Бағалау парағын пайдалану

Ақтөбе қаласы, №47 жеке пәндерді тереңдетіп оқытатын арнайы мектебі
Математика пәні мұғалімі Мұқаш Мейрамбек Әміржанұлы
Сабақтың тақырыбы: Нақты санның n-ші дәрежелі түбірі және оның қасиеттері.
Сабақтың мақсаты : Нақты сандардан алынған түбірлер мен оның қасиеттері туралы білімдерін тереңдету. Осы қасиеттерді есеп шығаруда қолдануды үйрену.
Дамытушылық : Ойлау және есте сақтау қабілетін арттыру, шығармашылық ізденісін дамыту.
Тәрбиелік: Оқушының пәнге деген қызығушылығын арттырып, сабаққа өз еркімен белсене араласуы, білімдерін көрсете алуына ықпал ету, өзін-өзі басқарып білімін тиянақтай білуге тәрбиелеу.
Сабақтың типі: Қайталау сабағы.
Сабақтың түрі: Аралас сабақ.
Сабақтың әдісі: СТО стратегиялары, деңгейлік тапсырмалар, сұрақ-жауап, жұппен жұмыс, топпен жұмыс әдістері.
Сабақтың көрнекілігі: Ақпараттық құралдар, слайд, графопроектор, бағалау парағы.
Сабақтың барысы:
І. Ұйымдастыру бөлімі
ІІ. Теориялық бөлім. Қайталау сұрақтары
ІІІ. Практикалық бөлім. Математикалық эстафета. (Сынып оқушылары 3 топқа бөлініп, өзара сайысады. )
ІҮ. Сабақты бекіту
Ү. Үйге тапсырма
ҮІ. Оқушыларды бағалау
І. Ұйымдастыру
Сабаққа әзірлікті бақылау;
Сабақтың мақсатымен таныстыру. Сабақтың әр кезеңінде топ жетекшісінің көмегі арқылы оқушылардың жауабын есепке алып отыру. Бағалау парағын пайдалану.
ІІ. 1-слайд . Қайталау сұрақтары:
- а санының n-ші дәрежелі түбірі деген не?
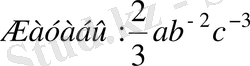
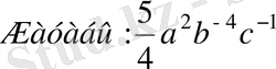
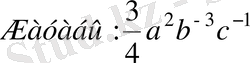
ІІІ. 2-Слайд .
Есептеңдер:
1-топ.
![]()
![]()
2-топ.
![]()
![]()
3-топ.
![]()
![]()
![]()
3-слайд. Өрнектің мәнін табыңдар:
1-топ.
![]()
![]()
2-топ.
![]()
![]()
3-топ.
![]()
![]()
4-слайд. Сандарды өсу ретімен орналастырыңдар:
1-топ.
![]()
![]()
2-топ.
![]()
![]()
3-топ.
![]()
![]()
![]()
5-слайд.
оң сандары берілген. Келесі амалды орындаңдар:
1-топ.
![]()
![]()
2-топ.
![]()
![]()
3-топ.
![]()
![]()
![]()
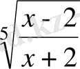
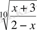
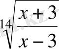
6-слайд. Өрнектің анықталу облысын табыңдар:
1-топ.
![]()
![]()
2-топ.
![]()
![]()
3-топ.
![]()
![]()
![]()
ІҮ. Сабақты бекіту. Блиц турнир . (ауызша)
Дұрыс жауабын тап.
1)
7) 5
2)
8) 22
3)
9) 3
4)
10)
5)
11) 6
6)
12) 1
Ү. Үйге тапсырма. 134-135 беттер №549, 553, 554 есептер.
ҮІ. Бағалау.
- Іс жүргізу
- Автоматтандыру, Техника
- Алғашқы әскери дайындық
- Астрономия
- Ауыл шаруашылығы
- Банк ісі
- Бизнесті бағалау
- Биология
- Бухгалтерлік іс
- Валеология
- Ветеринария
- География
- Геология, Геофизика, Геодезия
- Дін
- Ет, сүт, шарап өнімдері
- Жалпы тарих
- Жер кадастрі, Жылжымайтын мүлік
- Журналистика
- Информатика
- Кеден ісі
- Маркетинг
- Математика, Геометрия
- Медицина
- Мемлекеттік басқару
- Менеджмент
- Мұнай, Газ
- Мұрағат ісі
- Мәдениеттану
- ОБЖ (Основы безопасности жизнедеятельности)
- Педагогика
- Полиграфия
- Психология
- Салық
- Саясаттану
- Сақтандыру
- Сертификаттау, стандарттау
- Социология, Демография
- Спорт
- Статистика
- Тілтану, Филология
- Тарихи тұлғалар
- Тау-кен ісі
- Транспорт
- Туризм
- Физика
- Философия
- Халықаралық қатынастар
- Химия
- Экология, Қоршаған ортаны қорғау
- Экономика
- Экономикалық география
- Электротехника
- Қазақстан тарихы
- Қаржы
- Құрылыс
- Құқық, Криминалистика
- Әдебиет
- Өнер, музыка
- Өнеркәсіп, Өндіріс
Қазақ тілінде жазылған рефераттар, курстық жұмыстар, дипломдық жұмыстар бойынша біздің қор #1 болып табылады.

Ақпарат
Қосымша
Email: info@stud.kz