Оқушыларды топқа бөлу. Сабақтың тақырыбы

Бекітемін:
ОІЖ орынбасары: Сарбалина Б. Д.
Сабақтың тақырыбы: Туындыны табу ережелері
Сабақтың мақсаты:
Білімділік: Туындыны табу ережелерін пайдалана отырып, функциялардың туындыларын табуға есептер шығару, машықтандыру, алған білімдерін тереңдету, жинақтау, жүйелеу.
Дамытушылық: Оқушылардың ой-өрісін кеңейту, пәнге қызығушылығын
арттыру.
Тәрбиелік: Жылдам ойлап, тез қорытуға, жауапкершілікке, өз бетінше білім алуға баулу, адамгершілікке, достыққа тәрбиелеу.
Сабақтың түрі: дәстүрлі емес
Сабақтың типі: бекіту сабағы, экспедиция сабақ
Сабақтың көрнекілігі: Интерактивті тақта, борт-журналдар (жұмыс парақтары) , деңгейлік тапсырмалар,
Оқушылармен жұмыс түрлері : жұптық, топтық, ұжымдық.
Пәнаралық байланыс: тарих, физика, геометрия.
Сабақтың барысы:
І. Ұйымдастыру кезеңі:
а) Оқушылармен сәлемдесу, түгендеу - 1 минут
ІІ. «Қайталау - ілімнің анасы».
Оқушыларды топқа бөлу.
Әр оқушы үш түсті (қызыл, жасыл, ақ) стикердің біреуін таңдап, сонда жазылған ауызша есептерге жауап береді . Сынып оқушылары таңдаған түстері бойынша үш топқа бөлініп отырады .
«Білім» кемесінде «Туынды» аралына саяхат.
«Білім» кемесіндегі каюталар: «Функциялардың көбейтіндісі», «Функциялардың бөліндісі», «Дәрежелік функция» (оқушылар үш топқа бөлінеді) . Әр каюта капитандарына бағалау парақтары таратылады (борт-журнал) .
Борт-журнал
Каюта аты:
«Көпір» тапсырмалары
(+/-)
« Сен ғылымға болсаң ыңтық, бұл сөзімді әбден ұқ:
Білгеніңнің жақсысын қыл, білмегенді біле бер»
Ш. Құдайбердиев
IV. Негізгі бөлім:
1. «Көпір» аралы (жеке және жұптық жұмыс )
а) Ой қозғау
Көп нүктенің орнына керекті сөзді қой:
1. Функцияның өсімшесінің аргумент өсімшесіне қатынасының аргумент өсімшесі нолге ұмтылғандығы шегі бар болса, онда ол
функциясының х нүктесіндегі . . . деп аталады.
2. Функцияның туындысын табу амалы . . . амалы деп аталады.
3. х нүктесінде функцияның туындысы бар болса, онда f(x) функция осы нүктеде . . . функция.
ә) "Математикалық диктант" -сәйкестікті тап!






Оқушылар жауаптарын өзара жұптасып тексереді.
Дұрыс жауабы:
2. «Білім мен ұғым» аралы
І деңгей тапсырмалары (әр дұрыс есепке 1 ұпай) .
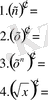
1) f(x) = 2х - 3
2)
3) f(x) = 3х 4 - 7х 3 +2х 2
4)
5)
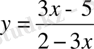
3. «Рифтер» аралы. ІІ деңгей тапсырмалары. (әр дұрыс есепке 1 ұпай) .
1) f(x) =(1+2х) (1-2х)
2)
3) f(x) = 3х 3 - 9х 2 функциясының х= -2 нүктесіндегі туындысының мәнін есептеңдер.
4. «Сергіту» аралы.
Логикалық тапсырма. Шырпылар
5. «Пираттар » аралы. (Каюта капитандары сайысы) .
ІІІ деңгей тапсырмалары. (әр дұрыс есепке 1 ұпай)
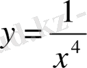
1)
f
/
(x) ≤ 0 теңсіздігін шешіңіз: f(x) =
2) ( . . . ) / = 12х 3 +1
3) ( . . . )
/
=
6. «Қазыналар » аралы. Тарихи мәліметтер.
7. «Туынды» аралы.
Тест
- В) С) Д) Е)
2. f(х) =3 +5х+3
А) 6х+5 В) 8х+3 С) 6х+3 Д) 3х+5 Е) 5х+3
3. f(x) =
А) 3х В) 3х 2 -3 С) х 3 -3 Д) 3х 2 +3 Е) х 3 +3х
4. f(х) =2х 3 -3х 2 +6 f 1 (-2)
А) -18 В) 6 С) -16 Д) 36 Е) 22
5. f(х) =2х 2 +20
А) 4х-20
В) 4х+10
С) 4х+
Д) 4х-
Е) 4х-
6. f(х) =х
9
-3х
5
-
+2
А) 9х
8
-15х
6
+12х
-5
В) х
10
-
С) 9х
8
-15х
4
-
Д) 9х
8
-15х
4
-12х
-5
Е) 9х
6
-15х
4
+12х
-3
7. f(х) =
f
1
(16)
А)
В)
С)
Д)
Е) 4
8. f(х) =5х 24
А) 120х 23 В) 120х 22 С) 24х 23 Д) 50х 24 Е) -120х 23
Қорытындылау. Функцияны табу ережелерін пайдаланып, келесі сабақтарда туындының көмегімен функцияны зерттеуге, графигін салуға, геометриялық, физикалық, биологиялык есептерді шығаруды үйренеміз.
Үйге тапсырма: №179, 185, 189
- Іс жүргізу
- Автоматтандыру, Техника
- Алғашқы әскери дайындық
- Астрономия
- Ауыл шаруашылығы
- Банк ісі
- Бизнесті бағалау
- Биология
- Бухгалтерлік іс
- Валеология
- Ветеринария
- География
- Геология, Геофизика, Геодезия
- Дін
- Ет, сүт, шарап өнімдері
- Жалпы тарих
- Жер кадастрі, Жылжымайтын мүлік
- Журналистика
- Информатика
- Кеден ісі
- Маркетинг
- Математика, Геометрия
- Медицина
- Мемлекеттік басқару
- Менеджмент
- Мұнай, Газ
- Мұрағат ісі
- Мәдениеттану
- ОБЖ (Основы безопасности жизнедеятельности)
- Педагогика
- Полиграфия
- Психология
- Салық
- Саясаттану
- Сақтандыру
- Сертификаттау, стандарттау
- Социология, Демография
- Спорт
- Статистика
- Тілтану, Филология
- Тарихи тұлғалар
- Тау-кен ісі
- Транспорт
- Туризм
- Физика
- Философия
- Халықаралық қатынастар
- Химия
- Экология, Қоршаған ортаны қорғау
- Экономика
- Экономикалық география
- Электротехника
- Қазақстан тарихы
- Қаржы
- Құрылыс
- Құқық, Криминалистика
- Әдебиет
- Өнер, музыка
- Өнеркәсіп, Өндіріс
Қазақ тілінде жазылған рефераттар, курстық жұмыстар, дипломдық жұмыстар бойынша біздің қор #1 болып табылады.

Ақпарат
Қосымша
Email: info@stud.kz