Бөлшекті орында

«Көпір» тапсыр-малары
«Теориясы»
«Білу»
(кім? не? қашан? қайда? не істеді?)
«Түсіну» (неліктен? Себебі? Не үшін? Неге?)
«Талдау» (салыстыр, ерекшелігі неде?)
«Жинақ
тау»
Практика
сы
«Қолдану» (қарапайым тапсырма
лар)
Теориясы:
«Білу»
(Кім? Не? қашан? Қанда? Не әстеді?)
Практикасы: «Қолдану»
Теориясы: «Түсіну» (неліктен, себебі? Не үшін? Неге?)
«Талдау»
(салыстыру ерекшелігі неде?)
Практикасы «Қолдану»
Теориясы:
«Жинақтау»
(қорытынды шығар, анықтама бер)
МАТЕМАТИКА 5 СЫНЫП
Елманова Шайғаным
Тақырыбы: Жай бөлшекті бөлу
Мақсаты:
білімділік: Жай бөлшекті бөлудің ережелерін пайдаланып, оларды қолдана алуы.
Тәрбиелік: Оқушыларды ұқыптылыққа, дәлдікке тәрбиелеу. Дамытушылық: Оқушылардың ой-өрісін логикалық ойлау қабілетін дамыту.
І кезең 1. Ұйымдастыру кезеңі (5-7 минут)
1. Жай бөлшек, жай бөлшекке қалай көбейтеміз.
Алымы берілген бөлшектердің алымдарының көбейтіндісіне, бөлімі бөлімдерінің көбейтіндісіне тең бөлшек.
2. Натурал санды бөлшек санға көбейткеде натурал сан бөлшек алымына көбейтіп, көбейтінді бөлшектің алымы болады да, бөлімі өзгеріссіз қалады.
3. Аралас сандарды жай бөлшекке қалай көбейтеміз? Оларды бұрыс бөлшекке айналдырып, содан кейін бөлшекті бөлшекке көбейту ережесін қолданамыз.
4. Егер көбейткіштердің біреуі нөлге тең болса, онда көбейтінді де нөлге тең
ІІ кезең. Өз бетімен жаңа тақырыпты меңгеру (калық бөлім)
1. Бөлу көбейтуге кері: амал
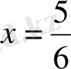
Көбейтудің қасиеттерін пайдаланып теңдеу шешу
х-ті тап Ж. :
оқылуын ауызша айт.
Бөлуге мысал келтір, ережесін айт
;
Аралас сандар бар болса, онда оларды алдымен бұрыс бөлшекке айналдырамыз
Санды нөлге бөлуге болмайды.
Мысал келтір
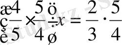
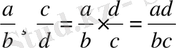
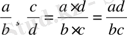
Бөлшекті бөлшекке бөлу ережесін тұжырымда Жай бөлшекті жай бөлшекке бөлу үшін, бөлінгіш бөлшекті бөлгіш бөлшектің кері санына көбейту керек.
Бөлуді қалай орындаймыз?
бөліндісі
көбейтіндісіне тең яғни бөлшекті бөлшекке бөлу, бөлгіш бөлшектің кері санына көбейтіндісі мен есептеледі.
Алған жаңа теориялық білімді практика жүзінде пысықтау. Бөлуді орында (ауызша)
=1
=2
=1
Есепте:
=3
=
=1
=1
Бөлуді орында:
=
=
=
=45
=62
=570
Кестені толтыр:
ІІІ кезең. Деңгейлік тапсырма
І деңгей (5 балл)
1.
=
=
=
2.
=6
=
=
3.
=15
=45
=
4.
=
=
ІІ деңгей (5 балл + 4 балл = 9 балл)
1.
=
=1
2. Квадраттың қабырғасы
см, оның периметрін табыңдар Ж: 14 см
3.
Ж: 4
ІІІ деңгей (9 балл + 3 балл = 12 балл)
1. Оқушы үш сан ойлады. Олардың біріншісі 68, бұл екінші санның ¼ іне тең, ол үшінші санның 2/17-сіне тең. Екінші, үшінші сандарды табыңдар.
Ж: 17 және 8
2.
=
=
Бөлшекті орында
3. 2 см
2см
4 см
. . .
А В
30см
АВ сынығының ұзындығын табыңдар.
Ж: 94 см












Математика пәні бойынша 5 сыныптың «ашық журналы»
ІІІ тоқсан Тақырыбы: « Жай бөлшекті бөлу »
- Іс жүргізу
- Автоматтандыру, Техника
- Алғашқы әскери дайындық
- Астрономия
- Ауыл шаруашылығы
- Банк ісі
- Бизнесті бағалау
- Биология
- Бухгалтерлік іс
- Валеология
- Ветеринария
- География
- Геология, Геофизика, Геодезия
- Дін
- Ет, сүт, шарап өнімдері
- Жалпы тарих
- Жер кадастрі, Жылжымайтын мүлік
- Журналистика
- Информатика
- Кеден ісі
- Маркетинг
- Математика, Геометрия
- Медицина
- Мемлекеттік басқару
- Менеджмент
- Мұнай, Газ
- Мұрағат ісі
- Мәдениеттану
- ОБЖ (Основы безопасности жизнедеятельности)
- Педагогика
- Полиграфия
- Психология
- Салық
- Саясаттану
- Сақтандыру
- Сертификаттау, стандарттау
- Социология, Демография
- Спорт
- Статистика
- Тілтану, Филология
- Тарихи тұлғалар
- Тау-кен ісі
- Транспорт
- Туризм
- Физика
- Философия
- Халықаралық қатынастар
- Химия
- Экология, Қоршаған ортаны қорғау
- Экономика
- Экономикалық география
- Электротехника
- Қазақстан тарихы
- Қаржы
- Құрылыс
- Құқық, Криминалистика
- Әдебиет
- Өнер, музыка
- Өнеркәсіп, Өндіріс
Қазақ тілінде жазылған рефераттар, курстық жұмыстар, дипломдық жұмыстар бойынша біздің қор #1 болып табылады.

Ақпарат
Қосымша
Email: info@stud.kz