Екі өрнектің кубтарының қосындысы мен кубтарының айырмасының формуласы

Қарасу мемлекеттік тілде оқытатын негізгі мектеп
Тақырыбы: : Екі өрнектің кубтарының қосындысы мен кубтарының айырмасының формуласы
Сынып: 7
Пән мұғалімі: Самартаева К. Ж
2015 ж
Күні: 22. 01. 2015ж Сыныбы: 7 Пәні: Алгебра
Сабақтың тақырыбы: Екі өрнектің кубтарының қосындысы мен кубтарының айырмасының формуласы
Сабақтың мақсаты:
Білімділік: Оқушылардың өткен сабақта алған білімдерін толықтыра отырып, бүгінгі сабақпен сабақтастыра отырып бекіту
Тәрбиелік: Оқушыларды ұқыптылыққа, жинақтылыққа тәрбиелеу
Дамытушылық: Оқушылардың ой - өрісін кеңейту, есеп шығару қабілетін дамыту.
Түрі: Бекіту сабағы
Әдіс-тәсілі: СТО, деңгейлік тапсырмалар
Көрнекілік: презентация, бағалау парағы, текше, үлестірмелі қағаздар
Сабақтың барысы:
І Ұйымдастыру кезеңі
- Сәлемдесу, оқушыларды түгендеу, сабаққа даярлығын тексеру
- Оқушылардың назарын сабаққа аудару (жүрекше арқылы оқушылар бір-біріне жылы лебіздері мен тілектерін білдіру)
ІІ Үй тапсырмасын тексеру ( мозаика арқылы есепті құрастыру)
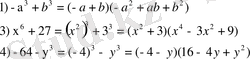
№405 (1; 3; 4)
ІІІ Өткен сабақты пысықтау
Сәйкестендіру


IV Деңгейлік тапсырмалар
А деңгейі
В деңгейі
Сергіту сәті
С деңгейі
VI Бекіту
«Домино» ойыны арқылы анықтаманы құрастыру және оның қандай формула екенін айту
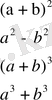
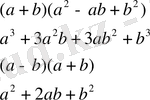
- Екі өрнектің кубтарының қосындысы осы өрнектердің қосындысын олардың айырмасының толымсыз квадратына көбейткенге тең.
Жауабы: екі өрнектің кубтарының қосындысының анықтамасы, формуласы а 3 +в 3
- Екі өрнектің кубтарының айырмасы осы өрнектердің айырмасын олардың қосындысының толымсыз квадратына көбейткенге тең.
Жауабы: екі өрнектің кубтарының айырмасының анықтамасы, формуласы а 3 -в 3
VII Қорытынды
MS Excel бағдарламасы арқылы баламалы тест алу
1) Қосындының толымсыз квадратының формуласын көрсет
a) a 2 +ab+b 2 b) a 2 +2ab+b 2
2) Айырманың толымсыз квадратының формуласын көрсет
a) a 2 -2ab+b 2 b) a 2 -ab-b 2
3) Екі өрнектің кубтарының қосындысының формуласын көрсет
а) (a+b) 3 b) a 3 +b 3
4) Екі өрнектің кубтарының айырмасының формуласын көрсет
а) a 3 -b 3 b) (a-b) 3
5) Екі өрнектің қосындысының кубының формуласын көрсет
а) (a+b) 3 b) a 3 +b 3
Жауабы:
- А
- В
- В
- В
- А
VIIІ Үй тапсырмасы: №407, формула жаттау
IX Бағалау
Бағалау парағы
Рефлексия
- Іс жүргізу
- Автоматтандыру, Техника
- Алғашқы әскери дайындық
- Астрономия
- Ауыл шаруашылығы
- Банк ісі
- Бизнесті бағалау
- Биология
- Бухгалтерлік іс
- Валеология
- Ветеринария
- География
- Геология, Геофизика, Геодезия
- Дін
- Ет, сүт, шарап өнімдері
- Жалпы тарих
- Жер кадастрі, Жылжымайтын мүлік
- Журналистика
- Информатика
- Кеден ісі
- Маркетинг
- Математика, Геометрия
- Медицина
- Мемлекеттік басқару
- Менеджмент
- Мұнай, Газ
- Мұрағат ісі
- Мәдениеттану
- ОБЖ (Основы безопасности жизнедеятельности)
- Педагогика
- Полиграфия
- Психология
- Салық
- Саясаттану
- Сақтандыру
- Сертификаттау, стандарттау
- Социология, Демография
- Спорт
- Статистика
- Тілтану, Филология
- Тарихи тұлғалар
- Тау-кен ісі
- Транспорт
- Туризм
- Физика
- Философия
- Халықаралық қатынастар
- Химия
- Экология, Қоршаған ортаны қорғау
- Экономика
- Экономикалық география
- Электротехника
- Қазақстан тарихы
- Қаржы
- Құрылыс
- Құқық, Криминалистика
- Әдебиет
- Өнер, музыка
- Өнеркәсіп, Өндіріс
Қазақ тілінде жазылған рефераттар, курстық жұмыстар, дипломдық жұмыстар бойынша біздің қор #1 болып табылады.

Ақпарат
Қосымша
Email: info@stud.kz