Сызықты және тармақты алгоритмдерге есептер шығару

Сабақ тақырыбы: Сызықтық және тармақты алгоритмдерге есептер шығару.
Сабақ мақсаты: Оқушылардың өткен тақырыптарын қайталап, пысықтау.
Оқушылардың логикалық ойын дамыту. Паскаль арограммалау
тілін меңгерудегі білімін шыңдау, есептер шығарып жаттығу.
Дамытушылық мақсаты: Компьютерлік сауаттылыққа тәрбиелеу.
Тәрбиелік мақсаты: Оқушыларды ақпараттық мәдениетке, дұрыс, тиянақты
сөйлеуге, ұқыптылыққа, жүйелікке, тазалыққа үйрету.
Отаншылдыққа тәрбиелеу.
Сабақ түрі: аралас.
Көрнекілігі: карточкалар, компьютер, тесттер, плакаттар.
Пәнаралық байланыс: қазақ тілі, алгебра.
Сабақ барысы:
- Ұйымдастыру кезеңі: Оқушыларды сабаққа дайындау, түгендеу, психологиялық дайындық.
- Үй тапсырмасын тексеру: Тест сұрақтары (2 нұсқа) .
І нұсқа.
1. Алгоритм дегеніміз не?
А) Есептеп шығару үшін қажетті элементтер
Б) Алғашқы мәліметтерді пайдаланып, іздеген мақсатқа жеткізетін түсінікті әрі дәл ұйғарым
В) Мәтін жазу үшін қажет команда.
2. Меншіктеу командасы қалай жазылады?
А) = б) := в) >=
3. а 0 +а 1 х+а 2 х 2 өрнегінің Паскаль тілінде жазылуы:
А) а 0 +а1х+а2*х^2 B) a0+a1*x+a2*x*x C) a0+a*1*x+a2*x*x
4. x айнымалысы х:=1; x:=x-3; x:=x 2 ; x:= x*x; x:=x+4; сменшіктеу командалары сериясы орындалғаннан кейін қандай мән қабылдайды ?
5. Оператор дегеніміз не?
А) Ізделінді нәтижеге жеткізетін ұйғарым;
В) *Белгілі бір шамаларға жүргізілетін амалдардың орындалу жолын көрсететін нұсқау
С) Белгілі бір қызмет атқаратын команда.
6. «Жұма» шамасының типін көрсетіңдер
А) литерлік; в) нақты; с) бүтін;
7. Енгізу операторы
А) begin В) writeln С) readln
8. cos x функциясының программалық тілде жазылуы
a) xcos B) sin x c) cos(x)
9. x 2 - программалық тілде жазылуы
А) sqrt(x) в) sqr(x) с) cos(x)
10. е х - функциясының программалық тілде жазылуы
А) ехр(х) в) abs(x) с) sqr(x)
II нұсқа
- «Аглоритм» сөзі қайдан алынған?
А) Арифметика сөзінен алынған.
В) Әл-Хоризми атының «aigoritmi» болып жазызуынан.
С) Мәтін жазу үшін қажет командадан алынған.
2. Қөбейту амалы Паскаль тілінде қалай жазылады?
А) - В) = C) *
3. а/b 2 +1+ab/a 2 +1 өрнегінің Паскаль тілінде жазылуы.
a) a/(b*b+1) +(a*b) /(a*a+1) B) (a/b*2+1) +ab/a*2+1 C) (b+1) +(a*b) /(a*a+1)
4. N:=1; N:=N+1; N:=N*N; N:=N 2 командалары орындалғаннан кейін N айнымалысына қандай мән меншіктеледі?
a) N:=14 B) N:=16 C) N:=26
5. Операторлар бір-бірінен қалай ажыратылып жазылады?
А) ; : В) ; с) /
- 7, 5 шамасының типін көрсет?
А) Литерлік В) Нақты С) Бүтін
- Шығару операторы
А) Begin; В) Writeln; С) Readln;
8. X -тің программалық тәлде жазылуы
A) ext(x) B) abs(x) C) sqr(x)
9. Х-тің программалық тілде жазылуы
A) sqrt(x) B) sqr(x) C) cos(x)
10. Айнымалы шама деген не?
А) Алгоритм орындау барысында мәні өзгермейтін шама
В) Алгоритм орындау барысында мәні өзгеретін шама
С) Бастапқы шамалар
- Өткенді еске түсіру: 1. Венн диаграммасын пайдаланып екі алгоритмдерде ортақ және әр қайсысына тиісті операторлар атын жазып, мағынасын түсіндіру.
2. Кубизм стратегиясын қолдану.
1. Алгоритм деген не?
2. Алгоритмнің түрлері?
3. Сызықты және тармақты алгоритмдердің блок сызбасын сыз?
4. Айнымалыларды сипаттаудың түрлерін ата?
5. Меншіктеу операторын ата?
6. Бағдарламаның әр қатарына қойылытын тыныс белгілер?
4. Берілген есептердің бағдарламасын құрып, компьютерде орындау.
№1 Программасын құр
№2
Екі сан берілген. Экранға өсу ретімен орналасу программасын құр.
№3
Екі сан берілген. Екі санның үлкенінін квадратын табу программасын құр.
№4
Берілген үш санның теріс мәндісінің квадратын тауып, басқаларын өзгеріссіз қалдыру программасын құр.
№5 Программасын құр
Y= 3-cosx
14x2-6a+b
№6
Радиусы R шеңберге сырттай сызылған үшбұрыштың аудынын табу формуласын пайдаланып программасын құр.
№7
Үш санның үлкенін табу программасын құр
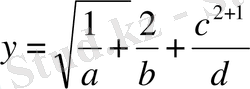
№8 программасын құр
X 2 егер -2<=x<=2
Y=
Equation. 3
x+1
№ 9
x 2 +4x+5 егер x<=2
Y= 1
x 2 +4x+5
№ 10 Программасын құр.
F=z-6. 3x
Yx егер x<0
Y= 0 егер 0<=x<=1
Y 2 егер x>1
№ 11
-4 x<0
Y= x 2 +3x+4 0<=x<=1
(x 2 +3x+4) 2 x>0
№ 12
Қорапта 3 кг лимон және апельсин бар. Жеке дара тартқанда лимонның салмағы 1 кг 760 г болды. Қай жемістің салмағы көп және нешеге көп? Программасын құр.
№ 13 Программасын құр
Айман досынан 3 күнге оқуға кітап алды. 1 күні А беттерді, 2 күні 1 күннен В беттерге артық оқыды, ал 3 күні 2 күнен С беттерге кем оқыды. Егер кітапта беттер саны 194 болса, онда Айман кітапты уақытылы оқып бітіреді ме?
№ 14 Программасын құр
X 2 x>0
Y=
3x+k x<=0 K=2. 3
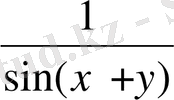
№ 15 Программасын құр
Мұнд: х=4
10-
cos(x+y)
Equation. 3
x=y
Y=
Equation. 3 x>y
№ 16 Ойлаған санды табу программасын құр
Ойлаған санды 5-ке көбейт, оған 8-ді қос, оны 2-ге көбейт.
5. Қорытынды:
1. Үйге тапсырма:
2. Бағалау:
- Іс жүргізу
- Автоматтандыру, Техника
- Алғашқы әскери дайындық
- Астрономия
- Ауыл шаруашылығы
- Банк ісі
- Бизнесті бағалау
- Биология
- Бухгалтерлік іс
- Валеология
- Ветеринария
- География
- Геология, Геофизика, Геодезия
- Дін
- Ет, сүт, шарап өнімдері
- Жалпы тарих
- Жер кадастрі, Жылжымайтын мүлік
- Журналистика
- Информатика
- Кеден ісі
- Маркетинг
- Математика, Геометрия
- Медицина
- Мемлекеттік басқару
- Менеджмент
- Мұнай, Газ
- Мұрағат ісі
- Мәдениеттану
- ОБЖ (Основы безопасности жизнедеятельности)
- Педагогика
- Полиграфия
- Психология
- Салық
- Саясаттану
- Сақтандыру
- Сертификаттау, стандарттау
- Социология, Демография
- Спорт
- Статистика
- Тілтану, Филология
- Тарихи тұлғалар
- Тау-кен ісі
- Транспорт
- Туризм
- Физика
- Философия
- Халықаралық қатынастар
- Химия
- Экология, Қоршаған ортаны қорғау
- Экономика
- Экономикалық география
- Электротехника
- Қазақстан тарихы
- Қаржы
- Құрылыс
- Құқық, Криминалистика
- Әдебиет
- Өнер, музыка
- Өнеркәсіп, Өндіріс
Қазақ тілінде жазылған рефераттар, курстық жұмыстар, дипломдық жұмыстар бойынша біздің қор #1 болып табылады.

Ақпарат
Қосымша
Email: info@stud.kz