Конустың биіктігі табанының радиуысына тең

Жинақты құрастырушы М. Әуезов атындағы №2 орта жалпы білім беретін мектебінің математика пәнінің жоғары санатты мұғалімі Г. О. Шамелова
Алғысөз
Математика пәні бойынша құрастырылған есептер жинағы оқушыларды Ұлттық бірыңғай тестілеуге дайындауға көмек ретінде жасақталған. Ұсынылып отырған есептер мазмұны математикалық білімді меңгеруге, интеллектті дамытуға, ойлау сапасын арттыруға негізделген. Есептердің тақырып бойынша жинақталуы оқушылардың белгілі бір тақырыпты толығынан меңгеруін қамтамасыз етеді.
Гульбадан Оразаевна Шамелова
Өрнекті ықшамдаңдар
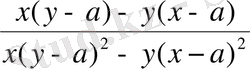
№1.
.
A) 4(a
2
- b
2
) . B)
. C) -3a
2
- 2b
2
. D)
. E) -7a
2
- b
2
.
№2
.
A)
B) x+3 C)
D) x-3 E)
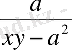
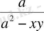
№3.
.
A)
. B)
. C) 0. D)
. E)
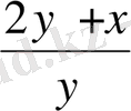
№4
.
A)
. B)
. C)
D) 3y2. E)
.
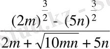
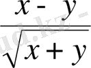
№5.
x2
, x ≥ 0.
A) 9x3. B) 9x. C) -3x3. D) 3x4. E) 3x3.
№6.
, мұнда а=−2
A) -8 B) -16 C) 16 D) -32 E) 32
№7.
.
A)
. B)
. C)
. D)
. E)
.
№8
.
-
.
A)
. B)
. C) -
. D)
. E)
.
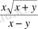
№9.
.
A)
x
- 3. B)
. C)
. D)
. E)
x
+ 3.
№10 . (-2ax 2 ) ⋅(-3bx 2 ) .
A) -6ab 2 x 4 . B) 16abx 3 . C) 6abx 4 . D) 6a 2 bx 3 . E) 8a 2 b 2 x 2 .
№11.
.
A) 6. B) 5. C) 7. D) 9
. E) 4
.
№12.
.
A)
. B) 5. C) x + 5. D) x2 + 25. E) -
.
№13.
.
A)
. B)
. C)
. D)
. E)
.
№14.
A)
B)
C)
D)
E)
№15 . (5, 75-0, 75) 0, 01
A) 0, 05 B) 0, 02 C) 500 D) 0, 5 E) 5
№16.
A) 9 B) 0 C) 18 D) 1, 8 E) 1
№17 . 42+log42.
A) 256. B) 18. C) 2. D)
. E) 32.
№18.
A) 1
. B) 2, 5. C) 1
. D) 1, 5. E)
.
№19
.
A)
B)
C)
D)
E)
№20
.
A) 11х+1 B) 11х-1 C)
D) х+1 E)
№21.
A)
. B)
. C) -
а
. D)
а
. E)
.
№22.
.
A) 4(x + 2) . B) x. C) 3(1 - x) . D) -1. E) 5x - 1.
№23.
.
A)
. B)
. C)
. D) -
. E)
.
№24.
A)
B)
C)
D)
E)
№25
.
A) 3bc B)
C)
D)
E)
№26. ( х 2 - 11) (11+х 2 )
A) 121-х 4 B) х 4 -121 C) х 4 -22х 2 -121 D) х 2 -22х -121 E) х 2 +22х 2 +121
№27 . 2, 8:0, 7-0, 63
A) 40 B) -0, 23 C) 4, 63 D) 3, 37 E) 4
№28
.
A) 32 B) -31, 86 C) -210, 6 D) 30 E) -30
№29.
A) 0, 4 B) 25 C) 4 D) 40 E) 6, 25
№30.
A)
B)
C)
D)
E)
№31.
A) 0, 68 B) 2 C) 0, 75 D) 0, 7 E) 1
№32.
A) 1, 8 B) 0 C) 1 D) 9E) 18
№33.
A) 11 B) 2 C) 26 D) 0, 11E) 1, 1
№34
.
A) 2, 5. B) 1
. C) 1, 5. D) 1
. E)
.
№35.
.
A) 0. B) 2(
+
) . C)
+ 1. D) -2. E)
.
№36
.
A) 1, 1 B) 3 C) 2, 9 D) 11, 9 E) 2
№37.
A) -5х
2
у B)
C)
D) х
2
у-3х
3
E) х
3
у+6х
3
№38.
A) 3x - 3. B) 3x + 1. C) 3x - 2. D) 3x + 4. E) 3x - 5.
№39 . (2x-3) (4x2+6x+9) + (x+3) (x2-3x+9) .
A) 9x3. B) x3 + 27. C) 3x(5x2 + 3x + 18) . D) 9x3 - 54. E) 8x3 - 27.
Өрнектің мәнін табыңдар
№1
.
ab
+
ab
- a
2
- b
2
, мұндағы a, в> 0
A)
(a - b) (a - 1) . B)
(a + b) (ab - 1) . C)
(a + b) (ab-1) .
D) 2
(a + b) . E)
(a - b) (ab + 1) .
№2
.
мұндағы
және
A) 5 B) -5 C) 3 D)
E)
№3.
, мұндағы y=1, 5
A) -12 B) 2 C) 4 D) 6, 75 E) -4
№4
.
мұнда х=97
A) 94 B) 94, 18 C) 940 D) 100 E) 10
№5.
х+2ху; мұнда х=3, у=
A) 2 B) -4 C) 6 D) -6 E) 4
№6.
, мұнда а=−2
A) 16 B) 32 C) -16 D) -32 E) -8
№7
. 1 - 6sіn2
⋅ cos2
.
A) -1. B)
. C)
. D)
. E)
.
№8
.
; мұнда s=100, v=10, t=2, 5
A)
B)
C)
D) 13 E)
№9. Өрнектер а-ның қандай мәнінде теңбе-тең болады.
және
A) х B) 0 C) -3 D) -6 E) 6
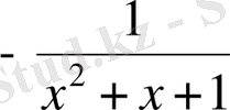
Бөлшекті бөліміндегі иррационалдықтан құтқару
№1.
A)
- 3. B) 2 -
. C)
(2 +
) . D) 2(2 -
) . E) 2(2 +
) .
№2
.
.
A)
. B)
. C)
. D)
. E)
.
№3
.
.
A) 2 -
. B)
(2 +
) . C)
- 3. D) 2(2 +
) . E) 2(2 -
) .
№4.
A) -(x+3) (2+
) . B) (x-3) (2+
) . C) (x+3) (2-
) . D) (x-3) (2-
) . E) (x+3) (2+
)
№5
.
.
A)
. B) 1. C) 3. D) 4(x + y) . E) x - y.
№6.
-
-
.
A)
. B)
. C)
. D)
. E)
.
Пайызға берілген есептер
№1. Квадраттың қабырғалары 25%-ке ұзартылған. Квадраттың ауданы қанша процентке көбейеді?
A) 52, 65%. B) 50%. C) 30%. D) 56, 25%. + E) 25%.
№2. 24 санының 25%-ін табыңыз.
A) 7 B) 8 C) 12 D) 4 E) 6
№3 . 72 санын 12, 5 % кемітіңіз.
A) 64, 8. B) 70, 2. C) 63. D) 11. E) 9.
№4. 56 санының 25% тап.
A) 22, 04 B) 25 C) 20 D) 14 E) 28
№5 . 65 санының 40% тап
A) 32, 5 B) 26 C) 40 D) 25 E) 16, 25
№6 . 60%-і 30-ға тең белгісіз санды табыңыз.
A) 18. B) 150. C) 100. D) 200. E) 50.
№7. Жүгі бар ұшақ 2640 кг. Ондағы жүк 990 кг. Жүктің массасы ұшақтың массасының неше проценті?
A) 60%. B) 37, 5%. C) 60, 5%. D) 62, 5%. E) 70%.
№8 . Май заводы күніне 500 ц сүт қабылдап, оның 59%-ін май дайындайтын цехқа жібереді. Онда қабылданылған сүттің 16%-індей май алынады. Завод күніне неше центнер май дайындайтынын табыңыз.
A) 47, 2 ц B) 29, 5 ц C) 472 ц D) 305 ц E) 295 ц
№9. Аэропортта 880 жолаушы ұшақ күтіп отыр. Олардың 35%-і еркектер. Әйелдер мен балалардың жалпы санының 75%-ін әйелдер құрайды. Аэропортта қанша әйел және қанша бала болғанын табыңыз?
A) 143 әйел, 429 бала. B) 429 әйел, 143 бала. C) 439 әйел, 133 бала; D) 572 әйел, 123 бала. E) 430 әйел, 140 бала.
№10 . Жұмысшы жалақысының 11 % - ін жұмсағаннан кейін 7120 теңге қалды. Оның алған жалақысы қанша?
A) 64700 тг. B) 2970 тг. C) 8000 теңге. D) 6336 тг. E) 783 тг.
Тригонометриялық өрнектерді ықшамдаңдар
№1.
.
A) tg4α. B) -tg3α. C) -tg4α. D) tgα. E) -ctgα.
№2. ( 1-sinα) (1+sinα)
а) cos2α B) (1-sinα) 2 C) 1-2sinα D) cos 2 α E) -cos 2 α
№3.
A) −tg 2 α B) -ctg 2 α C) tg 2 α D) -1 E) ctg 2 α
№4. cos 2 α- cos 4 α + sin 4 α
A) cos(1-cosα) ; B) sin 2 α C ) cos 2 α- cos2α; D) cos 2 α-1 E) cos 2 α
№5
.
- tg4α + 1
A) tg2α - tg4α + 1. B) 3. C) - 2tg4α + 1. D) 1. E) 0.
№6. (sіnα + cosα) 2 + (sіnα - cosα) 2 - 2.
A) -2sіn2α. B) 2sіn2α. C) -2cos2α. D) 2cos2α. E) 0.
№7 . cos105° - sіn195° + sіn(-135°) .
A) 0. B) -
. C)
. D) -
. E)
.
№8. tga, егер a = 135°.
A) -1. B)
. C) -
. D)
. E) 1.
№9. sіn105° cos15° + sіn15° sіn165° + tg225°.
A) -1. B) 0. C) 2. D) -2. E) 1.
№10.
A)
B)
C)
D)
E)
№11 . tg435° + tg375°
A) 6. B) 2. C) 4. D) 3. E)
.
№12.
sіn(arccos
) .
A)
. B)
. C)
. D) ±
. E) ±
.
№13.
A) sіnx⋅cosx. B)
. C) sіnx⋅cosx. D) sіnx⋅cosx. E) sіnx⋅cosx.
№14
. ctg
A)
. B)
. C) 1. D)
. E) -
.
№15 . tg1395°.
A)
. B)
. C) -1. D) 1. E) -
.
№16.
, егер α = -
.
A)
. B) -
. C) -
. D)
. E) 1.
№17.
arcsіn
.
A) 180°. B) 60°. C) 150°. D) 120°. E) -60°.
№18
. arctg
.
A) 120°. B) 180°. C) 30°. D) 150°. E) 60°.
№19.
A) -
. B) 1. C)
. D)
. E) -
.
№20. sіn(90° - α) - cos(180° - α) + tg(180° - α) - ctg(270° + α) .
A) cosα. B) -2cosα C) -cosα. D) sіnα. E) 2cosα.
№21.
.
A) ctg
. B) tg
2
. C) tg
. D) sіn
. E) ctgα.
№22.
A)
. B)
. C) -
. D) 1. E) -
.
№23.
A) cos(60°+
) B) sіn(30°+
) C) sіn(60°+
) D) cos(30°+
) E) cos
№24 . cos15°.
A)
. B)
. C)
. D)
. E)
№25.
arctg
.
A) 120°. B) 180°. C) 30°. D) 60°. E) 150°.
№26
. sіn
⋅cos
+ cos
⋅sіn
.
A) 0. B)
. C) -1. D) 1. E)
.
№27
. cosπ - 2sіn
.
A) -
. B)
. C) -2. D) 1 -
. E) 0.
№28
.
+ tga ctga.
A)
. B)
. C) sіna. D) -
. E)
.
№29.
A) −tg2α B) -1 C) ctg2α D) -ctg2α E) tg2α
№30.
A) 2tg3α. B) tg3α. C) tg2α. D) tg4α. E) 2tg2α.
№31. 1-sin2α-cos2α
A) -2sin2α B) 0 C) 2cos2α D) 2 E) 2cos2α
№32
.
A) ctg4α B) sіn4α C) tg4α D) cos4α E) tg6α
№33 . sin2α+cos2α+tg2α
A)
B)
C)
D)
E) 2
№34.
A) -1. B) 0. C) 2. D) 0, 5. E) 1.
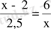
Теңдеулер
№1. 5 - 3(x - 2(x - 2(x - 2) ) ) = 2.
A) 3. B) 7. C) -4. D) 2, 2. E) 11.
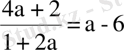
№ 2.
A)
B) 10. C)
№3 . 7 - (3, 1 - 0, 1y) = 3 - 0, 2y.
A) y = -3. B) y = 3. C) y = -0, 3. D) y = 1. E) y = 0, . 3.
№4 . (x + 4) 2 = 3x + 40
A) -3; 8 B) -6; 16 C) -16; 6 D) 3 E) -8; 3
№5. 13-100х=0
A) 13 B)
C)
D)
E)
№6. 39, 7х+0, 5х+43, 5=-36, 9
A) 2 B) -3 C) -2 D) -4 E) 4
№7
.
A) 2; 1. B) 5; 3. C) -3; 5. D) -5; 3. E) -5; -3
№8.
.
A) {8, 1; 16}. B) {9, 2; 14}. C) {7, 4; 8}. D) {5; 6, 3}. E) {5, 4; 12}.
№9.
A) -
B) -32. C)
D)
E) 10.
№10 . 13-100х=0
A) 13 B)
C)
D)
E)
№11. 0, 7х 2 -х 3 =0
A)
B)
C)
D)
E)
№12
.
A)
B) 10. C)
D) -32. E) -
№13
.
A)
B) 10. C)
D) -32. E) -
.
№14 . 39, 7х+0, 5х+43, 5=-36, 9
A) 2 B) -3 C) -2 D) -4 E) 4
№15 . 2х 2 -7х+5=0
A) (2, 5; 1) B) (1, 5; 4) C) (2; 6) D) (2; 5) E) (3; 3)
№16 . 2х 2 -7х+5=0
A) (1, 5; 4) B) (2; 6) C) (2; 5) D) (3; 3) E) (2, 5; 1)
№17.
= 27.
A) 11. B) 9. C) 10. D) -6. E) 6.
№18. 39, 7х+0, 5х+43, 5=-36, 9
A) -4 B) -2 C) 2 D) -3 E) 4
№19. 5x 2 -18x=0
A) -3, 6; 0 B) 0; -13 C) 0; 3, 6 D) 0; 4 E) 13; 3, 6
№20 . 6(х+5) =-18
A) -2 B) 8 C) 3 D) -8 E) 2
№21
.
A) {10}. B)
. C) {
; - 10}. D) {-
; 10}. E) {10;
}.
№22 . 2x2⋅5x2=0, 001⋅(103-x) 2.
A) 1; 6. B) 6; 4. C) 0; 5. D) 1; -3. E) -3; 2.
№23. 6(х+5) =-18
а) 3 B) 2 C) 8 D) -2 E) -8
№24 . 2, 5(x - 3) = 0, 5(x - 7)
A) 2. B)
C)
D)
E) -1.
№25 . 13-100х=0
A)
B)
C) 13 D)
E)
№26. х 4 -16=0
A) х=-2; х=2B) х=4 C) х=-4; х=4 D) х=2; х=4 E) х=2
№27
.
A) 2; 1. B) 5; 3. C) -3; 5. D) -5; 3. E) -5; -3.
№28
.
.
A) {8, 1; 16}. B) {9, 2; 14}. C) {7, 4; 8}. D) {5; 6, 3}. E) {5, 4; 12}.
№29. 0, 7х 2 -х 3 =0
A)
B)
C)
D)
E)
№30
.
A) -
B) -32. C)
D)
E) 10.
№31.
.
A) {2
}. B) {7, 8}. C) х - кез келген нақты сан, х ≠
. D) {5}. E) {-6, 5}.
№32
.
A)
B)
C)
D)
E)
№33
.
A) 5. B) 3, 5. C) -3, 5. D) -2, 5 E) 2, 5.
№34 . 6x 2 - 28 x = -32
A)
. B)
C) {-8; -2}. D) {2; 8}. E)
.
№35 . 2x - 4 ⋅ 3x - 3 = 3.
A) 4, 5. B) 4. C) 6. D) 5, 5. E) 5.
36.
A) 6, 26. B) 4, 26. C) 5, 25. D) 4, 25. E) 5, 26.
№37.
+ x
= 0, 8 + 3x
A) -
. B) 0, 05(
+ 3) . C)
. D) -
E)
№38 . 3x 2 + 27 = 0.
A) {-1; -2}. B) {-3; 2}. C) {0; 5}. D) {Шешімі жоқ}. E) {-2; 1}.
№39.
A)
. B) {8}. C )
. D) {-
; 8}. E) {-8;
}.
№40
.
x
+
- 3 = 0.
A) {-5}. B) {2}. C) {17}. D) {5}. E) {8}.
№41.
A) 0 B) -1; 0 C) 0; 2 D) -1 E) 0; 1
№42.
A)
B)
C) 2, 5 D) 3, 5 E)
№43.
= -2, 5.
A) {2; -3}. B) {-1}. C) {-2; 3}. D) {1; 1}. E)
№44.
A)
B)
C)
D)
E)
№45.
A) 3 B) 0 C)
D) -
E) -3; 3
№46
.
= 0.
A) Түбірі жоқ. B) {3
}. C) {0, 5}. D) {-5, 6}. E) {2}.
№47. І x - 1 + x - 3 = 2.
A) {2; 5}. B) {-1; -3}. C) {5, 6; 7, 8}. D) {-2; -1}. E) {1; 3}.
№48. 2, 5(x - 3) = 0, 5(x - 7)
A)
B)
C) -1 D) 2. E)
№49 . 2x 6 = 32x 4
A) {-4; 0; 4}. B) {-
; 0;
}. C) {-4; 4}. D) {-2; 0; 2}. E) {0; 16}.
№50.
A)
B) 10. C)
D) -32. E) -
№51. 4 ⋅ 3x + 2 + 5 ⋅ 3x - 7 ⋅ 3x + 1 = 20.
A) -2. B) 0. C) -1. D) 2. E) 1.
№52 . x - 1 + x - 2 + x - 3 = 2.
A) {2}. B) {5}. C) {-3}. D) {2, 5}. E) {3
}.
№53.
= 27.
A) 10. B) 6. C) -6. D) 11. E) 9.
№54. 2x(х+1) +х+1=0
A) -1 B) -2;
C) -1;
D) -2 E) -
№55. х 2 +2х-48=0
A) (12; 16) B) (6; 8) C) (-6; -8) D) (6; -8) E) (-6; 8)
№56
.
A) -
B) 10. C)
D)
E) -32.
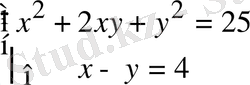
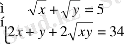
Теңдеулер жүйесі
№1.
A)
B)
C) (0; 0) D)
E) шешімі жоқ
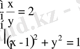
№2
.
A) (-1; -1) ; B) шешімі жоқ; C) (-4; -2), (4; 2) ; D) (-4; -2), (-4; 2), (4; -2), (4; 2) ; E) (0; 0)
№3.
A) (0; 3),
B) (3; 0),
C) (0; -3),
D) (-3; 3), (0; 0) E) (3; 0),
№4.
A) шешімі жоқ B) (-0, 5; -4, 5), (4, 5; 0, 5) C) (-1; 0), (4; 1) D) (0; 4), (1; -4) E) (4; 1)
№5.
A) (-4; 9), (0; 5) B) (0; 7), (4; 9) C) (2; 7), (8; 0) D) (5; 0), (9; -4) E) (1; 9), (3; 5)
№6.
.
A) (-2; 1), (-1; 2) . B) (2; -1), (-1; 1) . C) (2; 1), (-1; -2) . D) (2; 3), (3; 2) . E) (-1; 3), (1; -1) .
№7.
A) (5; 5), (-5; -5), (-5; 5), (5; -5) B) (0; 0) C) (5; 5) D) шешімі жоқ E) (5; 5), (-5; -5)
№8
.
A) (1; 0) B) (9; 4) . C) (4; 2) . D) (6; 34) . E) (7; 14) .
№9
.
A) (4; 3) ; (4; -3) B) (4; -3) C) (4; 3) D) (3; -3) E) (3; -3) ; (4; -4)
№10
.
A) (0; -1), (
B) (0; 0), (
) C) (1; 1), (0;
D) (1; 1), (-
E) (2; 2), (
)
№11
.
A) (4; 1) B) (4; 4) ; (1; 1) C) (4; 1) ; (1; 4) D) (1; 4) E) (4; 4)
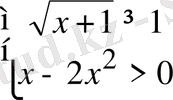
Теңсіздіктер
№1. (5x + 7) (8 - x) > 0.
A) (-7; 8) . B) (-1, 4; 8) . C) (8; +∞) . D) (-8; 1, 4) . E) (-∞; 8) .
№2 . (x + 13) (x - 7) 2 (x - 15) > 0.
A) (-13; 15) . B) (-∞; -13) . C) (15; +∞) . D) (-13; 7) ∪ (15; +∞) . E) (-∞; -13) ∪ (15; +∞) .
№3 . -3x> -9.
A) (-∞; 3) . B) (3; ∞) . C) (-1; -3) . D) (0; 3) . E) (-3; ∞) .
№4. (x+2) (x-1) (x-3) > 0.
A) (-2; 1) ∪(3; ∞) . B) (1; 8) ∪(0; 3) . C) (6; 4) ∪(1; 3) . D) (3; 5) ∪(3; 5) . E) (1; 6) ∪(1; 2) .
№5.
.
A) x < 4. B) x < 1. C) x > 2. D) 0 < x < 4. E) x > 4.
№6
.
.
A) (-∞; -2) ∪(2; +∞) . B) (2; +∞) . C) (-∞; -2) . D) (0; +∞) . E) (-2; 2) .
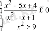
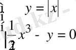
Теңсіздіктер жүйесі
№1.
A) (-2; 3) . B) [-2; +∞) . C) (-∞; 3] . D) (-∞; -2) . E) [-2; 3] .
№2.
A) (-∞; -4) . B) (-4; -2] . C) (-4; +∞) . D) (-∞; -2] . E) (-2; 4) .
№3.
А) [-3; 3] . B) (-3; 3) . C) [0; 3) . D) (0; 3) . E) (0; 3] .
№4.
A) шешімі жоқ B) (0;
) C) (2; 4) D) (0; 4) E)
№5.
A)
. B)
. C)
. D)
. E)
№6.
A) (-1; 1) ; (2; 0) . B) (0; 2) ; (1; 1) . C) (1; 1) . D) (2; 0) E) (1; 1) ; (1; -1) .
№7
.
A) (0, 3; 0, 6) . B) (1, 6; 0, 8) . C) (0, 5; 1) . D) (1; 2) . E) (0, 2; 0, 4) .
№8.
болса,
неге тең болады?
A)
. B)
. C)
. D)
. E)
.
№9.
A) (10; -5) B) (5; -3) C) (0; -5) D) (10; 5) E) (2; 5)
№10.
A)
B) шешімі жоқ C)
D)
E)
№11.
.
A) (3; 5) . B) (-3; 5] . C) [-3; 5) . D) (-∞; -3) . E) [-3; 5] .
Тізбекке берілген есептер
№1 .
а
= 2
п
+ 3 тізбегінің алғашқы үш мүшесін табыңыз:
A) 1; 3; 5; B) 4; 6; 8; C) 5; 7; 9; D) 5; 8; 8; E) 1; 4; 6;
№2
.
а
=
тізбегінің алғашқы бес мүшесін табыңыз:
A) 4; 6; 8; 10; 12; B)
; 1;
; 2;
; C) 2; 5; 7; 9; 12; D)
;
;
;
;
; E) 2; 4; 6; 8; 10;
№3. в п = п 2 - п. тізбектің жетінші мүшесін табыңыз:
A) 42 B) 49 C) 47 D) 51 E) 50
№ 4 . а п = п 2 тізбектің алғашқа бес мүшесін табыңыз:
A) 2; 5; 8; 10; 12 B) 1; 4; 9; 16; 25 C) 1; 3; 5; 7; 9 D) 2; 4; 6; 8; 10 E) 5; 4; 3; 2; 1
№5
. а
n
=
тізбегінің алғашқы үш мүшесін табыңыз:
A) 0; 1; 2 B)
; 1 C) 1; 2; 3 D) 2; 3; 4 E) -
0;
№. 6
. а
n
=
тізбектің алғашқы бес мүшесін табыңыз:
A) 1; 1; 1; 1; 1 B) -1; 1; -1; 1; -1 C) 0; 0; 0; 0; 0 D) 1; 2; 3; 4; 5 E) -1; -1; -1; -1; -1
№7 . Егер х 1 = 1 , х п+1 = 3 - х п тең болса, тізбегінің алғашқы үш мүшесін табыңыз:
A) 1; 2; 1 B) 1; 2; 3 C) 3; 4; 5 D) 2; 1; 3 E) 2; 1; 2
№8. Егер в 1 = 10, в п+1 = в п +3 болса, { в п } тізбегінің төртінші мүшесін табыңыз:
A) 18 B) 19 C) 15 D) 17 E) 20
№9 . Егер в 1 = 1, в 2 = 3 болса, в п+1 = в п + в п-1 формуласымен берілген тізбектің бесінші мүшесін табыңыз:
A) 10 B) 11 C) 8 D) 9 E) 12
№10 . Егер а 1 = 1, а п+1 = а п + 1 болса, { а п } тізбекінің алтыншы мүшесін табыңыз:
A) 5 B) 11 C) 10 D) 8 E) 6
№11 . х 1 = 1, х п+1 = 3 - 2х п тізбегінің алғашқы үш мүшесін тап.
A) 2; 2; 2 B) 0; 0; 0 C) 3; 1; 3 D) 1; 1; 1 E) 1; 2; 1
№12 . x n =3n+1 тізбегінің алғашқы бес мүшесін көрсетіңіз:
A) 0, 4, 7, 10, 13 B) 4, 7, 10, 13, 16 C) 5, 7, 10, 13, 16
D) 6, 7, 10, 13, 16 E) 1, 7, 10, 13, 16
№13 . x n =2n+1 тізбегінің алғашқы бес мүшесін көрсетіңіз:
A) 3, 5, 7, 9, 11 B) 0, 3, 5, 7, 9
C) 4, 3, 5, 7, 9 D) 1, 5, 7, 9, 11 E) 2, 5, 7, 9, 11
№14. x n =n+5 тізбегінің алғашқы төрт мүшесін көрсетіңіз:
A) 6, 7, 8, 9 B) 5, 7, 8, 9 C) 4, 7, 8, 9 D) 2, 7, 8, 9 E) 3, 7, 8, 9
№15 . x n =n+1 тізбегінің алғашқы төрт мүшесін көрсетіңіз:
A) 1, 2, 3, 4 B) 3, 4, 5, 6 C) 2, 3, 4, 5 D) 3, 4, 5, 6 E) 0, 1, 2, 3
№16
. x
n
=
тізбегінің алғашқы төрт мүшесін табыңыз:
A)
B)
C)
D)
E)
№17. X n =2+3 n тізбегінің алғашқы төрт мүшесін табыңыз:
A) 5, 12, 29, 83 B) 6, 11, 29, 83 C) 6, 11, 30, 83 D) 5, 11, 29, 83 E) 5, 13, 29, 83
№18 . x n =n 2 +1 тізбегінің алғашқы бес мүшесін табыңыз:
A) 4, 5, 11, 17 B) 3, 5, 10, 17 C) 2, 5, 10, 17 D) 1, 5, 10, 17 E) 0, 5, 10, 17
№19. b n =n 2 -n тізбегінің алғашқы төрт мүшесін табыңыз:
A) 0, 3, 6, 12 B) 0, 2, 6, 12
C) 1, 3, 6, 12 D) 1, 4, 6, 12 E) 0, 2, 8, 12
№20. Әрбір келесі мүшесі алдыңғы мүшесінен 10-ға артық тізбектің формуласын жазыңыз:
A) x n-1 =x n +10 B) x n+1 =x n -10 C) x n-3 =x n +10
D) x n+1 =x n +10 E) x n+2 =x n +10
№21. Әрбір мүшесі өзінің алдыңғы мүшесінен 3-ке кем болып келген тізбектің формуласын жазыңыз:
A) x n+1 = -x n -3 B) x n+1 =x n +3 C) x n-1 =x n +1
D) x n+1 =x n -2 E) x n+1 =x n -3
Арифметикалық прогрессия
№1 . Арифметикалық прогрессияда а 1 = 2, d = 5 болса, оның алғашқы бес мүшесін табыңыз:
A) 2; 7; 12; 17; 22 B) 5; 10; 15; 20; 25 C) 1; 6; 11; 16; 21 D) 0; 5; 10; 15; 20 E) 3; 8; 13; 18; 23
№2 . Арифметикалық прогрессияда а 1 = -3, d = -2 болса, оның сегізінші мүшесін табыңыз:
A) -15 B) -16 C) -17 D) -20 E) -18
№3. Арифметикалық прогрессияда а 4 = 4, d = -3 болса, оның он бірінші мүшесін табыңыз:
A) -19 B) -20 C) -16 D) -18 E) -17
№4. Арифметикалық прогрессияда d = 1, 5, а 9 = 12 болса, оның бірінші мүшесін табыңыз:
A) 24 B) 4 C) 1 D) 0 E) 10
№5. 21, 18, 15… арифметикалық прогрессиясының сегізінші мүшесін табыңыз:
A) 1 B) 3 C) 0 D) -3 E) 2
№6. 8; 6, 5; 5… арифметикалық прогрессиясының жетінші мүшесін табыңыз:
A) 2 B) 1, 5 C) 0 D) 1 E) -1
№7 . егер а 7 = -5, а 32 = 70 тең болса, а 1 және d мәндері
A) -21; 3 B) - 23; 3 C) 23; 2 D) -21; 2 E) 23; 3
№8. Барлық екі таңбалы сандар қосындысы
A) 4805 B) 4850 C) 4905 D) 4950 E) 5050
№9. 7 -ге қалдықсыз бөлінетін екі таңбалы сандар саны
A) 9 B) 10 C) 13 D) 12 E) 11
№10. 6-ға қалдықсыз бөлінетін екі таңбалы сандар саны
A) 14 B) 13 C) 16 D) 15 E) 12
№11. а 2 + а 9 = 20 арифметикалық прогрессиясының а 5 = 9 тең болса, алғашқы он мүшесінің қосындысын табыңыз:
A) 100 B) 101 C) 90 D) 99 E) 110
№12. a n =4n+9 тізбегінің алғашқы он сегіз мүшесінің қосындысын табыңыз:
A) 732 B) 846 C) 768 D) 934 E) 874
№13 . Егер а 6 + а 9 + а 12 + а 15 = 20 болса, арифметикалық прогрессиясының алғашқы жиырмасыншы мүшесінің қосындысын табыңыз.
A) 10 B) 20 C) 50 D) 100 E) 110
№14. Егер S 4 = -28, S 6 = 58 тең болса, S 16 мәні
A) S 16 =1480 B) S 16 = 1588 C) S 16 = 1688 D) S 16 = 1489 E) S 16 = 1488
№15. Егер а 5 =8, 7 және а 8 =12, 3 болса, d және а 1 -ді табыңыз:
A) d=1, 6, a 1 =2, 3 B) d=3, 6, a 1 = -5, 7 C) d=1, 2, a 1 =3, 9 D) d=1, 4, a 1 =3, 1 E) d=1, 3, a 1 =2, 9
№16 . Арифметикалық прогрессияда а 3 =7, 5, а 7 =14, 3 болса, d мен а 1 -ді мүшесін табыңыз:
A) d=6, 8, a 1 = -6, 1 B) d=3, 4, a 1 =0, 7 C) d=1, 7, a 1 =4, 1 D) d=1, 4, a 1 =4, 7 E) d=1, 6, a 1 =4, 7
№17. Арифметикалық прогрессияда а 1 = -7, 3 және а 2 = -6, 4 болса, 26 саны тізбектің несінші мүшесі болады?
A) n=39 B) n=38 C) n=27 D) n=28 E) n=30
№18. Арифметикалық прогрессияда а 1 = -5, 6 және а 2 = -4, 8 болса, 16 саны тізбектің несінші мүшесі болады?
A) n=14 B) n=27 C) n=13 D) n=28 E) n=30
№19. Арифметикалық прогрессияда а 1 =3, d=2 болса, оның алғашқы бес мүшесін көрсетіңіз.
A) 4, 5, 7, 9, 11 B) 3, 5, 7, 9, 11 C) 3, 6, 7, 9, 11 D) 3, 6, 8, 9, 11 E) 3, 5, 7, 9, 12
№20. Арифметикалық прогрессияда а 1 =1, d=3 болса, оның жетінші мүшесін табыңыз:
A) 9 B) 29 C) 39 D) 19 E) 49
№21. Арифметикалық прогрессияда а 1 =2, d=5 болса, оның алтыншы мүшесін табыңыз.
A) 17 B) 27 C) 20 D) 37 E) 47
№22. а n =6n+2 тізбектің алғашқы он алты мүшесінің қосындысын табыңыз:
A) 864 B) 848 C) 792 D) 716 E) 784
№23. Барлық 2-ден 98 санына дейінгі натураль сандарының қосындысы
A) 4850 B) 4750 C) 4950 D) 4805 E) 4705
Геометриялық прогрессия
№1 . Егер в 2 = 3, в 5 = 81 болса, геометриялық прогрессияның бірінші мүшесін табыңыз:
A) 0 B) -1 C) 2 д) 1 E) -2
№2 . Егер в 1 = -2, в 6 = - 486 тең болса, геометриялық прогрессияның алғашқы алты мүшесінің қосындысын табыңыз:
A) -728 B) -729 C) -828 D) 728 E) 828
№3
. Егер
в
1
= 4,
q
=
тең болса, геометриялық прогрессияның жетінші мүшесін табыңыз:
A) 8 B)
C) 32 D) 16 Е)
№4 . Геометриялық прогрессия берілген: 2; 6; 18 … Оның сегізінші мүшесін табыңыз:
A) 2376 B) 4474 C) 2476 D) 4374 E) 2378
№5 . Геометриялық прогрессияда: 3; -6; … болса, оның алғашқы алты мүшесінің қосындысын табыңыз:
A) -61 B) -63 C) -126 D) 63 E) 126
№6. Геометриялық прогрессияда: в 1 = -4, q = 3 болса, оның алғашқы жеті мүшесінің қосындысын табыңыз:
A) - 4372 B) - 4378 C) - 4272 D) - 4376 E) - 4278
№7
. Егер
S
8
=
;
q
= 2 тең болса, геометриялық прогрессиясының бірінші мүшесін табыңыз:
A) 192 B)
C)
D) 64 E)
№8 . Геометриялық прогрессияда: в 4 =5, в 6 = 20 болса, оның бірінші және бесінші мүшесінің табыңыз:
A) 6; 30
; B) -6; -30
; C) 10;
; н/е -10; -
; D) 6; 8; н/е -6; -8; E) 5; 30.
№9. 2, 6, 18… геометриялық прогрессия берілген. 162 саны тізбектің несінші мүшесі
A) 4 B) 6 C) 2 D) 8 E) 5
№10. Геометриялық прогрессияда: в 5 = -6, в 7 = -54 болса, оның алғашқы алты мүшесінің қосындысын табыңыз:
A) -
;
B) -62; 13 C) -80; 16 D) -
; -
E) -38
№11. Геометриялық прогрессияда: q = 2, S 7 = 635 болса, осы прогрессияның алтыншы мүшесін табыңыз:
A) 320 B) 80 C) 640 D) 560 E) 160
№12. в 1 = 2, S 3 = 26 өспелі геометриялық прогрессиясының төртінші мүшесін табыңыз:
A) 32 B) 56 C) 162 D) 48 E) 54
№13.
Геометриялық прогрессияда: b
1
=
болса, прогрессияның алтыншы мүшесі
A)
B)
C)
D)
E)
№14. Геометриялық прогрессияда: 10, 20, 40… болса, осы прогрессияның алғашқы он мүшесінің қосындысы
A) 10230 B) 10232 C) 10231 D) 10235 E) 10233
№15. Геометриялық прогрессияда: в 3 = 4, в 4 = 8 болса, осы прогрессияның алғашқы бес мүшесі
A) 2; 4; 6; 8; 10 B) 1; 2; 4; 8; 16 C) 1; 3; 5; 7; 9 D) 2; 5; 8; 11; 14 E) 1; 2; -2; -1; 0
№16. Геометриялық прогрессияда: в 2 - в 1 = -4, в 3 - в 1 = 8 болса, осы прогрессияның алғашқы бес мүшесінің қосындысы
A) 2 B) 0 C) -20 D) 30 E) 61
№17
. Есептеңіз:
A) 3 10 B) 3 C) 3 2 D) 0, 5 E) 0
№18.
Геометриялық прогрессияда: b
1
= -
; b
2
=
болса, осы прогрессияның бесінші мүшесі
A) 13
B) 40, 5 C) -13, 5 D) -
E)
№19 . Геометриялық прогрессияда: S 2 = 4 и S 3 = 13 болса, S 5 , мәні
A) 121 B)
C) 16; 121 D) 121 и 18 E) 121 и
№20. Геометриялық прогрессияда: в 1 = 12, S 3 = 372 болса, в 3 және q мәндері
A) q = 5, в 3 = 240 ; B) q = 5, в 3 = 300; немесе q = -6, в 3 = 432
C) q = -6, в 3 = 441; D) q = 5, в 3 = 200; немесе q = -6, в 3 = 432
E) q = 5, в 3 = 300;
№21 . Геометриялық прогрессияда: b 1 =2, q=3 болса, b 5 -ті табыңыз:
A) 160 B) 162 C) 163 D) 260 E) 161
- Іс жүргізу
- Автоматтандыру, Техника
- Алғашқы әскери дайындық
- Астрономия
- Ауыл шаруашылығы
- Банк ісі
- Бизнесті бағалау
- Биология
- Бухгалтерлік іс
- Валеология
- Ветеринария
- География
- Геология, Геофизика, Геодезия
- Дін
- Ет, сүт, шарап өнімдері
- Жалпы тарих
- Жер кадастрі, Жылжымайтын мүлік
- Журналистика
- Информатика
- Кеден ісі
- Маркетинг
- Математика, Геометрия
- Медицина
- Мемлекеттік басқару
- Менеджмент
- Мұнай, Газ
- Мұрағат ісі
- Мәдениеттану
- ОБЖ (Основы безопасности жизнедеятельности)
- Педагогика
- Полиграфия
- Психология
- Салық
- Саясаттану
- Сақтандыру
- Сертификаттау, стандарттау
- Социология, Демография
- Спорт
- Статистика
- Тілтану, Филология
- Тарихи тұлғалар
- Тау-кен ісі
- Транспорт
- Туризм
- Физика
- Философия
- Халықаралық қатынастар
- Химия
- Экология, Қоршаған ортаны қорғау
- Экономика
- Экономикалық география
- Электротехника
- Қазақстан тарихы
- Қаржы
- Құрылыс
- Құқық, Криминалистика
- Әдебиет
- Өнер, музыка
- Өнеркәсіп, Өндіріс
Қазақ тілінде жазылған рефераттар, курстық жұмыстар, дипломдық жұмыстар бойынша біздің қор #1 болып табылады.

Ақпарат
Қосымша
Email: info@stud.kz