Мынадай сызықтармен шектелген фигураның ауданын есептеңдер

Бақылау жұмысы №3
І- нұсқа.
А деңгейі.
1. Өрнекті ықшамдап, мәнін табыңдар.
а)
ә)
2. f(х) функциясының берілген нүктедегі мәнін табыңдар.
f(х)
, х=1
3. Абсциссасы х=а нүктесінде у= f(х) функциясының графигіне жүргізілген жанаманың теңдеуін жазыңдар.
f(х)
, x=1
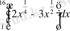
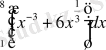
4. Есептеңдер.
В деңгейі.
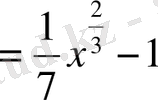
1. Өрнекті ықшамдаңдар.
а)
:
ә)
:
2. Берілген қисықтармен шектелген жазық фигураның ауданын табыңдар.
y=
, х=-4, x=-1, y=-1
3. у= f(х) функциясының алғашқы функциясын жазыңдар.
а) f(х)
ә) f(х)
С деңгейі.
1. Мынадай сызықтармен шектелген фигураның ауданын есептеңдер.
y=1-cosx, y=0,
Бақылау жұмысы №3
ІІ- нұсқа.
А деңгейі.
1. Өрнекті ықшамдап, мәнін табыңдар.
а)
ә)
2. f(х) функциясының берілген нүктедегі мәнін табыңдар.
f(х)
, х=625
3. Абсциссасы х=а нүктесінде у= f(х) функциясының графигіне жүргізілген жанаманың теңдеуін жазыңдар.
f(х)
, x=-1
4. Есептеңдер.
В деңгейі.
1. Өрнекті ықшамдаңдар.
а)
:
ә)
:
2. Берілген қисықтармен шектелген жазық фигураның ауданын табыңдар.
y=
, х=-3, x=-2, y=2
3. у= f(х) функциясының алғашқы функциясын жазыңдар.
а) f(х)
ә) f(х)
С деңгейі.
1. Мынадай сызықтармен шектелген фигураның ауданын есептеңдер.
y=
, y=0,
- Іс жүргізу
- Автоматтандыру, Техника
- Алғашқы әскери дайындық
- Астрономия
- Ауыл шаруашылығы
- Банк ісі
- Бизнесті бағалау
- Биология
- Бухгалтерлік іс
- Валеология
- Ветеринария
- География
- Геология, Геофизика, Геодезия
- Дін
- Ет, сүт, шарап өнімдері
- Жалпы тарих
- Жер кадастрі, Жылжымайтын мүлік
- Журналистика
- Информатика
- Кеден ісі
- Маркетинг
- Математика, Геометрия
- Медицина
- Мемлекеттік басқару
- Менеджмент
- Мұнай, Газ
- Мұрағат ісі
- Мәдениеттану
- ОБЖ (Основы безопасности жизнедеятельности)
- Педагогика
- Полиграфия
- Психология
- Салық
- Саясаттану
- Сақтандыру
- Сертификаттау, стандарттау
- Социология, Демография
- Спорт
- Статистика
- Тілтану, Филология
- Тарихи тұлғалар
- Тау-кен ісі
- Транспорт
- Туризм
- Физика
- Философия
- Халықаралық қатынастар
- Химия
- Экология, Қоршаған ортаны қорғау
- Экономика
- Экономикалық география
- Электротехника
- Қазақстан тарихы
- Қаржы
- Құрылыс
- Құқық, Криминалистика
- Әдебиет
- Өнер, музыка
- Өнеркәсіп, Өндіріс
Қазақ тілінде жазылған рефераттар, курстық жұмыстар, дипломдық жұмыстар бойынша біздің қор #1 болып табылады.

Ақпарат
Қосымша
Email: info@stud.kz