Барлық оқушылар квадраттық функция ұғымы туралы мәлімет



Барлық оқушылар: Оқушылардың барлығы Тікбұрышты үшбұрыштарды шешудің түрлері туралы мәлімет алады «квадраттық функция» ұғымы туралы мәлімет алады үшбұрышТікбұрышты үшбұрыштарды шешудің түрлері туралы мәлімет алады Тікбұрышты үшбұрыштарды шешудің түрлері туралы мәлімет алады Тікбұрышты үшбұрыштарды шешудің түрлері туралы мәлімет алады Тікбұрышты үшбұрыштарды шешудің түрлері туралы мәлімет алады Тікбұрышты үшбұрыштарды шешудің түрлері туралы мәлімет алады .
Оқушылардың басым көпшілігі: оқушылардың 60 пайызы 20 минуттың ішінде «квадраттық функция» ұғымымен, оның дербес түрлерімен танысады.
Жекелеген оқушылар : 40 пайыз оқушы 20 минут уақыт ішінде белгілі графиктердің көмегімен квадраттық функцияның графигін салуды үйренеді.
Барлық оқушылар «квадраттық функция» ұғымы туралы мәлімет алады үшбұрышТікбұрышты үшбұрыштарды шешудің түрлері туралы мәлімет алады Тікбұрышты үшбұрыштарды шешудің түрлері туралы мәлімет алады Тікбұрышты үшбұрыштарды шешудің түрлері туралы мәлімет алады Тікбұрышты үшбұрыштарды шешудің түрлері туралы мәлімет алады Тікбұрышты үшбұрыштарды шешудің түрлері туралы мәлімет алады .
Негізгі сөздер мен тіркестер: квадраттық функция, квадраттық функцияның графигі.
Берілген тірек сөздерді квадраттық функция, квадраттық функцияның графигін есептер шығаруда қолданады.
1. Оқушылар арасында жағым-ды ахуал орнату мақсатында «Дракон» тренингін өткізу.
2. Топтастыру (функциялар арқылы)
Оқушылар сергіту сәтін жасайды.
3 топқа бөлінеді:
1-топ. Парабола
2-топ. Гипербола
3-топ. Кубтық парабола
«Серпілген сауал» әдісі арқылы өткен сабаққа шолу.
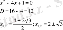
Сұрақтар: 1. Квадрат үшмүше дегеніміз не? 2. Квадрат үшмүшенің құрамы туралы айтып беріңіз. 3. Квадрат үшмүшенің түбірі дегеніміз не? 4. D>0, D=0, D<0 жағдайында көбейткіштерге жіктеу формуласы?
Үй тапсырмасын тексеру: №242
Әр топ допты бір-біріне лақтыра отырып интербелсенді тақтада берілген сұрақтарға кезек-кезек жауап береді. Жауап бере алмаған оқушы өз тобынан көмек сұрай алады. Жауап беріп болған соң допты келесі топқа лақтырады. 1.
түріндегі көпмүше квадрат үшмүше деп аталады. 2. а-квадрат үшмүшенің бірінші коэффициенті, b-екінші коэффициенті, с-бос мүше. 3. Квадрат үшмүшені 0-ге айналдыратын х айнымалысының мәндерін к. ү. түбірі деп аталады. 4. D>0,
D=0,
D<0 көбейткіштерге жіктелмейді.
Үй тапсырмасы жұптасып тексеріледі.
Әр топ допты бір-біріне лақтыра отырып интерактивті тақтадан кезек-кезек көрінетін, өтілген тақырыпқа байланысты сұрақтарға жауап береді. Жауап бере алмаған оқушы өз тобынан «Серпілген сауал» әдісі арқылы үй тапсырмасын сұрау. Әр топ допты бір-біріне лақтыра отырып интерактивті тақтадан кезек-кезек көрінетін, өтілген тақырыпқа байланысты сұрақтарға жауап береді. Жауап бере алмаған оқушы өз тобынан көмек сұрай алады. Сұрақтар «Серпілген сауал» әдісі арқылы үй тапсырмасын сұрау. Әр топ допты бір-біріне лақтыра отырып интерактивті тақтадан кезек-кезек көрінетін, өтілген тақырыпқа байланысты сұрақтарға жауап береді. Жауап бере алмаған оқушы өз тобынан көмек сұрай алады. Сұрақт «Серпілген сауал» әдісі арқылы үй тапсырмасын сұрау. Әр топ допты бір-біріне лақтыра отырып интерактивті тақтадан кезек-кезек көрінетін, өтілген тақырыпқа байланысты сұрақтарға жауап береді. Жауап бере алмаған оқушы өз тобынан көмек сұрай алады. Сұрақтар:
Үш шапалақ
Өзара бағалау
Жаңа сабақ
Квадраттық функцияның анықтамасы.
және
функциялары.
Жаңа сабақ түсіндіріледі.







Оқулық,
стикер
- Іс жүргізу
- Автоматтандыру, Техника
- Алғашқы әскери дайындық
- Астрономия
- Ауыл шаруашылығы
- Банк ісі
- Бизнесті бағалау
- Биология
- Бухгалтерлік іс
- Валеология
- Ветеринария
- География
- Геология, Геофизика, Геодезия
- Дін
- Ет, сүт, шарап өнімдері
- Жалпы тарих
- Жер кадастрі, Жылжымайтын мүлік
- Журналистика
- Информатика
- Кеден ісі
- Маркетинг
- Математика, Геометрия
- Медицина
- Мемлекеттік басқару
- Менеджмент
- Мұнай, Газ
- Мұрағат ісі
- Мәдениеттану
- ОБЖ (Основы безопасности жизнедеятельности)
- Педагогика
- Полиграфия
- Психология
- Салық
- Саясаттану
- Сақтандыру
- Сертификаттау, стандарттау
- Социология, Демография
- Спорт
- Статистика
- Тілтану, Филология
- Тарихи тұлғалар
- Тау-кен ісі
- Транспорт
- Туризм
- Физика
- Философия
- Халықаралық қатынастар
- Химия
- Экология, Қоршаған ортаны қорғау
- Экономика
- Экономикалық география
- Электротехника
- Қазақстан тарихы
- Қаржы
- Құрылыс
- Құқық, Криминалистика
- Әдебиет
- Өнер, музыка
- Өнеркәсіп, Өндіріс
Қазақ тілінде жазылған рефераттар, курстық жұмыстар, дипломдық жұмыстар бойынша біздің қор #1 болып табылады.

Ақпарат
Қосымша
Email: info@stud.kz