Алғашқы функцияны табудың ережелері

Таратпа материал ( әрбір оқушыға беріледі)
Оқушының аты -жөні:
3. Оқушылардың білімін тексеру.
а) Алғашқы функция анықтамасы (4 ұпай )
б) Алғашқы функцияның негізгі қасиеті . (3 ұпай )
в) Алғашқы функцияның геометриялық мағынасы (3 ұпай)
г) Алғашқы функцияны табудың ережелері
Алғашқы функцияны табудың үш ережесі:
1) І ереже (3 ұпай)
2) ІІ ереже (3 ұпай)
3) ІІІ ереже (4 ұпай)
- Есіңде ме, формула ?
  Алғашқы функциясын тап
 
  Алғашқы функциясын тап
 
1. f(x) = (1 ұпай)
2 . f(x) =
(2 ұпай)

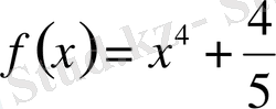
3. f(x) = (3 ұпай)
  
4. f(x) = (1 ұпай)
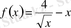
5. f(x) = (2 ұпай)

6. f(x) = (3ұпай)
  Интегралды есепте:
 
  Интегралды есепте:
 
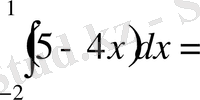
7. (1 ұпай)
  8.
  
   (2ұпай)
 
  8.
  
   (2ұпай)
  
 
  
9. (3 ұпай)
- Кім жүйрік? Ауызша есептер шығару. (әр есепке 2 ұпай)
Берілген функцияның алғашқы функциясын табыңдар:
1.

2.

3.

4.

5.

6.

6. Зерделілер сайысы. Есептер шығару . (әр есепке 5 ұпай)
  
1.
  
2.
  
3.
  
4.
  
5.
  
6.
5. Тест есептері бойынша білім деңгейін тексеру
(әр тапсырмаға 1 ұпай )
1. Алғашқы функциясы F(x) =x 4 -cos2x болатын f(x) функциясын көрсет
 
  А) f(x) = 4x
  
   3
  
  +sin2x+C B) f(x) =
 
  +sin2x+C
 
  +sin2x+C
 
C) f(x) = 4x 3 +2sin2x D) f(x) = 4x 3 -2cos2x+C
 
  2. Қай функция
 
  функциясының алғашқы функциясы болады?
 
  функциясының алғашқы функциясы болады?
 
 
  А) F(x) = x
  
   11
  
  -8
 
  Equation. 3 +C B) F(x) = x
  
   11
  
  +2
 
  Equation. 3 +C B) F(x) = x
  
   11
  
  +2
 
  Equation. 3 +C
 
  Equation. 3 +C
 
 
  C) F(x) = x
  
   11
  
  +C D) F(x) = x
  
   12
  
  -8
 
  +C
 
  +C
 
 
  3.
 
  функциясының алғашқы функциясын табыңдар
 
  функциясының алғашқы функциясын табыңдар
 
  
А) F(x) = B) F(x) =
  
C) F(x) = D) F(x) =
  
  4 . функциясының алғашқы функциясының жалпы түрін тап:
 
  4 . функциясының алғашқы функциясының жалпы түрін тап:
 
  А) F(x) =
 
 
  B) F(x) =
 
  А) F(x) =
 
 
  B) F(x) =
 
  
  C) F(x) = D) F(x) =
 
  C) F(x) = D) F(x) =
 
  
5. функциясының алғашқы функциясының жалпы түрін тап:
  
  
А) F(x) = В) F(x) =
  С)
 
  F(x)
 
 =
 
  D) F(x) =
 С)
 
  F(x)
 
 =
 
  D) F(x) =
 
  6.
 6.
интегралын есепте
А) 4 В) 8
С) 2 D) 6
  
- функциясының алғашқы функциясының жалпы түрін тап:
  
А) F(x ) = В) F(x ) =
  
С) F(x ) = D) F(x ) =
  
- функциясының алғашқы функциясының жалпы түрін тап:
  
  А) В)
 
  А) В)
 
  
С) D)
  
9. функциясының алғашқы функциясының жалпы түрін тап:
  
А) F(x ) = В) F(x ) =
  
  С)
 
  F(x
 
 ) =
 
  D) F(x
 
 ) =
 С)
 
  F(x
 
 ) =
 
  D) F(x
 
 ) =
  10.
 
  функциясының алғашқы функциясының
 10.
 
  функциясының алғашқы функциясының
 
жалпы түрін тап:
  
  А) В)
 А) В)
  
  С)
 
  D)
 С)
 
  D)
 
- Іс жүргізу
- Автоматтандыру, Техника
- Алғашқы әскери дайындық
- Астрономия
- Ауыл шаруашылығы
- Банк ісі
- Бизнесті бағалау
- Биология
- Бухгалтерлік іс
- Валеология
- Ветеринария
- География
- Геология, Геофизика, Геодезия
- Дін
- Ет, сүт, шарап өнімдері
- Жалпы тарих
- Жер кадастрі, Жылжымайтын мүлік
- Журналистика
- Информатика
- Кеден ісі
- Маркетинг
- Математика, Геометрия
- Медицина
- Мемлекеттік басқару
- Менеджмент
- Мұнай, Газ
- Мұрағат ісі
- Мәдениеттану
- ОБЖ (Основы безопасности жизнедеятельности)
- Педагогика
- Полиграфия
- Психология
- Салық
- Саясаттану
- Сақтандыру
- Сертификаттау, стандарттау
- Социология, Демография
- Спорт
- Статистика
- Тілтану, Филология
- Тарихи тұлғалар
- Тау-кен ісі
- Транспорт
- Туризм
- Физика
- Философия
- Халықаралық қатынастар
- Химия
- Экология, Қоршаған ортаны қорғау
- Экономика
- Экономикалық география
- Электротехника
- Қазақстан тарихы
- Қаржы
- Құрылыс
- Құқық, Криминалистика
- Әдебиет
- Өнер, музыка
- Өнеркәсіп, Өндіріс
Қазақ тілінде жазылған рефераттар, курстық жұмыстар, дипломдық жұмыстар бойынша біздің қор #1 болып табылады.
 
            
                Ақпарат
Қосымша
Email: info@stud.kz