Оқушы жауаптары

Калиева Сауле Сырбайқызы.
Ақмола облысы, Аршалы ауданының
№2 Аршалы орта мектебінің математика, информатика пәнінің мұғалімі.
алгебра
7 сынып
Сабақтың тақырыбы: «Қысқаша көбейту формулалары»
Сабақтың мақсаты:
Білімділік : - тақырып бойынша алған білімін жинап, бір жүйеге келтіру;
- қысқаша көбейту формулалары бойынша білімдерін тексеру.
-ойлау қабілетін дамыту және математика тілінде сөйлеу
дағдыларын қалыптастыру;
Тәрбиелік : Оқушыларды көпшіл болуға үйрету өзара көмегін
қалыптастыра отырып, жауапкершілікке
дағдыландыру, өзін-өзі басқаруға тәрбиелеу.
Дамытушылық : Шығармашылық жұмыс істеуге, тез ойлауға
дағдыландыру, өз жетістігін бағалай білуге үйрету.
Сабақтың түрі : Білімді бекіту сабағы.
Көрнекілігі: компьютер, интерактивтік тақта, презентация, жетондар т. б
Сабақ барысы:
- Үй тапсырмасы. Сабаққа дайындық(теориялық білім, формулалар)
- Кім жылдам? (Ауызша есеп. )
- Математикалық диктант.
- Сен мұғалімсің ! қатені түзе.
- Әр түрлі тапсырмалар.
- Өзіндік жұмыс.
- Оқушы шығармашылығынан. (сөзжұмбақ шешу)
- Сабақты қорытындылау, оқушыларды бағалау.
І. 1 слайд. . Сабаққа дайындық(теориялық білім, формулалар)
Қандай қысқаша көбейту формуласын білесіңдер?
формула түрінде және ережесін айту, мысал келтіру.
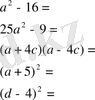
Оқушы жауаптары:
Екі өрнектің квадратының айырымы
Екі өрнектің қосындысының және айырымының квадраты
ІІ. 2 слайд. Ауызша есеп(қайталау) .
Төмендегі есептер интерактивтік тақтада көрсетіліп тұрады. Оқушылар ауызша, тез жауап беруі керек. Жауаптарына сәйкес оқушыларға 3, 4, 5 ұпайлық жетондар беріледі.
Есеп. Жауап:
ІІІ. 3 слайд. Математикалық диктант.
Өрнек түрінде жазыңдар:
- а мен 7 сандарының қосындысының квадраты.
- в және 4 санының қосындысы мен айырмасының көбейтіндісі.
- в және 5а сандарының айырымының квадраты.
- 2х және 1 санының қосындысы мен айырымының көбейтіндісі.
ІV. 4 слайд. Сен мұғалімсің! Қатені түзу керек.
Оқушылар тақтадағы есептердің қатесін түзейді.
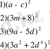
V. Әртүрлі тапсырмалар.
5 слайд. Мына өрнектерді өз бағандарына жаз.
- слайд. “?” Белгісінің орнына қандай өрнек жазу керек?
7 Слайд. Кестені толтыр :
1
өрнек
2
өрнек
VI. 8 слайд. Өздік жұмыс
1-нұсқа 2- нұсқа
І. Көбейткішке жікте :
ІІ. Көпмүше түрінде жаз :
Өздік жұмысты аяқтағаннан кейін, оқушылар көршілерімен дәптерлерін ауыстырып, интерактивтік тақтадағы дұрыс жауапқа қарап, тексереді. Өздері бір-бірін бағалайды.
9 слайд.
VII. Оқушы шығармашылығынан.
- Бірдей көбейткіштерден тұратын көбейтіндіні не деп атайды?
- Бірнеше бірмүшелердің алгебралық қосындысы.
3) Фигуралардың қасиеттерін зерттейтін ғылым.
4) Үш бірмүшеден тұратын көпмүшені не деп атайды.
5) Нүктелердің координаталық жазықтықтағы кескіні.
Құрастырған: Талғатұлы Талант
7в сынып
VIII. 10 слайд. Сабақты қорытындылау.
Тұжырымды жалғастыр.
Екі өрнектің квадраттарының айырымы . . .
Екі өрнектің қосындысының квадраты . . .
Екі өрнектің айырымының квадраты . . .
IX. 11 слайд. оқушыларды бағалау.
Оқушылар жинаған ұпайлары бойынша бағаланады.
- Үйге тапсырма. Қысқаша көбейту формулаларын, ережелерін жаттау.
№ 183-185
- Іс жүргізу
- Автоматтандыру, Техника
- Алғашқы әскери дайындық
- Астрономия
- Ауыл шаруашылығы
- Банк ісі
- Бизнесті бағалау
- Биология
- Бухгалтерлік іс
- Валеология
- Ветеринария
- География
- Геология, Геофизика, Геодезия
- Дін
- Ет, сүт, шарап өнімдері
- Жалпы тарих
- Жер кадастрі, Жылжымайтын мүлік
- Журналистика
- Информатика
- Кеден ісі
- Маркетинг
- Математика, Геометрия
- Медицина
- Мемлекеттік басқару
- Менеджмент
- Мұнай, Газ
- Мұрағат ісі
- Мәдениеттану
- ОБЖ (Основы безопасности жизнедеятельности)
- Педагогика
- Полиграфия
- Психология
- Салық
- Саясаттану
- Сақтандыру
- Сертификаттау, стандарттау
- Социология, Демография
- Спорт
- Статистика
- Тілтану, Филология
- Тарихи тұлғалар
- Тау-кен ісі
- Транспорт
- Туризм
- Физика
- Философия
- Халықаралық қатынастар
- Химия
- Экология, Қоршаған ортаны қорғау
- Экономика
- Экономикалық география
- Электротехника
- Қазақстан тарихы
- Қаржы
- Құрылыс
- Құқық, Криминалистика
- Әдебиет
- Өнер, музыка
- Өнеркәсіп, Өндіріс
Қазақ тілінде жазылған рефераттар, курстық жұмыстар, дипломдық жұмыстар бойынша біздің қор #1 болып табылады.

Ақпарат
Қосымша
Email: info@stud.kz