Өрнекті ықшамда. Ауызша есептер

Г. М. Исабекова.
№56 мектеп- лицейі
Астана қаласы
Cабақтың тақырыбы:
Негізгі тригонометриялық тепе-теңдіктер
Сабақтың мақсаты:
Білімділік:
Негізгі тригонометриялық тепе-теңдіктерді меңгере отырып, бір тригонометриялық функцияның мәні бойынша қалғандарының мәнін табуға, өрнектерді ықшамдауға есептер шығару дағдысын қалыптастыру.
Тәрбиелік:
Патриоттық тәрбие беру, алғырлыққа, ұйымшылдыққа тәрбиелеу
Дамытушылық:
Негізгі тригономериялық тепе-теңдіктерге есептер шығару арқылы есте сақтау қабілеттерін дамыту, танымдық қабілеттерін арттыру
Сабақтың түрі:
Бекіту сабағы
Пән аралық байланыс : дене шынықтыру
Қолданылатын әдіс-тәсілдер: деңгейлеп оқыту
Көрнекілігі: интерактивті тақта, парақшалар
Сабақтың барысы:
1. Ұйымдастыру
кезеңі оқушылармен сәлемдесу, жинақтау, зейінін сабаққа аудару.
2. Сабақтың тақырыбы мен мақсатын таныстыру.
Елімізде 7-қысқы Азиада ойындары өтуде. Бұл ірі жарыстар өткізуде үлкен тәжірибелері бар Жапония және Қытай сияқты елдермен қатар осындай құрметті құқыққа ие болған біздің еліміз үшін үлкен мәртебе. Осынау айтулы шара тек Азия елдерінен келетіндердің ғана емес, әлем жұртшылығының назарын аударып отыр. Біз бүгінгі сабағымызды осы үлкен мерекеге арнағалы отырмыз.
Қысқы Азиада ойыны туралы қысқышы мағұлматы дайындаған оқушы :
-Азия ойындарының жалпы жарыстар бағдарламасы спорттың 11 түрімен беріледіАзия ойындарына шамамен 32 Азия елі қатысуда.
Бұдан басқа Ойындар өткізу шегінде Азиялық Олимпиада Кеңесінің кезекті Бас Ассамблеясы өтеді, оған 45 Азия елдерінің спорт қозғалысы басшылары қатысуда. Осы бағдарлама 65 медальдар жинағы ойналатын спорттың 11 түрі бойынша жарыстар өтуде.
7-ші қысқы Азия Ойындарының ұраны: «Мақсаты бірдің - рухы бір!». Аталмыш ұран спорттық Азияның біртұтас рухын, мемлекеттер мен халықтардың бір мақсатқа жетудегі ауызбірлігі мен достығын бейнелейді.
3. Үй тапсырмасын тексеру: №324, 327
Қысқы Азиада ойындарының бірі- шайбалы хоккей. Ойын туралы оқушы жауабы:
Шайбалы хоккей. Арнайы мұз алаңында доптаяқтары және шайбасы бар спорттық ойын командасы. Ойынның мақсаты - қарсыластың қақпасына шайба соғу. Матчта көп шайба соққан команда жеңіске жетеді.
Хоккей ойыны: Екі топ өзара сұрақ -жауап:
1. Бұрыштың өлшем бірліктері?
2.
бұрышының синусы дегеніміз не?
3.
бұрышының косинусы дегеніміз не?
4.
бұрышының тангенсі дегеніміз не?
5. Тригонметриялық функциялардың анықталу аймағы? Т. с. с
Ауызша есептер. 1. Тригонометриялық тренажер. Бос орынды толтыр


2. Биатлон - шаңғы жарыстары мен ату шебінде тұрып кішікалибрлі винтовкадан атудан құралған қысқы қоссайыс . Қашықтықты бағындыру кезінде спортшылар екі ату шебінде әрқайсысы бес-бес нысанаға дәл тигізулері қажет (әрбір мүлт кеткен оқ үшін спортшы 150 метрлік айып шеңберін жүгіреді) . Мәреге бірінші болып жеткен 60 спортшы ізге түсу жарысына қатысады.
3 . Таңбалары арқылы функцияны анықта:
3. Мәнерлеп сырғанау жекелей (ерлер мен әйелдер), жұптық сырғанау және спорттық билерден құралған. Спортшылардың өнер көрсетуі алты балдық жүйе бойынша бағаланады
«Сыңарын тап» ойыны арқылы формуланы толықтыру:
Бос орынды толтыр:
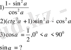
Жұппен жұмыс
- 1) . Есепте :, егер ctg α=3.
- 2) . Өрнекті ықшамда:
3) . Өрнекті ықшамда:
![]()
4. Трамплиннен секіру.
Арнайы жабдықталған трамплиннен шаңғымен секіруді қамтитын спорт түрі.
Трамплиндерді К-95 және К-125 деген түрлерге бөледі. Секірулерді орындау бес төрешімен бағаланады: орындау техникасы стилі (максимальді саны - 20 балл) және секірудің ұзындығыҰлттық командадан жарыстың әрбір түрінде төрттен аспайтын спортшы қатыса алады
«Трамплиннен секіру» ойыны
Деңгейленген тапсырма:
Тақтамен жұмыс:
І деңгейлі трамплин
І топ ІІ топ
![]()
![]()
ІІ деңгейлі ІІ деңгейлі
ҒҒІІ
![]()
![]()
22
ІІІ деңгейлі трамплиннен секіру:
1. Өрнекті ықшамда:
1. Өрнекті ықшамда:
Қорытынды:
5. Шорт-трек - ішкі хоккей алаңында қашықтықты барынша тез бағындырумен қорытындыланатын конькимен тез жүгіру түрі (айдынның шеңбері - 111, 2 м) .
Шорт -трек ойыны, яғнй мәреге тез жету керек.
Тест тапсырмасы:
1. Өрнекті ықшамдаңыз:
A) cos
B) sin
C) tg
D) sin
E) cos
= B
2. Есептеңіз: sin
80
+ cos
80
A) 0 B) -1 C) 2 D) 1 E) -2 = D
3. Егерде
=
тең болса, онда
мәні
A) 0 B) 1 C) 2 D) -1 E)
D
4. Өрнекті ықшамдаңыз: (sin
- cos
)
+ 2sin
cos
.
A) 1 B) -1 C) cos
D) sin
E) 2sin
= А
5. Өрнекті ықшамдаңыз:
+ tg
сtg
A) -
B) 1 C)
D) -
E)
= Е
6. Өрнекті ықшамдаңыз:
A) -
B) 1 C)
D)
E) -
= С
Бағалау. Тест тапсырмасы бойынша.
Үйге тапсырма: №324. 328
- Іс жүргізу
- Автоматтандыру, Техника
- Алғашқы әскери дайындық
- Астрономия
- Ауыл шаруашылығы
- Банк ісі
- Бизнесті бағалау
- Биология
- Бухгалтерлік іс
- Валеология
- Ветеринария
- География
- Геология, Геофизика, Геодезия
- Дін
- Ет, сүт, шарап өнімдері
- Жалпы тарих
- Жер кадастрі, Жылжымайтын мүлік
- Журналистика
- Информатика
- Кеден ісі
- Маркетинг
- Математика, Геометрия
- Медицина
- Мемлекеттік басқару
- Менеджмент
- Мұнай, Газ
- Мұрағат ісі
- Мәдениеттану
- ОБЖ (Основы безопасности жизнедеятельности)
- Педагогика
- Полиграфия
- Психология
- Салық
- Саясаттану
- Сақтандыру
- Сертификаттау, стандарттау
- Социология, Демография
- Спорт
- Статистика
- Тілтану, Филология
- Тарихи тұлғалар
- Тау-кен ісі
- Транспорт
- Туризм
- Физика
- Философия
- Халықаралық қатынастар
- Химия
- Экология, Қоршаған ортаны қорғау
- Экономика
- Экономикалық география
- Электротехника
- Қазақстан тарихы
- Қаржы
- Құрылыс
- Құқық, Криминалистика
- Әдебиет
- Өнер, музыка
- Өнеркәсіп, Өндіріс
Қазақ тілінде жазылған рефераттар, курстық жұмыстар, дипломдық жұмыстар бойынша біздің қор #1 болып табылады.

Ақпарат
Қосымша
Email: info@stud.kz