Герон формуласын тригонометрия тәсілімендәлелдеу

ҚАЗАҚСТАН РЕСПУБЛИКАСЫ БІЛІМ ЖӘНЕ ҒЫЛЫМ МИНИСТРЛІГІ
М. Әуезов атындағы
Оңтүстік Қазақстан Мемлекеттік Университеті
Тақырыбы: Герон формуласын дәлелдеу тәсілдері
Орындаған: №64 Ж. Аймауытов атындағы
мектеп- гимназияның
9 «А» сынып оқушысы
Даулетбай Бекарыс;
Пән мұғалімі: ЫдырысбаеваГ. Ш.
Шымкент 2013
Жоспар:
I. Кіріспе
II. Негізгі бөлім
а) Герон формуласын тригонометрия тәсілімендәлелдеу
ә) Герон формуласын Пифагор теоремасы арқылы дәлелдеу
б) Герон формуласынан нені шығаруғаболады?
III. Қорытынды
I. Кіріспе
Александриялық Герон- қай- қайсымызға мектеп математикасынан белгілі, атақты «Герон формуласының» авторы. Ол біздің заманымыздың
I ғасырында өмір сүрген көрнекті энцеклопедист- математик. Герон Александрияда ұстаздық қызмет атқарған. Ол математикамен қатар, физика, астрономия, әсіресе механикамен көп шұғылданған. Сондықтан замандастары оны «Герон- механик» деп те атаған. Герон сығылған ауа және будың күшімен қозғалысқа келетін сан алуан тамаша механизмдер мен практикалық өлшеу аспаптарын жасаған. Геронның «Диоптрика», «Пневматика» атты шығармалары осыған арналған. Герон өз еңбектерін инженерлер, архитекторлар мен әр түрлі қолөнершілерге арнап жазған. Ол есептеу математикасы бойынша бірсыпыра жетістіктерге жетеді; геометриялық алгебра жәрдемімен шешілетін есептерге сандық мән беріп, оны практика мұқтаждығына лайықтаған. Математикалық таза теориялық мәселелері бойынша Евклидтің «Бастамаларына» түсініктеме жазып қалдырған.
Геронның математикалық шығармалары негізінен ежелгі практикалық математиканың энцеклопедиясы болып табылады. Мұнда математиканың қолданылуы Евклидтің, Архимедтің тағы басқа ғалымдардың зерттеулеріндегі сияқты күңгірттенбей, айқын да анық сипатта көрінеді.
Бізге Геронның «Метрика» және «Геометрия» деп аталатын тракаттары келіп жетті. «Метрика»- өлшеулер туралы ілім- үш кітаптан тұрады. Бірінші кітапта аудандар мен беттерді өлшеу ережелері келтірілген. Мұнда әр түрлі қабырғалары арқылы үшбұрыштың ауданын табуға арналған Герон формуласы
берілген. Герон бұл формуланы үшбұрышқа іштей сызылған шеңбер арқалы дәлелдейді. Араб жазбаларында бұл формуланы Героннан көп бұрын Архимедке мәлім болған жайында дерек бар.
Герон бұл формуланы қолдануды сандық мысалдармен түсіндіреді. Бұл тұрғыда айта кететін бір жайт, ол тек бүтін рационал сандармен шектелмей, түбір астындағы иррационал сандарды да қарастырады.
Геронның бұл еңбегінде дұрыс емес жазық фигуралардың беттердің аудандарын және әр түрлі көлем табу әдістері және басқа бірсыпыра практикалық геометрия мәселелері қамтылған.
II. Негізгі бөлім
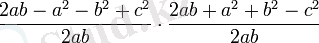
- Герон формуласын тригонометрия тәсілімен дәлелдеу
,
мұндағы
-
қарамақарсықабырғасы
. :
Сондықтан:
Демек,
.
екендігінескерсе,
,
,
, яғни:
Осылайша,
Теорема дәлелденді.
- Герон формуласынан нені шығаруға болады?
Иррационал сандар үшін Герон формуласын шығарудың оңай жолы:
Сонымен,
Тік бұрышты үшбұрыш үшін:
тік бұрышты үшбұрыштың ауданын оның катеттері арқылы табу.
Тең бүйірлі үшбұрыш үшін:
Тең қабырғалы үшбұрыш үшін:
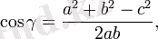
Косинустар теоремасы бойынша:
Осылайша, біз Герон формуласының үшбұрыштың ауданын табуға арналған әр түрлі формулалармен байланыстығын таптық.
Есеп шығару мысалдары:
№1 есеп
Катеттері 6 және 8 болатын тікбұрышты үшбұрыш ауданын тап.
№2 есеп
a=13, b=14, c=15 болса, онда үшбұрыштың ауданы қанша болғаны?
III. Қорытынды
Үшбұрыш ауданын үш қабырғасы бойынша есептеу формуласын Архимед (III ғ. б з. б. ) ашқан. Бірақ оның бұл еңбегі бізге жеткен жоқ. Бұл формула Герон Александрийскийдің «Метрикасында» болған (I ғ. б. з. ) және соның атымен аталып кеткен. Герон қабырғалары бүтін сан, сонымен қатар аудандары да бүтін үшбұрыштарды зерттеген. Мұндай үшбұрыштар герон үшбұрыштары деп аталады. Герондық ең қарапайым үшбұрыш - мысырлық үшбұрыш.
Мен бұл жұмысымда Геронформуласын дәлелдеудің екі жолын көрсеттім. Герон формуласының шығу тарихы мен оның үшбұрыштың ауданын табуға арналған әр түрлі формулалармен байланыстығын таптым. Герон формуласына мысал есеп келтіріп, сөзжұмбақ құрдым. Тік бұрышты, тең бүйірлі және тең қабырғалы үшбұрыштардың ауданын табудың оңай жолын көрсеттім. Мен бұл жұмысты одан ары қарай жалғастыруға болатындығын айтқым келеді.
Пайдаланған әдебиеттер:
- А. В. Погореров. 7-11 сынып геометрия оқулығы.
- А. Көбесов. Математика тарихы оқулығы.
- А. Д. Александров 8-9 сыныпқаарналғаноқулық.
- Кот, В. И. Как одолеть олимпиадные задачи по математике: Пособие для учителей общеобразовательной школы/В. И. Кот - Мн. : «Бестпринт», 2002. - 400 с.
- Іс жүргізу
- Автоматтандыру, Техника
- Алғашқы әскери дайындық
- Астрономия
- Ауыл шаруашылығы
- Банк ісі
- Бизнесті бағалау
- Биология
- Бухгалтерлік іс
- Валеология
- Ветеринария
- География
- Геология, Геофизика, Геодезия
- Дін
- Ет, сүт, шарап өнімдері
- Жалпы тарих
- Жер кадастрі, Жылжымайтын мүлік
- Журналистика
- Информатика
- Кеден ісі
- Маркетинг
- Математика, Геометрия
- Медицина
- Мемлекеттік басқару
- Менеджмент
- Мұнай, Газ
- Мұрағат ісі
- Мәдениеттану
- ОБЖ (Основы безопасности жизнедеятельности)
- Педагогика
- Полиграфия
- Психология
- Салық
- Саясаттану
- Сақтандыру
- Сертификаттау, стандарттау
- Социология, Демография
- Спорт
- Статистика
- Тілтану, Филология
- Тарихи тұлғалар
- Тау-кен ісі
- Транспорт
- Туризм
- Физика
- Философия
- Халықаралық қатынастар
- Химия
- Экология, Қоршаған ортаны қорғау
- Экономика
- Экономикалық география
- Электротехника
- Қазақстан тарихы
- Қаржы
- Құрылыс
- Құқық, Криминалистика
- Әдебиет
- Өнер, музыка
- Өнеркәсіп, Өндіріс
Қазақ тілінде жазылған рефераттар, курстық жұмыстар, дипломдық жұмыстар бойынша біздің қор #1 болып табылады.

Ақпарат
Қосымша
Email: info@stud.kz