Алгоритмді Паскаль тілінде программалау

Жаңа тақырып: Алгоритмді Паскаль тілінде программалау.
Сабақтың мақсаты:
а) білімділік: оқушыларға программалау тілі туралы мағлумат беру. Операторларды пайдалана отырып есеп шығаруға үйрету.
ә) дамытушылық : берілген есептерді программалау тілінде жаздырту арқылы оқушылардың ойлау қабілетін арттыру.
б) тәрбиелілігі : оқушыларды адамгершілікке, жауапкершілікке тәрбиелеу.
Сабақтың түрі : Аралас сабақ.
Сабақтың өту әдісі : Венн диаграммасы, сұрақ-жауап, шығармашылық жұмыс.
Сабақтың көрнекілігі : мультимедиялық компьютерлер, тест сұрақтары, презентациялар.
Сабақтың барысы : І. Ұйымдастыру кезеңі:
а) Сәлемдесу, оқушыларды түгелдеу.
ә) Оқушыларды сабаққа жұмылдыру.
ІІ. Үй тапсырмасын тексеру.
Y=x 2 +2
Үй тапсырмасын сұрау үшін сұрақтар:
- Алгоритм дегеніміз не?
Алгоритм - атқарушы орындайтын амалдардың тиянақты жоспары.
Алгоритм қасиеттері
- дискреттілік: жекелеген қадамдардан(командалардан) тұрады
- айқындылық: атқарушыға түсінікті болатын командалардан тұруы керек
- белгілілік: бастапқы деректері бірдей болған жағдайда нәтижесі де бірдей болады
- нәтижелік: әрекеттердің шектеулі санынан кейін белгілі бір уақытта қорытынды нәтиже алуымыз керек
- жалпылық: алгоритм әр түрлі алғашқы мәліметтер үшін әр түрлі нәтижелер беруі тиіс
- дұрыстылық: алғашқы мәліметтер әр түрлі болғандығына қарамастан барлық жағдайда дұрыс нәтиже береді
- Алгоритмдік тілде қызмет етуші сөздерді атаңыз.
- Қандай алгоритмдер сызықты деп аталады ?
- Паскаль тілінің алфавитін не құрайды ?
Паскаль тілінің алфавиті
- Паскаль тілінің операторлары дегеніміз не ?
ІҮ. Сабақты пысықтау.
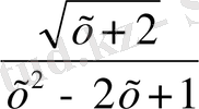
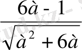
1. Өрнектерді Паскаль тілінде жазу.
1)
=
4) В=
![]()
2) А=
5) Z=
Equation. 3
3) у=
6) sin
2
x + cos
2
x = 1
2. Есептерге программа жазыңыз.
1-есеп. Герон формуласы бойынша үшбұрыштың ауданын есептеп шығаратын программа құрастырыңыз.
S=
. Бунда p=
Program Geron;
Var a, b, c, p, S : real;
Begin
Read (a, b, c) ;
P:=(a+b+c) / 2 ;
S:=sqrt(p*(p-a) *(p-b) *(p-c) ) ;
Writeln(S) ;
End.
2-есеп.
Табанының радиусы R болған шеңбердің ауданын есептеу программасын құрастырыңыз. S=
R
2
Program Shenber;
Var π, R, S : real;
Begin
Read (R) ;
π=3. 14 ;
S:=рі*sqr(R) ;
Writeln(S) ;
End.
3-есеп. «Сиқырлы есеп». Санау жүйесіне байланысты есеп.
Мен жастамын. Мектеп табалдырығын 111 жасымда аттадым. Мен А. Югнаки атындағы мектептің 1001 сыныбында оқимын. Біздің сыныпта барлығы 11001 оқушы. Менің арманым келешекте атақты компьютер маманы болу.
Дұрыс жауабы:
2 =1*2 3 +1*2 2 +1*2 1 +1*2 0 =15 10
111=1*2 2 +1*2 1 +1*2 0 =7 10
1001=1*2 3 +0*2 2 +0*2 1 +1*2 0 =9 10
11001=1*2 4 +1*2 3 +0*2 2 +0*2 1 +1*2 0 =25 10
Мен 15 жастамын. Мектеп табалдырығын 7 жасымда аттадым. Мен А. Югнаки атындағы мектептің 9 сыныбында оқимын. Біздің сыныпта барлығы 25 оқушы. Менің арманым келешекте атақты компьютер маманы болу.
4-есеп . «Құпия жәшік».
Бұл құралдың жасы 200-5000 жылдар шамасы. Бұл құралды гректер мен Батыс Еуропалықтар «абак» деп, қытайлықтар «суанпан» деп, жапондықтар «серобян» деп атаған.
Жәшіктің ішінде қандай құрал бар ?.
Жауабы: есепшот.
Жауапты Морзе алфавитінде жазу.
Тест.
- Паскаль тілінде дұрыс жазылған арифметикалық өрнекті көрсет.
А) (А+В) *К+3, 7
Ә) Р^2+(0-x^8)
Б) ((A+K*D) ^3
B) 1+SQRT(K+1)
2. Нақты сан қабылдайтын шама түрін көрсет.
A) INTEGER
Ә) REAL
- Іс жүргізу
- Автоматтандыру, Техника
- Алғашқы әскери дайындық
- Астрономия
- Ауыл шаруашылығы
- Банк ісі
- Бизнесті бағалау
- Биология
- Бухгалтерлік іс
- Валеология
- Ветеринария
- География
- Геология, Геофизика, Геодезия
- Дін
- Ет, сүт, шарап өнімдері
- Жалпы тарих
- Жер кадастрі, Жылжымайтын мүлік
- Журналистика
- Информатика
- Кеден ісі
- Маркетинг
- Математика, Геометрия
- Медицина
- Мемлекеттік басқару
- Менеджмент
- Мұнай, Газ
- Мұрағат ісі
- Мәдениеттану
- ОБЖ (Основы безопасности жизнедеятельности)
- Педагогика
- Полиграфия
- Психология
- Салық
- Саясаттану
- Сақтандыру
- Сертификаттау, стандарттау
- Социология, Демография
- Спорт
- Статистика
- Тілтану, Филология
- Тарихи тұлғалар
- Тау-кен ісі
- Транспорт
- Туризм
- Физика
- Философия
- Халықаралық қатынастар
- Химия
- Экология, Қоршаған ортаны қорғау
- Экономика
- Экономикалық география
- Электротехника
- Қазақстан тарихы
- Қаржы
- Құрылыс
- Құқық, Криминалистика
- Әдебиет
- Өнер, музыка
- Өнеркәсіп, Өндіріс
Қазақ тілінде жазылған рефераттар, курстық жұмыстар, дипломдық жұмыстар бойынша біздің қор #1 болып табылады.

Ақпарат
Қосымша
Email: info@stud.kz