Сандардың көбейтіндісін табыңдар

Сабақтың тақырыбы : Санның бөлігін табу
Сабақтың мақсаты:
Білімділік: оқушылардың алған білімдерін жинақтау, ойлау, танымдық қабілетін арттыру.
Дамытушылық: логикалық сауаттылығын, пәнге деген қызығушылығын дамыту.
Тәрбиелік: оқуға саналы сезімге, жауапкершілікке тәрбиелеу.
Сабақтың барысы:
- «Өткенге көз жүгіртейік» деп өткен сабаққты қайталау
Санның бөлігін қалай табамыз?
Бөлшектің көбейту жолдарын қайталайық
А. Екі жай бөлшекті көбейту
Ә. Натурал санды бөлшекке көбейту
Б. Аралас санды бөлшекке көбейту
В. Аралас санды аралас санға көбейту
2. Есептер шығару
І топ
ІІ топ
- Бөлшектердің тарихынан анықтама беру үшін есептер шығарайық.
- Тапсырмалар беру №1 амалдарды орындау
Тапсырма №2
Тапсырма №3
- Оқулықпен жұмыс
Парсы шаруасы үш ұлына 17 түйесін мұраға қалдырады. Бірінші ұлына барлық түйесінің ½-ін, екінші ұлына 1/3-ін, үшінші ұлына 1/9-ін алуды тапсырды. Ағайындылар көп ойланды, бірақ әкесінің мұрасын ол айтқандай етіп бөле алмады. Сол кезде олардың жанынан түйесімен Қожанасыр өтіп бара жатыр еді. Ол түйелерге өзінің түйесін қосып, мәселені шешуді ұсынды. Шындығында, ағайындылар түйелерді әкесі айтқандай бөліп алды, Қожанасыр да өз түйесін қайтарыпалып кетті. Ойланыңдар, бұл қалай болған? Ертегі есеп дұрыс па?
17+1=18
18*1/2=9 1балаға
18*1/3=6 2балаға
18*1/9=2 3балаға
9+6+2=17
- Логикалық есеп шығару
Екі бұтақта 15 торғай отыр. Бірінші бұтақтан 3 торғай ұшып кетті. Екінші бұтақтан 2 торғай ұшып бірінші бұтаққа қонғанда, екі бұтақтағы торғайлар сандары бірдей болды. Алғашқыда бұтақтардың әрқайсысында қанша торғай отырды?
- Математикалық диктант
1-топ
1. Бөлшектерді көбейту орындаңдар: 4/7және 7/16
2. Сандардың көбейтіндісін табыңдар: 11/12және 4
3. Бөлшектердің айырмасын табыңдар: 5/14және2/7
4. Сандардың айырмасын табыңдар: 15 және4/12
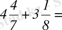
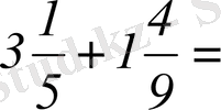
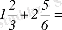
5. Сандардың қосындысың табыңдар: 2және9/16
2-топ
1. Бөлшектерді көбейту орындаңдар: 3/4және 16/21
2. Сандардың көбейтіндісін табыңдар: 12/13және 26
3. Бөлшектердің айырмасын табыңдар: 7/16және1/8
4. Сандардың айырмасын табыңдар: 13 және4/15
5. Сандардың қосындысың табыңдар: 4және5/17
- Тест жұмысы
1 . Бөлшекті қысқартыңдар:
А)
; В)
; С)
; D)
Equation. 3
2. х- тің кандай натурал мәнінде теңдік орындалады:
=
A) 1; B) 5 ; C) 2; D) 4;
3 .
бөлшегін аралас санға айналдырыңдар A) 2
; B) 2; C) 3
; D) 3
;
4.
19
санын бұрыс бөлшек түрінде жазыңдар A)
; B)
; C)
; D)
5.
Берілген бөлшектерден тең бөлшектерді таңдап алындар :
,
,
,
.
A)
=
=
; B)
=
; C)
=
; D)
=
=
;
6. Есептеңдер: 5-3
A) 1
; B) 2
; C) 2
; D) 8
![]()
7 . 1
санына кері сан: А) 1; B)
; C)
; D)
![]()
8 . Қабырғасы
дм квадраттың ауданы: A)
дм
; B)
дм
; C)
дм
; D)
дм
.
9 . Есептеңдер:
∙
. A) 1; B)
; C) 2
; D)
.
10.
Есептеңдер: 2
∙1
A)
; B) 4
; C) 3; D) 1
.
2-нұсқа
1.
Бөлшекті қысқартыңдар:
A)
; B)
; C)
; D)
.
2.
х-
тің кандай натурал мәнінде теңдік орындалады:
=
A) 36; B) 13; C) 32; D) 5;
3.
бөлшегін аралас санға айналдырыңдар. A) 2
; B) 3
; C) 3; D) 3
4.
17
санын бұрыс бөлшек түрінде жазыңдар A)
; B)
; C)
; D)
5.
Берілген бөлшектерден тең бөлшектерді таңдап алындар :
,
,
,
,
.
A)
=
; B)
=
;
=
; C)
=
=
; D) тең бөлшек жоқ. .
6.
Есептеңдер: 3-1
. A) 2
; B) 2
; C) 1
; D) 4
.
7.
2
санына кері сан: A) 1
; B)
; C)
; D)
.
8.
Қабырғасы
см квадраттың ауданы: A) 1
см
; B)
см
; C)
; см
D)
. см
9.
Есептеңдер:
∙
A)
; B) 1
; C)
; D)
.
10
. Есептеңдер: 1
∙2
A) 3
; B)
; C)
; D) 1
8. Қорытындылау
Санның бөлігін табу үшін қандай амал орындаймыз?
9. Үйге тапсырмасы
№800есеп, ережелерді қайталау
10. Оқушылардың білімін бағалау
І топ есептері
Ө
Е
Ш
Б
К
Л






ІІ топ есептері
У
Д
А
Р
И
С






- Іс жүргізу
- Автоматтандыру, Техника
- Алғашқы әскери дайындық
- Астрономия
- Ауыл шаруашылығы
- Банк ісі
- Бизнесті бағалау
- Биология
- Бухгалтерлік іс
- Валеология
- Ветеринария
- География
- Геология, Геофизика, Геодезия
- Дін
- Ет, сүт, шарап өнімдері
- Жалпы тарих
- Жер кадастрі, Жылжымайтын мүлік
- Журналистика
- Информатика
- Кеден ісі
- Маркетинг
- Математика, Геометрия
- Медицина
- Мемлекеттік басқару
- Менеджмент
- Мұнай, Газ
- Мұрағат ісі
- Мәдениеттану
- ОБЖ (Основы безопасности жизнедеятельности)
- Педагогика
- Полиграфия
- Психология
- Салық
- Саясаттану
- Сақтандыру
- Сертификаттау, стандарттау
- Социология, Демография
- Спорт
- Статистика
- Тілтану, Филология
- Тарихи тұлғалар
- Тау-кен ісі
- Транспорт
- Туризм
- Физика
- Философия
- Халықаралық қатынастар
- Химия
- Экология, Қоршаған ортаны қорғау
- Экономика
- Экономикалық география
- Электротехника
- Қазақстан тарихы
- Қаржы
- Құрылыс
- Құқық, Криминалистика
- Әдебиет
- Өнер, музыка
- Өнеркәсіп, Өндіріс
Қазақ тілінде жазылған рефераттар, курстық жұмыстар, дипломдық жұмыстар бойынша біздің қор #1 болып табылады.

Ақпарат
Қосымша
Email: info@stud.kz