Функция графигіне жүргізілген жанама тақырыбын қортындылау

Сабақтың тақырыбы: Туындының физикалық және геометриялық мағанасы. Функция графигіне жүргізілген жанама тақырыбын қортындылау
Сабақтың мақсаты:
1. Оқушылар туындының физикалық мағынасын және функцияның графигіне жүргізілген жанаманың формуласын біліп оны есептер шығарғанда қолдана алуға үйрету .
2. Оқушылардың логикасын, ой-өрісін арттыру, шапшаң есептеуге дағдыландыру.
3. Ұйымшылдыққа тәрбиелеу. Білім алуға ынтасын арттыру.
Сабақтың түрі: Қортындылау, есептер шығару сабағы
Сабақтың көрнекілігі: интерактивті тақта, карточка
Сабақтың барысы:
1. Ұйымдастыру:
2. Үй тапсырмасын тексеру
№ 205. № 211
3. Миға шабуыл:
Жанама дегеніміз не?
Өткен тақырыптан біз не білдік?
- Туындының физикалық және геометриялық мағанасын табуды.
- Жанама теңдеуін игеріп, оларды есептер шығарғанда қолдана алуға үйрендік .
Ол үшін нені білу керек?:
- Түзудің жалпы теңдеуін
- Түзулердің параллельдік жағдайын
- Туынды анықтамасын
- Туынды табу ережелерін.
Туынды табу ережелері қандай?
Біз өткен туындының негзгі формулаларын ата.
Туындының физикалық мағанасы деген не?
Туындының геометриялық мағанасы қандай?
Жанама теңдеуін жазып бер.
Жанама теңдеуін табу алгоритмін айтып бер.
- Есеп
Y = x 2 функциясына M(1; 1) нүктесінде жүргізілген жанама теңдеуі.
Шығарылуы:
2 есеп
у = Функция графигіне x=1 нүктесінде жүргізілген жанама
теңдеуін табыңыз. Жауабы: y = 2-x
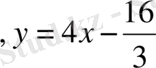
3 есеп
Y = 4x-5 Түзуіне параллель болатын y =
функциясының графигіне жүргізілген жанаманың теңдеуін жазыңдар.
Өзіндік жұмыс:
Оқулықпен жұмыс: Шыныбеков оқулығы бойынша.
№ 409 ауызша
№411; №412; №424 №430 (1)
Үйге тапсырма: №414; №420; №430 (2, 3)
Оқушыларды бағалау.
- Іс жүргізу
- Автоматтандыру, Техника
- Алғашқы әскери дайындық
- Астрономия
- Ауыл шаруашылығы
- Банк ісі
- Бизнесті бағалау
- Биология
- Бухгалтерлік іс
- Валеология
- Ветеринария
- География
- Геология, Геофизика, Геодезия
- Дін
- Ет, сүт, шарап өнімдері
- Жалпы тарих
- Жер кадастрі, Жылжымайтын мүлік
- Журналистика
- Информатика
- Кеден ісі
- Маркетинг
- Математика, Геометрия
- Медицина
- Мемлекеттік басқару
- Менеджмент
- Мұнай, Газ
- Мұрағат ісі
- Мәдениеттану
- ОБЖ (Основы безопасности жизнедеятельности)
- Педагогика
- Полиграфия
- Психология
- Салық
- Саясаттану
- Сақтандыру
- Сертификаттау, стандарттау
- Социология, Демография
- Спорт
- Статистика
- Тілтану, Филология
- Тарихи тұлғалар
- Тау-кен ісі
- Транспорт
- Туризм
- Физика
- Философия
- Халықаралық қатынастар
- Химия
- Экология, Қоршаған ортаны қорғау
- Экономика
- Экономикалық география
- Электротехника
- Қазақстан тарихы
- Қаржы
- Құрылыс
- Құқық, Криминалистика
- Әдебиет
- Өнер, музыка
- Өнеркәсіп, Өндіріс
Қазақ тілінде жазылған рефераттар, курстық жұмыстар, дипломдық жұмыстар бойынша біздің қор #1 болып табылады.

Ақпарат
Қосымша
Email: info@stud.kz