Цилиндр призмаға сырттай сызылғандықтан, призманың биіктігі цилиндрдің биіктігіне тең

ҰЛТТЫҚ БІРЫҢҒАЙ ТЕСТІЛЕУДЕГІ СТЕРЕОМЕТРИЯ ЕСЕПТЕРІ
ҰБТ-де стереометрия есептері негізінен пирамидаға, призмаға, конус пен цилиндрге және түзу мен жазықтық, жазықтық пен жазықтық арасындағы бұрыштарды, сонымен қатар аудан мен көлемді есептеуге беріледі. Мұндай есептерді шығару үшін стереометрия формулаларын білумен қатар, сызбаны дұрыс сала білу керек.
Орта деңгейдегі есептерді шығару-бір-екі стереометриялық фактілер мен белгілі формулаларды қолданып шығаруға әкеледі. Сондықтан есепті ойымызға алғаш келген шығару тәсілінен гөрі, азғантай уақыт ойланып, есептің басқа қарапайым жеңіл әдісін табуға назар аудару керек. Ондай әдіс әрине, табылады!
Есептің шешімін іздестіруде бағыт-бағдар беруге көмектесетін планиметрия мен стереометрияға қатысты бірқатар пайдалы фактілерді тізбектейік және оларды тұжырымдар түрінде берейік.
1-тұжырым. Егер пирамиданың барлық жақтары табан жазықтығына бірдей бұрыштармен көлбесе, онда пирамиданың биіктігі табанына іштей сызылған шеңбердің центріне түседі.
1-ескертпе. 1-тұжырымда көрсетілген қасиетке мысалы, дұрыс пирамидалар ие болады.
2-ескертпе. Егер әу баста пирамиданың табаны-параллелограмм екені белгілі болса, онда ол ромб болғаны, себебі параллелограммдардың ішінде тек қана ромбыға ғана іштей шеңбер сызуға болады.
3-ескертпе. Жоғарыда айтылған пирамидалардың барлық апофемалары (бүйір жағының биіктігі) тең және табанымен бірдей бұрыш жасайды. Дегенмен, апофемалардың теңдігі барлық жақтары табанымен бірдей бұрышпен көлбейді дегенді білдіре бермейді.
2-тұжырым. Егер пирамиданың барлық бүйір қырлары тең болса (табанына бірдей көлбеген), онда оның биіктігі табанына сырттай сызылған шеңбердің центріне тұрғызылады.
1-ескертпе. 2-тұжырымда көрсетілген қасиет дұрыс пирамидаларға тән.
2-ескертпе. Егер әу баста пирамиданың табаны-параллелограмм екені белгілі болса, онда ол тіктөртбұрыш болғаны, себебі параллелограммдардың ішінде тек қана тіктөртбұрышқа ғана сырттай шеңбер сызуға болады.
3-ескертпе. Егер мұндай пирамиданың табаны тік бұрышты үшбұрыш болса, онда пирамида биіктігі гипотенузаның ортасына түседі және гипотенуза арқылы өтетін бүйір жағы табанына перпендикуляр болады.
3-тұжырым. Егер тік призмаға сфера іштей сызылса, онда сфераның радиусы табанына іштей сызылған шеңбердің радиусына тең болады және призма биіктігінің жартысына тең болады.
4-тұжырым. Егер сфера тік призмаға сырттай сызылса, онда:
- призма табанына сырттай шеңбер сызуға болады,
- сфера центрі жоғарғы және төменгі табандарына сырттай сызылған шеңберлердің центрлерін қосатын кесіндінің ортасында жатады.
1-ескертпе. Сырттай сызылған сфераның радиусын катеттерді призманың биіктігінің жартысы мен табанына сырттай сызылған шеңбердің радиусы деп алып, Пифагор теоремасы бойынша табуға болады.
Енді цилиндр мен конусқа байланысты кеңестер берейік.
- Көптеген есептерде стереометриялық сызба салу қажет болмайды, тек қана осьтік қиманы (яғни, конус пен цилиндрдің айналу осі арқылы өтетін қиманы) қарастыру жеткілікті.
- Егер конустың екі жасаушысы тік бұрыш жасайды десе, онда осьтік қима тік бұрышты үшбұрыш болады.
- Конус пен цилиндрдің жанама жазықтықтармен жанасу нүктесіне жүргізілген перпендикулярлар әрқашан айналу осі арқылы өтеді.
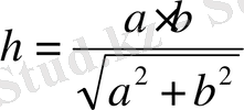
Планиметрия бойынша пайдалы ескертулер. Есептерді шығару кезінде тіктөртбұрыштың төбесінен диагоналына дейінгі қашықтықты табу есептері жиі кездеседі.
Есте сақтаңыздар!!!
Егер а мен b - тіктөртбұрыштың қабырғалары болса, онда ізделінді қашықтық мынаған тең:
.
Бұл қашықтықты көбінесе тіктөртбұрыштың диагоналының жартысымен ауыстырып, қателеседі.
Нені қайталау керек.
Міндетті түрде қайталаңыздар:
- Синустар теоремасы мен косинустар теоремасын,
- Жарты және қос аргументтің тригонометриялық формулаларын,
- Түзу мен жазықтық арасындағы бұрыш пен жазықтықтар арасындағы сызықтық бұрыштың анықтамасын,
- Көлемді есептеу формулаларын,
- Үш перпендикуляр туралы теореманы және түзу мен жазықтықтың перпендикулярлық белгісін.
Есеп шығару мысалдарын қарастырайық.
1-есеп.
Дұрыс үшбұрышты пирамиданың биіктігі
, ал бүйір қыры табанымен 60
0
бұрыш жасайды. Табан қабырғасына параллель және биіктігі арқылы өтетін қиманың ауданын табыңтар.
Шешуі.
1) Сызбасын саламыз. 2)
AKN
және
ABC
үшбұрыштары ұқсас және ұқсастық коэффициенті кіші үшбұрыш пен үлкен үшбұрыштың медианаларының қатынасына тең. Ал
H
нүктесі
ABC
үшбұрышының медианаларының қиылысу нүктесі болса, онда
. Бұдан
, мұндағы
a
- пирамида табанының қабырғасы.
3) Енді пирамиданың
a
табан қабырғасын оның биіктігі және бүйір қыры мен табанының арасындағы бұрыш арқылы өрнектейміз. SHA тік бұрышты үшбұрышынан
AH-
ты табамыз:
AH
-
ABC
үшбұрышының медианасының үштен екі бөлігі болғандықтан, медиана
-ке тең, онда
, ал
. Қиманың ауданын табайық:
2-есеп.
тік призманың табаны-тең бүйірлі тікбұрышты үшбұрыш.
ABC
1
жазықтығы табан жазықтығымен 60
0
бұрыш жасайды. Призма көлемін табыңдар.
Шешуі.
1) Сызба сызамыз. Есеп шартындағы екіжақты бұрыштың сызықтық бұрышы
C
1
DC
бұрышы. Мұндағы
D
нүктесі-
АВ
қабырғасының ортасы болады, себебі
, онда
CD
-биіктік. Үш перпендикуляр туралы теорема бойынша
C
1
D
мен
AB
перпендикуляр.
2)
екенін оңай байқауға болады, ал
.
3)
60
0
-тық бұрышы бар
C
1
DC
тікбұрышты үшбұрышын қарастыра отырып,
CC
1
-ді табамыз.
4) Призманың көлемін есептейміз:
.
3-есеп.
Конустың көлемі
, ал табанының радиусы 4-ке тең. Конустың S төбесі арқылы өтетін жазықтық табанын А және В нүктелерінде қияды. Конус табанының центрінен қима жазықтыққа дейінгі қашықтық
-ке тең. SАВ жазықтығының табан жазықтығымен жасайтын бұрышының градустық өлшемін табыңдар.
Шешуі.
1) Сызбасын сызамыз. Ең бастысы-қима жазықтығынан табан жазықтығына дейінгі қашықтықты дұрыс анықтай білу керек. Егер
SD
кесіндісі
SAB
үшбұрышының медианасы болса, онда
ОD
мен
SD
АВ-
ге перпендикуляр, сондықтан
SOD
жазықтығы
AB-
ге перпендикуляр (түзу мен жазықтықтың перпендикулярлығының белгісі!!!) . Бірақ
АВ
қима жазықтығында жатқандықтан,
SOD
жазықтығы да оған перпендикуляр.
О
нүктесінен осы жазықтықтардың
SD
қиылысу сызығына перпендикуляр түсіру арқылы, біз
О
нүктесінен қимаға перпендикуляр тұрғызамыз. Сондықтан
.
2) ODH бұрышын табу керек, оны α деп белгілейміз. Сонда ∠ OSH=90 0 -α.
3)
, онда конус биіктігі
SOH
тік бұрышты үшбұрышында:
Сондықтан берілген бұрыш 60
0
-қа тең, сонда α=30
0
.
4-есеп. KP кесіндісінің ұштары цилиндр табанындағы шеңберлерде жатыр. Цилиндрдің биіктігі 16-ға, табанының радиусы 10-ға тең, ал KP түзуі мен табан жазықтығы 45 0 бұрыш жасайды. Цилиндрдің осінен K және P нүктелері арқылы өтетін оған параллель жазықтыққа дейінгі қашықтықты табыңдар.
Шешуі.
1) Сызба саламыз. Цилиндрдің осі қимаға параллель болғандықтан, осьтен қимаға дейінгі қашықтық түзудің кез келген нүктесінен жазықтыққа жүргізілген перпендикулярдың ұзындығына тең. Біздің жағдайымызда
О
1
нүктесін алу тиімді, онда ізделінді перпендикуляр-
О
1
М
кесіндісі, мұндағы
М
нүктесі
K
1
P
кесіндісінің ортасы.
2) Қима -тіктөртбұрыш, ал диагональ қабырғамен 45 0 бұрыш жасайды, олай болса қима- квадрат. Осыған байланысты бізге радиусы 10 болатын шеңбер центрінен ұзындығы 16-ға тең хордаға дейінгі қашықтықты есептеу керек. Басқаша айтқанда, есеп O 1 PK 1 теңбүйірлі үшбұрышының биіктігін табуға тіреледі. Оның 6-ға тең екенін оңай есептеуге болады.
Енді стереометрияның қиын деңгейлі есептері туралы бірер сөз. Бұл есептер кейбір стереометриялық фактілерді негіздеуді талап етеді, содан кейін есеп бірнеше стандартты планиметрялық есептерге келеді. ҰБТ-ге қатысқан оқушылардың көбі мұндай есептерді шығара алмай жүр.
5-есеп
. Радиусы
болатын шарға дұрыс үшбұрышты призма іштей сызылған. ВA
1
түзуі BСС
1
жазықтығымен 45
0
бұрыш жасайды. Призма көлемін табыңдар.
Шешуі. 1) D 1 -B 1 С 1 қырының ортасы болсын. Дұрыс призма болғандықтан, A 1 D 1 ⊥B 1 С 1 және A 1 D 1 ⊥СС 1 , содан түзу мен жазықтықтың перпендикулярлық белгісі бойынша А 1 D 1 ⊥ВСС 1. Олай болса, ∠А 1 ВD - А 1 В түзуі мен ВСС 1 жазықтығының арасындағы бұрыш, яғни ∠А 1 ВD = 45 0 .
2) K және K 1 - призма табанының центрлері болсын, онда АK = ВK = СK және А 1 K = В 1 K = С 1 K.
- Іс жүргізу
- Автоматтандыру, Техника
- Алғашқы әскери дайындық
- Астрономия
- Ауыл шаруашылығы
- Банк ісі
- Бизнесті бағалау
- Биология
- Бухгалтерлік іс
- Валеология
- Ветеринария
- География
- Геология, Геофизика, Геодезия
- Дін
- Ет, сүт, шарап өнімдері
- Жалпы тарих
- Жер кадастрі, Жылжымайтын мүлік
- Журналистика
- Информатика
- Кеден ісі
- Маркетинг
- Математика, Геометрия
- Медицина
- Мемлекеттік басқару
- Менеджмент
- Мұнай, Газ
- Мұрағат ісі
- Мәдениеттану
- ОБЖ (Основы безопасности жизнедеятельности)
- Педагогика
- Полиграфия
- Психология
- Салық
- Саясаттану
- Сақтандыру
- Сертификаттау, стандарттау
- Социология, Демография
- Спорт
- Статистика
- Тілтану, Филология
- Тарихи тұлғалар
- Тау-кен ісі
- Транспорт
- Туризм
- Физика
- Философия
- Халықаралық қатынастар
- Химия
- Экология, Қоршаған ортаны қорғау
- Экономика
- Экономикалық география
- Электротехника
- Қазақстан тарихы
- Қаржы
- Құрылыс
- Құқық, Криминалистика
- Әдебиет
- Өнер, музыка
- Өнеркәсіп, Өндіріс
Қазақ тілінде жазылған рефераттар, курстық жұмыстар, дипломдық жұмыстар бойынша біздің қор #1 болып табылады.

Ақпарат
Қосымша
Email: info@stud.kz