (4 нұсқа № 21)
Дұрыс төртбұрышты пирамиданың биіктігі 80 см, табан қабырғасы 120 см. Табанының центірінен өтетін бүйір жағына параллель қимасының ауданын табыңыз.
SH=80 cм,
AB=120 cм
S KFNM -?
AC=
AH=60
SA=
=20
КМ=SA:2=20
:2=10
MN=BC=120
MO=(MN-KF) :2=(120-60) :2=30
KO=
=50
S
KFNM
=
4500cм
2
№6 ( 5 нұсқа № 10)
Төртбұрышты дұрыс пирамиданың табан қабырғасы 20 см, бүйір қырының екі жақты бұрышы 120 0 . Пирамиданың бүйір бетінің ауданын табыңыз.
<AFC=120 0
AC 2 =AB 2 +BC 2
1)
ABC
AC=
=20
2)
AFC
FC=(20
.
) :
=20
3)
FBC
BF=
=
SC 2 =SF 2 +FC 2
SC=x,
SF= x-
X
2
=( x-
)
2
+(20
)
2
X
2
=X
2
-2X
+(
)
2
+
X=
X=10
SC=10
SK
2
=SC
2
-KC
2
=(10
)
2
-10
2
=200
SK=10
S
б. б
=
P
ABCD
SK=
*80* 10
= 400
№7 (5 нұсқа № 21)
Үшбұрыш пирамиданың бүйір қырлары өзара перпендикуляр және 4 см, 5см, 6 см тең. Көлемі неге тең?
SB-биіктік,
AB=4 cм, BC= 5 cм, SB=6 cм
S
ABC
=
AB*BC=
*4*5=10
V=
S
ABC
. SB=
*10*6=20 cм
3
№ 8 (7 нұсқа № 21)
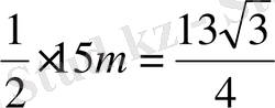
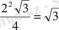
Пирамиданың табаны - бүйір қабырғасы 10 см, табаны 12 см болатын тең бүйірлі үшбұрыш. Бүйір жақтары табан жазықтығымен 60 0 -қа тең екі жақты бұрыш жасайды. Пирамиданың биіктігін табыңыз.
ABC-тең бүйірлі, AC=CB=10 cм, AB=12 cм.
<SKO=60 0 , SO-?
S=r p
KO=r=S:p
p=(10+10+12) :2=16
S=
=48
=tg60
0
r=КО=48:16=3
SO=3
cм
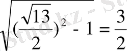
№9 (8 нұсқа №30)
Табанының қабырғасы 9 см және биіктігі 10 см болатын үшбұрышты дұрыс пирамидаға сырттай шар сызылған. Шардың радиусын табыңыз.
AH= r-
ABC-ға сыртай сызылған шеңбердің радиусы
AO=R -пирамидаға сырттай сызылған шардың радиусы.
SH-пирамиданың биіктігі.
R=
AS=
=
=
AS=L
L 2 =2RH
R=
=6, 35
№10 (10 нұсқа №21)
Пирамиданың табаны -ромб, оның сүйір бұрышы 60 0 , қабырғасы 14 см. Пирамида табанындағы екі жақты бұрыштары 45 0 -тан. Пирамиданың көлемі неге тең?
ABCD-ромб, <A=60 0 <SKO=45 0 , V-?
S
ромб
=a
2
sin 60
0
=14
2
*
=98
AHD
DH = sin60 0
AD
DH=14 *
=7
OK=DH:2=
SO=OK
SOK, <O=90
0
.
<K=<S=45 0
V=
S
ромб
SO=
*98
*
=343 cм
2
№11 (11 нұсқа №10)
Бүйір қыры 3см-ге, ал табанының қабырғасы 4 см-ге тең төртбұрышты дұрыс пирамиданың көлемін табыңыз.
SA=3 cм, AB=4 cм, V-?
AC=
=4
HC=AC:2=4
:2=2
SH=
=1
V=
AB
2
SH=
*16*1=5
cм
3
№12 (13 нұсқа №10)
Дұрыс төртбұрышты пирамиданың бүйір қыры 5 см, ал биіктігі 4 см. Пирамиданың көлемі неге тең?
SA=5 cм, SH=4 cм.
V-?
HC=
=3
AC=2HC=6
AB 2 +BC 2 =AC 2
AB 2 =6:2=3
V=
AB
2
SH=
*3*4=4 cм
3
№13 ( 14 нұсқа №12)
Берілген нүктеден шаршының барлық төбелеріне дейінгі қашықтық 4 см-ге тең. Ал шаршының қабырғасы 2 см-ге тең болса, берілген нүктеден шаршының жазықтығына дейінгі қашықтықты табыңыз.
SA=SB=SC=SD=4 cм,
AB=2, SH-?
AB 2 +BC 2 =AC 2
AC=
=2
HC=
SH=
=
cм.
№14 (17 нұсқа №21)
Төртбұрышты дұрыс пирамиданың бүйір бетінің ауданы 2
см-ге,
табанының қабырғасы 2 см-ге тең. Пирамиданың көлемі неге тең?
S
б. б
=2
cм,
AB=2cм.
V-?
S
б. б
=
P
ABCD
. SM,
SM- бүйір жағының апофемасы
SM=2S
ABCD
:P=4
:8=
SH=
V=
*4*
=2 cм
3
№15 (23 нұсқа №19)
Төртбұрышты дұрыс пирамиданың бүйір қыры мен табанының арасындағы бұрыш
, диогональдық қимасының ауданы S. Пирамиданың көлемі неге тең?
<SAH=
S ASC =S, V-?
=ctg
SH=h
AH=hctg
AC=2hctg
AB 2 +BC 2 =AC 2
2AB
2
=(2hctg
)
2
AB
2
=2h
2
ctg
2
S
ASC
=
AC* SH=
*2hctg
*h=h
2
ctg
h=
AB=
S
ABCD
=(
)
2
=2Sctg
V=
2Sctg
=
№16 (29 нұсқа №21)
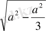
Пирамиданың табаны квадрат. Биіктігі табанының бір төбесі арқылы өтеді. Егер табанының қабырғасы 20 дм, биіктігі 21 дм болса, онда пирамиданың бүйір бетінің ауданын табыңыз.
ABCB-шаршы, АB=20 дм, SD=21 дм. S б. б -?
S
ASD
=
AD SD=
*20*21=210
S
ABS
=
AB AS=
*20*29=290
S б. б =2 (S ASD + S ABS ) =(210+290) *2=1000 дм 2 =10м 2
№17 (34 нұсқа №8)
Жазықтықта тік бұрышты үшбұрыш берілген. Гипотенузасы 12 см. Кеңістікте берілген бір нүктеден үшбұрыш төбелеріне дейінгі қашықтық 10 см-ден. Үшбұрыш жазықтығынан кеңістіктегі нүктеге дейінгі қашықтықты табыңыз.
ABC-тік бұрышты үшбұрыш, АВ=12 cм,
SA=10cм
SH-?
AH=R-
ABC-ға сырттай сызылған шеңбердің радиусы
R=
6
SH=
№18 (34 нұсқа №19)
Пирамиданың табаны диогональдары 4 см және 2
см арасындағы бұрышы 30
0
-қа тең параллелограмм. Пирамиданың биіктігі табанының кіші қабырғасына тең болса, онда көлемі неге тең?
ABCD-параллелограмм, AC=4cм, BD=2
cм, <BHC=30
0
SH=AB, V-?
S=
AC* BD *sin30
0
=
*4*2
*
=2
cм
2
AB=
V=
*2
*1=
cм
3
2004 жыл №19 (4 нұсқа №26)
ABCD тік төртбұрышының D төбесі арқылы тік төртбұрыш жазықтығына перпендикуляр DS түзуі жүргізілген. S нүктесінен тік төртбұрыштың төбелеріне дейінгі қашықтықтар
12 м, 14 м, 18 м. DS кесіндісінің ұзындығы неге тең?
SA=12 м, SB=14 м, SC=18м
SD=?
AB=x, BC=y, SD=z
X 2 +z 2 =144
Y 2 +z 2 =196
X 2 +y 2 +z 2 =324
144-z 2 +196-z 2 +z 2 =324
Z 2 =16
Z=4м
Жауабы: SD=4м
№20
Үшбұрышты дұрыс пирамиданың бүйір қырының ұзындығы
см-ге тең. Бүйір қыры табан жазықтығымен 60
0
бұрыш жасаса, онда пирамидаға сырттай сызылған шардың радиусын табыңыз.
SA=
см
<SAH=60 0
AO=R- пирамидаға сырттай сызылған шардың радиусы
=cos60
0
AH=
.
SH=
=
SA 2 =2R*SH
R=
=
см
2005 ж
№21 (4 нұсқа №30)
Дұрыс тетраэдрдің биіктігі h-қа тең. Толық бетінің ауданын табыңыз.
AB=x
SH=h
R-
ABC-ға сырттай сызылған шеңбердің радиусы
R=
AS 2 =SH 2 +AH 2
X
2
=(
)
2
+h
2
X
2
-
=h
2
X
2
=
h
2
S
ABC
=
S
т. б
=4
№22 (5 нұсқа №21)
Көлемі 4 см 3 , ал табанының қабырғасы 2 см-ге тең төртбұрышты дұрыс пирамиданың бүйір қырының ұзындығын табыңыз.
V=4cм
3
AB=2 см
S ABCD =2 2 =4см 2
V=
S
ABCD
*SH
SH=3V: S ABCD
SH=12:4=3
АС=2
, HC=
SC=
№23. (15 нұсқа №16)
Пирамиданың табан қабырғасы а-ға тең шаршы. Іргелес екі бүйір жағы табынына перпендикуляр, ал басқа екі бүйір жағы табанымен 60 0 бұрыш жасайды. Пирамиданың толық бетінің ауданын табыңыз.
ABCB-шаршы, AB=a
<SAD=<SCD=60 0
S т. б =S таб +2(S ASD +S SAB )
S таб =a 2
SD = tg60 0
AD
SA=
a
S
ASB
=
AS*AB=
*a*2a=a
2
S
SAD
=
AD*SA=
*a*
a=
a
2
S
т. б
=a
2
+2(a
2
+
a
2
)
2
=a
2
(3+
)
2006 ж
№24. (14 нұсқа №30)
Пирамиданың табанына параллель жазықтық қимасы биіктікті 1:1 қатынасындай бөледі. Қима ауданы 2 м 2 болса, табан ауданы неге тең?
SH 1 =2SH S 1 =2 м 2
=(
)
2
S 1 =8 м 2
№25 (17 нұсқа №13)
MABCD дұрыс төртбұрышты пирамиданың МО биіктігі 7 см-ге тең, ал бүйір қыры 14 см- ге тең болса, онда
скаляр көбейтіндісін табыңыз.
MO=7, MA=14.
AO 2 = MA 2 -MO 2
AO=
M(0; 0; 7), O(0; 0; 0), C(-7
; 0; 0)
MO(0; 0; 7)
MC(-7
; 0; 7)
=0+0+49=49
2007 ж
№26 (6 нұсқа №24)
Төртбұрышты дұрыс пирамиданың табан қабырғасы а-ға тең, бүйір қырындағы екі жақты бұрыштары 120 0 -тан. Пирамиданың көлемі неге тең?
S
таб
=
ABC:
CB 2 =CE 2 +EB 2 -2CE *CB cos120 0
CE=x
a 2 =3x 2
x=
SAC:
AE 2 =AC 2 -CE 2
AE=
=a
AS=CS=y
ES 2 +EC 2 =SC 2
ES=AS-ES
(y- a
)
2
+
=y
2
y
2
-2ax
+2
+
= y
2
y=
AS=
SAH: AH=
SH 2 =AS 2 -AH 2
SH=
V=
S
таб
SH=
*
*
=
2009 ж
№27 (1 нұсқа №18)
Пирамиданың табаны тік бұрышты үшбұрыш, 30 0 төбесіне қарсы жатқан катеті 30 см. Бүйір қырлары табан жазықтығына 60 0 бұрыш жасаса, пирамиданың биіктігін табыңыз.
ABC-тік бұрышты үшбұрыш
<A=30 0 , BC=30, <SAH=60 0
SH=?
AB=60
AC=
R-
ABC-ға сырттай сызылған шеңбердің радиусы
R=AH
R=
=30
tg60
0
SH=30
№28 (2 нұсқа № 19)
SABC пирамидасының SB қыры биіктігі болады. BС=18 см, AB= 12 см,
SB=5 см <CBA=90 0 болса, пирамиданың төбесінен табанының медианаларының қиылысу нүктесіне дейінгі қашықтықты табыңыз.
BС=18 см, AB= 12 см, SB=5 см <CBA=90
0
SO-?
AC=
m-
ABC-ның АС-ға жүргізілген медианасы
m=
BO-
АВС-ның медианаларының қиылысу нүктесі
BO=
=4
SO 2 =SB 2 +BO 2
SO=
№29 (3 нұсқа №25)
Пирамиданың табаны-параллелограмм, оның қабырғасы 3 см және 7 см, ал диогональдарының бірі 6 см. Пирамиданың биіктігі диогональдарының қиылысу нүктесінен өтеді, ол 4 см-ге тең. Бүйір қырын табыңыз.
AB=3, BC=7, AC=6, SH=4
SA-?
AC 2 +BD 2 =2(AB 2 +BC 2 )
BD 2 =2(9+49) -36
BD 2 =80
BD=4
BH=BD:2=2
SB 2 =SH 2 +BH 2
SB 2 =16+20=36
SB=6
SA 2 =9+16=25
SA=5
№30 (7 нұсқа №25)
М нүктесі тең түйірлі ABCD трапеция жазықтығынан тысқары жатыр және трапеция төбелерінен бірдей 7 см қашықтықта орналасқан. Егер AB= 12 см, DC= 8 см, AD=6см болса, М нүктесінен трапеция жазықтығына дейінгі қашықтықты табыңыз.
R ABCD =R ABD
AK=(AB-DC) :2=(12-8) :2=2
DK 2 =AD 2 -AK 2
DK 2 =36-4=32
DK=4
DB
2
=DK
2
+KB
2
KB=AB-AK=12-2=10
DB 2 =32+100=132
DB=2
P
ABD
=(12+2
+6) :2=9+
S
ABD
=
R
ABD
=
MO=
№31 (13 нұсқа №25)
Дұрыс төртбұрышты пирамиданың табанының диогоналі 4
см, бүйір жақтары табан жазықтығымен 60
0
жасайды. Пирамидаға іштей сызылған сфераның бетінің ауданын табыңыз.
AC=4
<SHO=60 0
r
cфера
-?
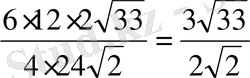
AB 2 +BC 2 =AC 2
2 AB 2 =96
AB 2 =48
AB=4
OH=2
<OSH=30 0
r
cфера
=r tg30
0
=2
*
=2
S=4
r
cфера
2
=4
*2
2
=16
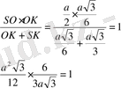
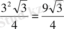
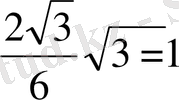
№32( 15 нұсқа №24)
Үшбұрышты дұрыс пирамиданың биіктігі мен бүйір жағының арасындағы бұрыш 30 0 -қа тең. Пирамидаға іштей сызылған шардың радиусы 1 см-ге тең болса, табан қабырғасының ұзындығын табыңыз.
<OSK=30
0
r
ABC
=
SK=2OK=2
=
SO=
r
cфера
=
a=6
AB=3
№33 (16 нұсқа №24)
Пирамиданың табанында катеттері 6 см және 8 см болып келетін тік бұрышты үшбұрыш жатады. Пирамиданың табанындағы барлық екі жақты бұрыштар 60 0 -қа тең. Пирамиданың биіктігін табыңыз.
AC=6, BC=8, AC=10
OK=(6+8-10) /2=2
<OSK=30 0
SK=2OK=4
SO 2 =SK 2 -OK 2
SO 2 =16-4=12
SO=2
№34 (25 нұсқа №25)
Үшбұрышты пирамиданың екі бүйір жағы өзара перпендикуляр және олардың аудандары P мен Q -ға тең, ал ортақ қырының ұзындығы а-ға тең. Пирамиданың көлемі неге тең?
S ASB =P, S BSC =Q, SB=a V-?
AB=x, BC=y
S
ASB
=
AB SB
x=2P:a
S
BSC
=
BC* SB
y=2Q:a
S
ABC
=
AB* BC=
V=
2010 ж
№35 (9 нұсқа №24)
МАВС пирамидасының барлық қырлары 6 см-ге тең, ВМ кесіндісінің ортасы К және А нүктелері арқылы және ВС қырына параллель өтетін қиманың периметрін табыңыз.
AK 2 =AB 2 -BK 2
AK 2 =36-9=27
AK=3
KN=3
AN=3
P=3+3
+3
=3(2
+1)
№36(15 нұсқа №24)
Дұрыс төртбұрышты пирамиданың диогональдық қимасы табанымен тең шамалы. Егер бүйір қыры 5 см-ге тең болса, пирамиданың табанының ауданын табыңыз.
S ASC =S таб
AS=5, S таб -?
SH=h
AB=x
AH 2 =AS 2 -SH 2 =25-h 2
AC=
AC 2 =2AB 2
AB 2 =2 (25-h 2 )
S
ASC
=
AC *SH S
таб
= AB
2
h=2 (25-h
2
)
h=
h 2 =4(25-h 2 )
5h 2 =100
h 2 =20
h=2
AB 2 =2(25-20) =10
S таб =10
№37 (5 нұсқа №29)
Табанының қабырғалары 3 м және 2 м болатын, ал бүйір бетінің ауданы табандарының қосындысымен тең шамалы болатын дұрыс қиық пирамиданың көлемін табыңыз.
AB=AC=BC=3
MN=NK=MK=2
S б. б = S ABC + S MNK
V-?
R
ABC
=
S
таб
=
S
ABC
=
S
MNK
=
S
б. б
=
(P
ABC
+P
MNK
) m, m-бүйір жағының апофемасы
S
б. б
=
m=
R
ABC
-R
MNK
=
H
пир
=
V=
№38 (16 нұсқа №29)
Табандарының ауданы 16 см 2 және 4см 2 , ал биіктігі 3 см-гетең қиық пирамиданың көлемін табыңыз.
S ABC =16 см 2
S MNK =4см 2
H=3 см
V-?
V=
3 (16+4+
) =28 см
3
№39 (17 нұсқа №24)
Үшбұрышты қиық пирамиданың биіктігі 10 м-ге тең, ал табандарының қабырғалары 27 м, 29 м, 52 м-ге тең және екінші табанының периметрі 72 м-ге тең. Пирамиданың көлемін табыңыз.
H=10 м, AC=27, BC=29, AB=52
P MNK =72, V-?
P ABC =24+29+52=108
S
ABC
=
S MNK =120
V=
*10 *(270+120+
) =1900м
2
ІІІ бөлім Параллелепипед.
Параллелепипед -барлық жақтары параллелограммдар болатын призма.
Тік параллелепипед- бүйір қырлары табанына перпендикуляр параллелепипед.
а, в, с- қабырғалары, d-диогональ
Тік параллелепипедтің барлық жақтары -тік төртбұрыштар.
V=abc;
S б. б =2c(a+b)
S т. б =2(ab+bc+ac)
d 2 =a 2 +b 2 +c 2
2003 ж
№1 (3 нұсқа №21)
Жақтарының аудандары 6 см 2 , 2см 2 және 3см 2 тең тік бұрышты параллелепипедтің көлемін табыңыз.
S
1
=ab
ab=6 b=6:a
S 2 =ac
ac=2 c=2:a
S 3 =bc
bc= 3
a
2
=4
a=2
b=6:2=3
c=2:2=1
V=abc=6cм 3
№2(8 нұсқа №19)
Биіктігі 4 см-ге тең диагоналі табан жазықтығымен 45 0 бұрыш жасайтын тік бұрышты табаны шаршы параллелепипед берілген. Параллелепипедтің көлемін табыңыз.
с=4см
d=4cм
а 2 +в 2 =d 2
2a 2 =16
a 2 =8
S таб = a 2
S таб =8
V=8*4=32cм
2
№3 (9 нұсқа №19)
Тік бұрышты параллелепипедтің табан қабырғалары 7 дм және 24 дм, биіктігі 8 дм. Диогональдық қимасының ауданын табыңыз.
a=7 дм
b=24дм
c=8 дм
d 2 =a 2 +b 2
d 2 =49+576=625
d=25
S
қима
=25*8=200дм
2
= 2м
2
№4. ( 15 нұсқа №21)
Тік бұрышты параллелепипедтің бір төбеден шығатын үш жағының диогональдарының ұзындығы 2
см, 2
см және 10 см. Параллелепипедтің диогоналін табыңыз.
d
1
=2
см, d
2
=2
см, d
3
=10 см. d=?
а
2
+в
2
=(2
)
2
a
2
+c
2
=(2
)
2
в 2 +с 2 =10 2
в 2 =40-а 2
с 2 =68-a 2
40-а 2 +68-a 2 =100
- Іс жүргізу
- Автоматтандыру, Техника
- Алғашқы әскери дайындық
- Астрономия
- Ауыл шаруашылығы
- Банк ісі
- Бизнесті бағалау
- Биология
- Бухгалтерлік іс
- Валеология
- Ветеринария
- География
- Геология, Геофизика, Геодезия
- Дін
- Ет, сүт, шарап өнімдері
- Жалпы тарих
- Жер кадастрі, Жылжымайтын мүлік
- Журналистика
- Информатика
- Кеден ісі
- Маркетинг
- Математика, Геометрия
- Медицина
- Мемлекеттік басқару
- Менеджмент
- Мұнай, Газ
- Мұрағат ісі
- Мәдениеттану
- ОБЖ (Основы безопасности жизнедеятельности)
- Педагогика
- Полиграфия
- Психология
- Салық
- Саясаттану
- Сақтандыру
- Сертификаттау, стандарттау
- Социология, Демография
- Спорт
- Статистика
- Тілтану, Филология
- Тарихи тұлғалар
- Тау-кен ісі
- Транспорт
- Туризм
- Физика
- Философия
- Халықаралық қатынастар
- Химия
- Экология, Қоршаған ортаны қорғау
- Экономика
- Экономикалық география
- Электротехника
- Қазақстан тарихы
- Қаржы
- Құрылыс
- Құқық, Криминалистика
- Әдебиет
- Өнер, музыка
- Өнеркәсіп, Өндіріс
Қазақ тілінде жазылған рефераттар, курстық жұмыстар, дипломдық жұмыстар бойынша біздің қор #1 болып табылады.

Ақпарат
Қосымша
Email: info@stud.kz