Қос теңсіздіктерді шешіңіздер

Сабақтың тақырыбы: Бір айнымалысы бар сызықтық теңсіздіктер жүйесін шешу.
Сабақтың мақсаты: Білімділік: Оқушылардың теңсіздіктерді шешіп, теңсіздіктің шешімін таба білу, жауабын жаза білуін, білімдерін нақтылау, жүйелеу, алған білімдерін тереңдету.
Тәрбиелілік:
Оқушыларды ұжымшылдыққа, жолдастыққа, алғырлыққа, белсенділікке, оқушының пәнге деген қызығушылығын арттыру, математикалық мәдениетке тәрбиелеу.
Дамытушылық:
Оқушылардың ойлау қабілеттерін, таным белсенділігін арттыру, оқушыны ұқыпты тыңдауға, практикамен ұштастыруға, тез шешім қабылдай білу мақсатында өз білімін нақты көрсете алуға дағдыландыру.
Сабақтың түрі:
пысықтау сабағы
Сабақтың әдісі:
СТО стратегиялары, деңгейлік тапсырмаларды орындау,
Сабақтың көрнекілігі:
кестелер, ҰБТ, ОЖСБ тапсырмалары, семантикалық карта, интерактивті тақта, бағалау парағы
Сабақтың барысы:
І. Ұйымдастыру кезеңі.
Оқушылармен амандасу, түгендеу. Сабаққа әзірлігін тексеру.
І. Қызығушылығын ояту
Білім деген биік шың,
Бақытқа сені жеткізер.
Білім деген ақылшың,
Қиындықтан өткізер-деп бүгінгі сабағымызда «Теңсіздіктер әлеміне» саяхатқа шықалы отырмыз. Бәріңізге сәттілік тілеймін. алғашқы аттанатын еліміз «Ережелер»еліне тоқталып, ережелерді еске түсірейік.
а) Үй жұмысын тексеру.
A № 1578 B № 1585
Келесі аялдамамыз «Ойшылдар елі» . Сіздерден әр тапсырмаларға ойланып, дұрыс жауап бергендеріңді қалаймын.
ә) . Өткен сабақты пысықтау.
1. Сәйкестік тестін орындаңыздар және координаталық түзуде кескіндеңдер








Жауабы: 14, 23, 32, 41
ІІ. Мағынаны тану.
а) Оқулықпен жұмыс №1581
б) Қатесін табыңыздар
.
Жауабы: Жауабы: Жауабы:
Дұрысы: Дұрысы: Дұрысы
в) Семантикалық картаны толтырыңыздар
Жауабы
Теңсіздіктер






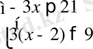
г) Қос теңсіздіктерді шешіңіздер
А А
В B
С C
Жауабы: А 4<х<20 немесе (4; 20) А -3<х<6 немесе (-3; 6)
В -1≤х<2 немесе [-1; 2) B -9<x≤-1 немесе (-9; -1]
C -3≤x<0 немесе [-3; 0) C -1<x<3 немесе (-1; 3)
д) ҰБТ және ОЖСБ есептерін шығару
ҰБТ жинақтары 29-нұсқа №9, 2007 жыл
Жауабы: Е) (-∞; -4)
ОЖСБ дайындық 4-нұсқа №16, 2013 жыл
Жауабы: В)
Сергіту сәті.
Білімділер еліне келдіп жеттік. Тапсырмаларымызды орындауда алдағы өткен білімдеріміз қажет.
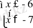
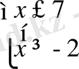
е) Теңсіздіктер жүйесінің шешімі болатын бүтін сандарды атаңыздар.
а) б) в)
Жауабы: а) -4, -3, -2, -1, 0, 1, 2, 3, 4, 5, 6
б) 5
в) -9, -8, -7, -6, -5, -4, -3, -2
ІІІ. Ой толғау.
а) Тест тапсырмасы компьютермен тексеру
1
2
3 -2≤х≤4 4
5
Жауабы
1. В [-3; 4)
2. С [2; 7)
3. Д
[-1; 2]
4. А
5. А (6; +∞)
Үй жұмысы №1579 А 1584 В
Бағалау. Оқушылардың бағалау парағы бойынша.
Бүгінгі сабағымызда теңсіздіктер әлеміне саяхат жасап, мынадай қорытындыға келдік естідім - ұмыттым, көрдім- есімде қалды, жасадым- үйреніп алдым . Сабаққа белсенді қатысқандарыңызға рахмет.
- Іс жүргізу
- Автоматтандыру, Техника
- Алғашқы әскери дайындық
- Астрономия
- Ауыл шаруашылығы
- Банк ісі
- Бизнесті бағалау
- Биология
- Бухгалтерлік іс
- Валеология
- Ветеринария
- География
- Геология, Геофизика, Геодезия
- Дін
- Ет, сүт, шарап өнімдері
- Жалпы тарих
- Жер кадастрі, Жылжымайтын мүлік
- Журналистика
- Информатика
- Кеден ісі
- Маркетинг
- Математика, Геометрия
- Медицина
- Мемлекеттік басқару
- Менеджмент
- Мұнай, Газ
- Мұрағат ісі
- Мәдениеттану
- ОБЖ (Основы безопасности жизнедеятельности)
- Педагогика
- Полиграфия
- Психология
- Салық
- Саясаттану
- Сақтандыру
- Сертификаттау, стандарттау
- Социология, Демография
- Спорт
- Статистика
- Тілтану, Филология
- Тарихи тұлғалар
- Тау-кен ісі
- Транспорт
- Туризм
- Физика
- Философия
- Халықаралық қатынастар
- Химия
- Экология, Қоршаған ортаны қорғау
- Экономика
- Экономикалық география
- Электротехника
- Қазақстан тарихы
- Қаржы
- Құрылыс
- Құқық, Криминалистика
- Әдебиет
- Өнер, музыка
- Өнеркәсіп, Өндіріс
Қазақ тілінде жазылған рефераттар, курстық жұмыстар, дипломдық жұмыстар бойынша біздің қор #1 болып табылады.

Ақпарат
Қосымша
Email: info@stud.kz