Жай бөлшектерді көбейту ережесі мұнд

Қарабалаева Салтанат Алтайқызы,
Шымкент қаласы, Циолковский
атындағы №84 орта мектебінің
математика пәнінің мұғалімі
Сабақтың тақырыбы: Жай бөлшектерді көбейту
Сабақтың мақсаты:
1. Білімділік: Бөлшектерді көбейту тақырыбын тірек конспектісі бойынша түсіндіруді қолдану.
1)
Equation. 3 ережесін жатқа білу, қолдана алу.
2. Дамытушылық: Деңгейлеп оқыту арқылы оқушылардың есептерді шыға-рудағы логикалық ойлау қабілеттерін, есте сақтау және зейін қою қабілеттерін дамыту. Практикалық дағдыларын қалыптастыру, пәнге деген қызығушылығын арттыру.
3. Тәрбиелілік: Деңгейлік тапсырмаларды орындау арқылы өзіндік ізденіс-терін қалыптастыру. Сын тұрғысынан саралай білуге тәрбиелеу. Бір-біріне доста-рына көмек көрсетіп, топ, ұжым болып бірлесіп, тату-тәтті жұмыс істей білуге тәрбиелеу.
Сабақтың түрі: Топтық сайыс ойын сабағы.
Сабақтың көрнекілігі: Тірек-конспект жазылған плакаттар, тест, логикалық есептер және сөзжұмбақтар жазылған кесте карточкалар, бағалау кестелері, төс белгілері.
Пәнаралық байланыс: Тарих, қазақ тілі, қазақ әдебиеті.
Сабақтың барысы: І. Ой қозғау: Нені біліп шығу керек?
ІІ. Ой толғау: Нені білгіміз келеді?
ІІІ. Ой қорытыу: Нені білдік?
І. Ұйымдастыру кезеңі.
Оқушылардың сабаққа даярлығын, қатысуын шолып өту, оқу құралдарын түгелдеу.
ІІ. Үйге берілген есептерді тексеру.
ІІІ. Бүгінгі сабақ топтық сайыс ойын сабағы екенін хабарлау. Оқушы-ларды үш топқа бөлу.
І-топ: Дұрыс бөлшек. Топ басшысы Әлімбеков Тайырбек.
ІІ-топ: Бұрыс бөлшек. Топ басшысы Сындар Данияр.
ІІІ-топ: Аралас сан. Топ басшысы: Ыдырысов Қуаныш.
Әр топ бөлшектерге анықтама беріп, өз аттарын қорғайды.
IV. Өткен сабақты пысықтау үшін қайталауға тест беріледі. Әр топтағы оқушылар өздерінің нөмірі бойынша тесттегі есептерді шығарады. Мұғалім ауыз-ша жауаптарын тексереді. Дұрыс жауаптар бойынша ұпай жинайды.
Тест (қайталау)
№1
№2
№3
№4
№5
№6
Жаңа сабақтың құрылымы
(плакат)
V. Жаңа сабақты баяндау.
§ 21. Жай бөлшектерді көбейту (дәптерлеріне жаздырту)
І. Ой қозғау: Тақырыпқа алдын ала даярлық тапсырмасында бөлшекті нату-рал санға көбейтуді тең бөлшектердің қосындысы түрінде үйретіледі. Мысалы:
(Бөлшектің алымы мен натурал сан көбейтіліп алымға жазылды. Бөлімі өзгеріссіз қалады) .
Мысалы:
![]()
ІІ. Ой толғау.
Көбейту амалы қандай қарапайым есептерді шығарғанда пайдаланылады?
- Тік төртбұрыштың қабырғалары берілгенде ауданын есептеуде.
- Заттың құнын есептегенде бағасы мен данасы немесе массасы көбейтіледі.
- Жылдамдық пен уақытты көбейтіп, жүрілген жолды есептеуде.
- Тік бұрышты параллепипедтің (м/ы: бөлменің көлемі) көлемін, үш өлшемін ұзындығын, енін, биіктігін көбейтіп есептеуде және т. б. есептер шешуде ондағы шамалар бөлшектермен бірлесе, онда бөлшектерді көбейту амалын білуіміз керек.
Мысалы: Тік төртбұрыш АВСD (плакатта жазылған) ұзындығы
Шешуі: S=ұз. ені
Жауабы:
қалай шықты?
Ол үшін қабырғасының ұзындығы 1дм-ге тең шаршы аламыз. Ауданының өлшем бірлігі шаршы бойынша есептелінеді. Ұзындық бойынша шаршыны тең
1 дм.

А 1 дм
D
5 бөлікке, ені бойынша тең 3 бөлікке (бөлшектің бөлімдері бойынша) барлығы тең 15 бөлікке (үлеске) бөлейік. Сонда бір бөліктің ауданы
Енді ұзындығынан бөлшектің алымы бойынша 4 бөлікті, енінен бөлшектің алымы бойынша 2 бөлікті бөліп алып, осы бөліктерді бояйық. Сонда ізделенді АВСD тік төртбұрышы шығады. Бұл тік төртбұрышта 8 бөлік боялады. Боялған АВСD тік төртбұрыштың ауданы
Бұл
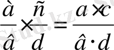
жай бөлшегінің алымы көбейтіндісін бөлшектердің алымдарының көбейтіндісі 4·2=8 болса, ал бөлімі олардың бөлімдерінің көбейтінді 5·3=15 екенін көріп тұрмыз.
Енді оқушыларға қосымша сұрақтар қойып, оларды жай бөлшектерді көбейту ережесін өздері қорытуға жетелеу керек.
Сұрақтар:
- Шаршы неше бөлікке бөлінеді? (15) .
- Көбейтінді бөлшектің бөлімі қалай табылады? (5·3=15 бөлімдерін көбей-тіп) .
- Тік төртбұрышта неше бөлік бар? (8)
- Көбейтінді бөлшектің алымы қалай табылады? (4·2=8 алымдарын көбей-тіп) .
Осы сұрақтарға жауап беру барысында оқушылар жай бөлшектерді көбейту ережесін өздері тұжырымдап айтады.
Міндетті түрде мұғалімнің өзі ережені оқушыларға ерекше дауыспен айту керек. Сонан соң оның әріппен жазылуын формула
түрінде жазған жөн. Ары қарай тірек конспекті жазылған плакат бойынша түсіндіру.
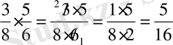
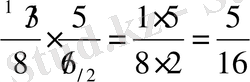
Жай бөлшектерді көбейткенде бөлшектерді қысқартып, болған соң, көбейту керек.
Мысалы:
немесе қысқаша
Бөлшекті натурал санға көбейту (немесе керісінше) . Бұл есеп ой қозғауда қарастырылды ғой, сондықтан ережесін оқушылардың өздеріне қорытуға жетелеу керек:
Ереже: Натурал санды бөлшекке көбейткенде натурал сан бөлшектің алымына көбейтіліп, көбейтінді бөлшектің алымы ретінде алынады да, бөлі-мі өзгеріссіз сол қалпында жазылады.
немесе
Аралас сандарды көбейту.
Алдын ала мысалды жазып, шығарылу жолын көрсетіп қойып, оқушыларға көбейтінді бөлшектің қалай шыққандығы туралы ой тастау керек. Есепке қарап отырып оқушылар аралас сандарды бұрыс бөлшекке айналдырғанын байқап, ережені оқушылардың өздеріне қорытуға жетелеу керек.
- Іс жүргізу
- Автоматтандыру, Техника
- Алғашқы әскери дайындық
- Астрономия
- Ауыл шаруашылығы
- Банк ісі
- Бизнесті бағалау
- Биология
- Бухгалтерлік іс
- Валеология
- Ветеринария
- География
- Геология, Геофизика, Геодезия
- Дін
- Ет, сүт, шарап өнімдері
- Жалпы тарих
- Жер кадастрі, Жылжымайтын мүлік
- Журналистика
- Информатика
- Кеден ісі
- Маркетинг
- Математика, Геометрия
- Медицина
- Мемлекеттік басқару
- Менеджмент
- Мұнай, Газ
- Мұрағат ісі
- Мәдениеттану
- ОБЖ (Основы безопасности жизнедеятельности)
- Педагогика
- Полиграфия
- Психология
- Салық
- Саясаттану
- Сақтандыру
- Сертификаттау, стандарттау
- Социология, Демография
- Спорт
- Статистика
- Тілтану, Филология
- Тарихи тұлғалар
- Тау-кен ісі
- Транспорт
- Туризм
- Физика
- Философия
- Халықаралық қатынастар
- Химия
- Экология, Қоршаған ортаны қорғау
- Экономика
- Экономикалық география
- Электротехника
- Қазақстан тарихы
- Қаржы
- Құрылыс
- Құқық, Криминалистика
- Әдебиет
- Өнер, музыка
- Өнеркәсіп, Өндіріс
Қазақ тілінде жазылған рефераттар, курстық жұмыстар, дипломдық жұмыстар бойынша біздің қор #1 болып табылады.

Ақпарат
Қосымша
Email: info@stud.kz