Маятниктің бастапқы массасы

Гүлшара Сарыбекова
физика пәні мұғалімі
№86 жалпы орта мектебі
Шымкент қаласы
Абитуриентке көмек
“Механикаға” қатысты тест тапсырмаларын орындау әдістемелері
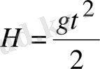
№1. Бастапқы жылдамдықсыз мұнарадан құраған дене (1-сурет) жолдың екінші жартысын 1с-та жүріп өтсе, мұнараның биіктігі
Берілгені:
м/с
2
1-сурет
Шешуі:
Соңғы секундқа дейінгі жүрген жолы
немесе
қысқаша көбейту формуласы бойынша
м
Жауабы
:
м
№2. 24м жол жүрген дененің 8 секундтан кейін жылдамдығы 3 есе кеміді. Дененің үдеуін анықта
Берілгені:
м

Шешуі: Жылдамдық кеміп отырғандықтан
1)
2)
3)
4)
м/с
2
№3. Массасы m қозғалыстағы шар тыныш тұрған массасы 3m шарға соғылады. Соғылғаннан кейінгі шарлардың ажырау бұрышы 90
0
және бірінші шардың жылдамдығы
, екіншісінің
. Бірінші шардың соқтығысқанға дейінгі жылдамдығы
Берілгені:
Соқтығысқанға дейін:
Соқтығысқаннан кейін:
Шешуі: Импульстің сақталу заңы бойынша:
Есептің шарты бойынша
болғандықтан
Жауабы
:

№4. Тегіс мұз үстінде тұрған массасы 20кг бала, массасы 4кг шанаға, мұзға қатысты, 4м/с жылдамдық бергендегі атқаратын жұмысы
Берілгені:
кг
кг
м/с
Шешуі: Шанаға әсер еткен күштің атқарған жұмысы кинетикалық энергияның өзгерісіне тең
,
Импульстің сақталу заңы бойынша
. Сонда
Дж
Жауабы : А=38, 4Дж
№5. Көлбеулік бұрышы 30 0 жазықтық бойымен массасы 90кг ящикті жоғары 600Н күшпен қозғалтты. Көлбеулік жазықтықтың пайдалы әсер коэффициенті
Берілгені:
кг

Шешуі:
ПӘК-тің анықтамасы бойынша
Мұндағы
ВСD үшбұрышының
СД
қабырғасының биіктігі. (Синустар теоремасы) Үшбұрыштың қабырғалары қарсы жатқан бұрыштардың синустарына пропорционал болады.
Жауабы
:

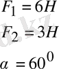
№6. Дене үш күштің әсерінен тепе-теңдікте тұр. 6Н-ға тең күш шығысқа, 3Н-ға тең күш солтүстік-шығысқа 60 0 бұрыш жасай әсер етеді. Үшінші күштің модулі мен бағыты.
Берілгені:

Шешуі:
мен
күштің қосындысы
Ғ
,
-күшке теңесуі керек. Демек
мен
күштің тең әсерлі күші
-косинустар теоремасы бойынша.
Жауабы
:
,
оңтүстік батысқа қарай бағытталған

№7. Егер математикалық маятник жібінің ұзындығын 32см-ге кемітсек, оның периоды 40%-ға кемиді. Жіптің бастапқы ұзындығы
Берілгені:
см
Шешуі: Есеп шарты бойынша
Математикалық маятник периоды екі жағдай үшін
см
Жауабы
:
см

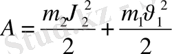
№8. Серіппелі маятник массасын 3, 12кг-ға арттырғанда, оның периоды 60%-ға артады. Маятниктің бастапқы массасы
Берілгені:
кг
Шешуі: Есеп шарты бойынша
кг
Жауабы
:
кг

№9. Айналып жатқан дискінің шеткі нүктелерінің сызықтық жылдамдығы
м/с, ал айналу осіне 10см жақын орналасқан нүктелердің жылдамдығы
м/с болса, дискінің айналу жиілігі
Берілгені:
м/с
см=0, 1м
м/с
Шешуі: Шеңбер бойымен қозғалыс кезіндегі
сызықтық жылдамдық:
,
,
R
2
=R
1
-r
айн/с
Жауабы
:
айн/с

№10. Айналып жатқан дискіні шеткі нүктелерінің сызықтық жылдамдығы
м/с, ал айналу өсіне 15см жақын орналасқан нүктелердің жылдамдығы
Equation. 3 болса, дискіні радиусы неге тең?
Берілгені:
м/с
r=15см=0, 15м
Шешуі:
Шеңбердің шеткі нүктелерінің сызықтық жылдамдығы шеңбердің радиусына тура пропорционал
R
2
=R
1
-r
м
Жауабы
:
м

№11. Велосипед доңғалағы диаметрі
см, жетекші дөңгелектің тіс саны
, ал жетектелуші дөңгелектің тіс саны
. Педальдардың айналу жиілігі
айн/с болса, велосипедшінің жылдамдығы
Берілгені:
см
айн/с
Шешуі: Есеп шарты бойынша
;
м/с
Жауабы:

№12.
(м) теңдеуімен тербелетін нүктенің максимал жылдамдығы
Берілгені:
Шешуі: Тербелмелі қозғалыс теңдеуі
,
ал,
; х
m
=2
м,
=
м/с
Жауабы
:
м/с

№13.
Берілгені:
, м
Шешуі:
Тербелмелі қозғалыс теңдеуі
ал
м/с
Жауабы
:
м/с

- Іс жүргізу
- Автоматтандыру, Техника
- Алғашқы әскери дайындық
- Астрономия
- Ауыл шаруашылығы
- Банк ісі
- Бизнесті бағалау
- Биология
- Бухгалтерлік іс
- Валеология
- Ветеринария
- География
- Геология, Геофизика, Геодезия
- Дін
- Ет, сүт, шарап өнімдері
- Жалпы тарих
- Жер кадастрі, Жылжымайтын мүлік
- Журналистика
- Информатика
- Кеден ісі
- Маркетинг
- Математика, Геометрия
- Медицина
- Мемлекеттік басқару
- Менеджмент
- Мұнай, Газ
- Мұрағат ісі
- Мәдениеттану
- ОБЖ (Основы безопасности жизнедеятельности)
- Педагогика
- Полиграфия
- Психология
- Салық
- Саясаттану
- Сақтандыру
- Сертификаттау, стандарттау
- Социология, Демография
- Спорт
- Статистика
- Тілтану, Филология
- Тарихи тұлғалар
- Тау-кен ісі
- Транспорт
- Туризм
- Физика
- Философия
- Халықаралық қатынастар
- Химия
- Экология, Қоршаған ортаны қорғау
- Экономика
- Экономикалық география
- Электротехника
- Қазақстан тарихы
- Қаржы
- Құрылыс
- Құқық, Криминалистика
- Әдебиет
- Өнер, музыка
- Өнеркәсіп, Өндіріс
Қазақ тілінде жазылған рефераттар, курстық жұмыстар, дипломдық жұмыстар бойынша біздің қор #1 болып табылады.

Ақпарат
Қосымша
Email: info@stud.kz