Жарықтың сыну заңы

Білгенің аз - білігенді қолдана білу керек! Р. Декарт
8 сынып. Физика. Жарықтың сынуы. Жарықтың сыну заңы.
Пән мұғалімі: Жақаев Мұқамеджан
Сабақтың мақсаттары:
Білімділік;
1. Жарық құбылыстарының жаңа қасиеттерімен танысу, сыну ұғамын қалыптасмтыру, сыну заңы мен формуласын үйрету,
2. Оқушылардың эксперименттік дағдыларын дамытуды жалғастыру;
а) Сыну құбылысының схемалық суретін сала білу;
Дамытушылық;
- Оқу материалын талдай білу дағдысын дамыту; бақылау, салыстыру, оқылған құбылыстар мен фактілерді салыстыра білу, қорытынды жасау.
- Жаңа білім беру, білімді қолдану дағдысын дамыту, ақылға салу дағыдысын қалыптастыру, .
Тәрбиелік:
Өзі және топ мүшесі үшін жауапкершілік ала білуге тәрбиелеу; .
Көрнекіліктер:
Диагностикалық карталар, семантикалық карталар, карточкалар
Тәжрибелер:
- Стакандағы суға батырылған заттың сынуы
- Тыйынның «көтерілуі».
- «Үш қабатты линза» тәжрибесі
Сабақтың түрі: Жаңа сабақ
Әдіс-тәсілі: Блум жүйесіне негізделген аралас сабақ.
Көрнекілігі:
- Геометриялық оптика құралы (оптикалық диск) ;
- Өмірде кездесетін сыну құбылысын көрсету (тарелка, су, тиын) ;
- Тебен иненің сатакандағы суда сынуын көсрету;
- Тапсырмалар және бағалау крийтерилері жазылған карточкалар.
Сабақ жоспары:
Судағы тиын қалай көтеріледі? . . .
Бала неге су түбіндегі тасты көздей алмады? . . .
Сабақтың барысы
Бөлімі
Білім (2)
І. Ұйымдастыру
Бағалау жүйесімен таныстырады. Диагностикалық картаға өз фамилияңды жаз. Сабақ бөлімдеріндегі тапсырманы орындаған оқушы диагностикалық картаға өзіне тиісті ұпайын қойып отырады. Оқушыларға таратылады.
1. Үй тапсырмасымен жұмыс .
Жалпы сұрақтар.
1. Үйге берілген есептерді қарап шығу.
Геометриялық оптика нені оқытады?
Жарық сәуелесі және сәуленің түсу жазықтығы деген не?
Шағылу заңын кім айтады?
Оның матемтаикалық өрнегін тақтаға кім жазып көрсетеді?
Жазық айнада айнадағы кескіннің шын кескіннен қандай айырмашылықтары бар?
2. «Жарықтың шығылу заңы» тақырыбына карточкалар бойынша өзбетіндік жұмыс орындау.
Тапсырманың мысалдары:
1-топ. Күн сәулесі жер бетіне 30 0 бұрышпен түседі. Күн сәулесін құдық түбіне қарай бұру үшін, жазық айнаны вертикалмен қандай бұрыш жасай бағыттау керек?
2-топ. Бір-біріне 90 0 бұрышпен орналасқан екі айнадағы нүктелік жарық көзінің кескінін салыңыз.
3-топ. Қабырғада биіктігі 1м айна ілінген. Айнаның алдында 2м қашықтықта адам тұр. Айнадан арытқы қабырғаға дейін 4м. Арытқы қабырғаның айнадан көрініп тұрған кескінінен, адамға дейінгі қашықтық қанша?
Жаңа сабағымыз түсінуге оңай болу үшін, алдымен бұрын өткен геометриялық оптиканың негізгі түсініктерін және жарықтың шағылу заңын еске түсірейік. Таза суға қарасақ өз бейнемізді көруге болады, неге?
Оқулықтары мен дәптерлерін дайындайды.
Жарықтың түзу сызықпен таралу және шағылу құбылыстарын зерттейді.
жарық энергиясы бойымен тарайтын сызық жарық сәулесі д. а., жарық сәулесі мен түсу нүктесіне тұрғызылған перпендикуляр жатқан жазықтық.
Қарама-қарсы бағытынан басқа айырмашлығы жоқ. Мыс: адамның жүрек тұсы.
Таратпа материалдармен жұмыс істейді.
Торкөз қағазға сызып көрсетеді:
15 0
6м
Бұл су бетінен шағылу құбылысынан болады. (ТАПСЫРМАНЫ ДҰРЫС ОРЫНДАҒАНДАР ӨЗДЕРІҢЕ 2 ҰПАЙ ЖАЗЫҢДАР)
ІІ. Жаңа сабақ.
Мұғалім: (Проблемалық ситуация)
Стакандағы суға ұзын тебен-инені салып, оны центрден шетке қарай жылжыта отырып сыну құбылысын көрсетеді. Қандай өзгеріс/құбылыс көрдіңдер? Неге болат ине су-ауа шекарасында «сынып» көрінеді?
Бүгінгі сабағымызда жарық сәулесінің аса бір қызықты қасиеті жарықтың сынуы мен мен оның қолданылуын қарастырамыз.
/Тақтаға жаңа сабақтың тақырыбын жазады/
Түсіну (4)
Тәжірибе-1. Тарелке, су, тыйынмен жасалатын тәжірибені көрсету.
Тарелкеге тиын салып қойып, оған тиын көрінбейтіндей қырынан қарап тұрып жәйлап су құямыз. Аздан соң тиын көрінеді.
Тыйын неге «көтерілді»?
2. Бұл тәжірибелер екі түрлі ортаның шекарасында, яғни су-ауа шекарасында жарық сәулесі түскенде бір бөлігі шағылып, ал бір бөлігі екінші ортаға өтетінін және өткенде бағытын өзгертінін (сынатынын) дәледейді.
Осы құбылыстан қандай тұжырым жасауға болады?
Жауап: Екі ортаны бөлетін шекара арқылы өткенде, жарықтың таралу бағытының өзгеруін жырқтың сынуы дейміз.
Сынған сәуле мен екі ортаны бөлетін шекараға сәуле түскен нүктеден тұрғызылған перпендикуляр арасындағы бұрыш (
)
сыну бұрышы
деп аталады.
Жарық аудан шыныға өткенде сынған сәуле перпендикулярға жақындайтынын тәжірибеден көрдік. Бұл сыну бұрышы түсу бұрышынан аз екенін көрсетеді. Сонымен қатар тұсу бұрышын сан мәнін (градус) сыну бұрышының сан мәніне бөле отырып олардың тұрақты екеніне назар аударамыз.
Бұдан қандай тұжырым айтуға болады?
Жауап:
- Түскен сәуле, сынған сәуле және екі ортаны бөлетін бетке сәуле түскен нүктеден тұрғызылған перпендикуляр бір жазықтықта жатады.
- Түсу бұрышы синусының сыну бұрышы синусына қатынасы екі орта үшін тұрақты шама болып табылады.
, бұл формула мен анықтаманы сыну заңы деп атайды.
Бұл заңды Синелус заңы деп те атайды. Оны ХVІІ ғасырда (1621ж) В Синелус тұжырымдаған. Ал 1630 жылы Р. Декарт оған теориялық негіздеме жасаған. Формуладағы n - сындыру көрсеткіші деп аталады.
Сыныдыру көрсеткіші түсу бұрышына тәуелді емес және тек ортаның оптикалық тығыздығына тәуелді. Заттың ауамен салыстырғандағы к өрсеткіші «абсалют сындыру көрсеткіші» деп аталады.
Оқушылар өз сөздерімен білгендерінше жауап береді.
***
***
3. Жарық сәулесі вакумда 3 км/с жылдамдықпен тарайды. Жарық 3 км/с кем жылдамдықпен таралатын орта оптикалық тығыздығы жоғары орта деп аталады.
Жарықтың бір ортадан екінші ортаға өткенде сыну себебі әртүрлі ортада жарық жылдамдығының түрліше болатындығынан. Яғни, оптикалық тығыздығы жоғары ортада жарық жылдамдығы кемиді. Ортаның сындыру көрсеткіші осы жылдамдықтың неше есе кемитінін көрсетеді.
Сонда берілген екі орта үшін (ауа - су, ауа - шыны . . . ) заттың сындыру көрсеткіші
формуласымен де анықталады. С- жарықтың вакумдағы жылдамдығы, v -ортадағы жылдамдығы, Онда екі формуланы біріктіріп былай жазуға болады.
Оптикалық диск көмегімен осы формуланың дұрыстығына көз жеткізетін демонстрациялар көрсету.
(жақсы түсінгендер және белсенді қатысып отырғандар өздеріңе 2-4 ұпай жазыңдар)
,
ның орнына оптикалық дискіден алынған түрлі мәндерді формуланың дұрыстығын тексереді.
Қолдану (6)
ІІІ. Сынып жұмысы. Қазіргі кезде көптеген заттардың сындыру көрсеткіштері тәжірибеде анықталып жазыған кестеге жазылған.
Екі қабатты линза тәжірибесі.
Әртүрлі мөлдір заттар жарық сәулесін түрліше сындырады. Стакандағы судың бетіне кастор майын (ол жоқ болса басқаша мөлдір май) қалыңдығы 1 см болатындай етіп құямыз. Стаканға жақсылап жарықтандыру керек
Ине алып оны стаканның дәл ортасынан майға батырамыз. Май қабатынан өткен соң ине суға да 1 см -дей еніп тұруы керек. Еегер стаканның бүйірінен қарасақ жуандығы әртүрлі бір бүтін инені көреміз: иненің суға батып тұрған астынғы бөлігі қолымызға ұстап тұрған үстінгі бөлігінен жуандау, ал, майда тұрған ортанғы бөлігі бәрінен жуан болып көріненді
Инені аздап оңға - солға стакан шетіне қарай қозғап көреміз, сонда ол күтпеген жерден үш бөлікке «кесіліп» кетеді; иненің жоғарғы бөлігі мен астынғы бөлігі шетке қарай аздап ығысса, ортанғы бөлігі тіптен ығысып кетеді . . .
Инені жылжытуды жалғастырамыз. Сонда мынаны байқаймыз: ортаңғы бөлік бәрінен де тез ығысады, одан соң астынғы бөлік, ал үстінгі (ауадағы) бөлік ең баяу жылжиды. Ине үшке бөлініп кетті. (Әрине оптикалық тұрғыдан ғана) ?
Су
глицерин
Алмас
Мұз
Тұз
Кварц
Лағыл
Қант
Шыны сорттары
1. 33
1, 47
2, 42
1, 31
1, 54
1. 54
1, 76
1, 56
1, 47 до 2. 04
Кестені талдайды:
Суда дененің геометриялық өлшемдері 1, 33 есе өзгеріп (үлкейіп) көрінеді.
***
Себебі; ауада инеден шыққан сәуле сынбайды, май мен суда ол заттардағы жарықтың сынуы себепті біз иненің бөліктерін шын орнынан басқа жерден көреміз. Судың сындыру көрсеткіші 1, 33 майдан 1, 55 аз.
Анализ (8)
Параллель шыны пластинадан өткен жарықтың сыну құбылысы
Үшбұрышты шыны призмаға бүйірінен түскен жарықтың сыну құбылысы.
Пластинадағы әріптерді пайдаланып жарық жолын түсіндіреді.
Призмадағы жарық жолын талдау.
Синтез (10-12)
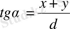
№1033(1096)
Берілгені:
D = 40см = 0, 4м
= 45
0
n = 1. 33
шешуі:
Сурет б/ша
=
және
=
+
Сонда:
осыдан
=0. 4•tg45=0. 4•1=0. 4м=40см,
Сындыру көрсеткішінің формуласы б/ша:
осыдан
arcsin0. 53 ≈ 32 0
тағы да сурет бойынша:
осыдан
y = 40 - x = 40 - 25 = 15см
ж/бы:
таяқ тастан 15см арырақ түседі.
Оқуышылар жаңа сабақ бойынша топтарға
бөлініп деңгейлік тапсырмалар орындайды.
Y = ?
Бұл есепті шығару үшін мына суретті пайдаланамыз.
Оқушыларға жаңа сабақ бойынша семкарта таратады.
І-топ. А-деңгей) 29жат. №1, 2, 3
ІІ-топ. Б-деңгей) 29жат. №4, 5
ІІІ-топ. С-деңгей) Рымк. №1034
ІV. Оқушыларды сабаққа қатысу картасы б/ша бағалау.
Үйге тапсырма: §67. №29жат. және Рым. №1022, 1023
Семантикалық карта.
Сұрақ пен дұрыс жауаптың қилысына «+» таңбасын қойыңыз. (екі сұрақтың жауабы біреу болуы мүмкін)

бұл ненің формуласы?
-түсу,
-шағылу бұрышы


Кестенің екі бағанын толтырыңыз, үшінші бағанды үйден толтырып, келесі сабаққа әкелесіз. .
Ток көздері
Мына кесте бойынша есептерді шығарыңыз.


Тексеру парағы
Семантикалық карта.
Сұрақ пен дұрыс жауаптың қилысына «+» таңбасын қойыңыз. (бір сұрақтың 2-3 жауабы болуы мүмкін)

бұл ненің формуласы?
-түсу,
-шағылу бұрышы


Кестенің екі бағанын толтырыңыз, үшінші бағанды үйден толтырып, келесі сабаққа әкелесіз. .
Ток көздері
Мына кесте бойынша есептерді шығарыңыз.


Оқушының сабаққа қатысу картасы (әр оқушыға бірден)
Диагности-калық карта
Аты-жөні
Оқушының сабаққа қатысу картасы (әр оқушыға бірден)
Диагности-калық карта
Аты-жөні
Оқушының сабаққа қатысу картасы (әр оқушыға бірден)
Диагности-калық карта
Аты-жөні
Оқушының сабаққа қатысу картасы (әр оқушыға бірден)
Диагности-калық карта
Аты-жөні
Оқушының сабаққа қатысу картасы (әр оқушыға бірден)
- Іс жүргізу
- Автоматтандыру, Техника
- Алғашқы әскери дайындық
- Астрономия
- Ауыл шаруашылығы
- Банк ісі
- Бизнесті бағалау
- Биология
- Бухгалтерлік іс
- Валеология
- Ветеринария
- География
- Геология, Геофизика, Геодезия
- Дін
- Ет, сүт, шарап өнімдері
- Жалпы тарих
- Жер кадастрі, Жылжымайтын мүлік
- Журналистика
- Информатика
- Кеден ісі
- Маркетинг
- Математика, Геометрия
- Медицина
- Мемлекеттік басқару
- Менеджмент
- Мұнай, Газ
- Мұрағат ісі
- Мәдениеттану
- ОБЖ (Основы безопасности жизнедеятельности)
- Педагогика
- Полиграфия
- Психология
- Салық
- Саясаттану
- Сақтандыру
- Сертификаттау, стандарттау
- Социология, Демография
- Спорт
- Статистика
- Тілтану, Филология
- Тарихи тұлғалар
- Тау-кен ісі
- Транспорт
- Туризм
- Физика
- Философия
- Халықаралық қатынастар
- Химия
- Экология, Қоршаған ортаны қорғау
- Экономика
- Экономикалық география
- Электротехника
- Қазақстан тарихы
- Қаржы
- Құрылыс
- Құқық, Криминалистика
- Әдебиет
- Өнер, музыка
- Өнеркәсіп, Өндіріс
Қазақ тілінде жазылған рефераттар, курстық жұмыстар, дипломдық жұмыстар бойынша біздің қор #1 болып табылады.

Ақпарат
Қосымша
Email: info@stud.kz