Арифметическая прогрессия

Павлодар қаласындағы № 22 жалпы орта
білім беру мектебі
Ашық сабақ
Математика мұғалімі: Тлеумбетова Динара Тажимбетовна
Павлодар, 2014 жыл
Өткізілу мерзімі: 05. 12. 14
Сынып: 9 «А»
Сабақтың тақырыбы: «Арифметическая прогрессия»
Мақсаты:
Білімділік мақсаты: Арифметикалық прогрессия тақырыбы бойынша алған білімдерін тексеру, меңгерген теориялық білімдерін бір жүйеге келтіру, қалыптасқан дағдыларын бекіту
Дамытушылық мақсаты: Оқушылардың логикалық қабілеттерін, ой өрісін кеңейту, ауызша есептеу жылдамдықтарын арттыру, математика тілінде сөйлеу мәдениетін қалыптастыру, қажетті білім, білік, іскерлік дағдыларын қалыптастыру.
Тәрбиелік мақсаты: Өмірдің барлық саласында белсенді, жан-жақты болатын тұлғаны тәрбилеу.
Сабақтың түрі: практикалық сабақ(пысықтау)
Құрал-жабдықтар, көрнекті құралдар: оқулық, дидактикалық материалдар, интербелсенді тақта.
Әдіс - тәсілдер: тест, топтық жұмыс, өзің-өзі бағалау.
Ұйымдастыру кезеңі:
а) амандасу;
ә) түгендеу;
б) дайындау;
в) кезекшімен жұмыс
Сабақ барысы:
- Оқушыларға дұрыс психологиялық ахуал туғызу.
Психологиялық минутка
Ерте заманда бір ескі қалада бір ақылды, дана адам мен ашушаң, долы адам өмір сүріпті. Сол ашулы адам үнемі дана адамның ақылдылығына қызғанып жүрді. Күндердің күнінде долы адам ақылды адамға жауабын табуға болмайтын бір қиын сұрақ қоймақшы болады. Сөйтіп жүріп, ол даладан ұшып жүрген көбелекті ұстап алады. Ол көбелекті қолыңа қатты қысып алып, дана адамға сұрақ қоюға барады. Егер дана адам тірі деп айтса, қолымен қысып тастаймын, ал өлі деп айтса, жібере саламын деген ойы болды. . «Ей, дана адам! Менің саған қоятын бір сұрағым бар» - депті. «Ол қандай сұрақ" - деп сұрады дана адам. Сонда долы адам: «Менің қолымда көбелек бар, ол көбелек тірі ме, әлде өлі ме? Кәне, ақылды болсаң, осы сұраққа жауап тауып көрші» - депті. Дана адам оған былай деп жауап берді: «Көбелектің тірі болуы, әлде өлі ме болуы бәрі сенің қолыңда».
Өмірде де қиын кезеңдер, жағдайлар болады. Ол қиыншылықтарды жеңіп шығу сендердің қолыңда. Ендеше «Бәрі сенің қолыңда» деген дана адамның сөзің бүгінгі сабақтың ұраны ретінде таңдап алып, бүгінгі сабақтардың тапсырмаларын орындауға кірісейік.
- Дәптерлеріңізді ашып, бүгінгі күнді жазып қойыңдар.
- Бүгін сабақта, бір «Арифметикалық прогрессия» тақырыбын жалғастырамыз, бұл тақырыпты қорытындылаймыз.
2. Өткен сабақта алған білімдерін тексеру.
- Сандар тізбегі дегеніміз не?
Жауабы. Натурал аргументті функцияны сандар тізбегі , ал тізбекті құрайтын сандарды тізбектің мүшелері деп аталады.
- Сандар тізбегінің берілу тәсілдерін атап шығыңыздар?
Жауабы. Баяндау, аналитикалық, рекуренттік, графиктік
- Баяндау тәсілі дегеніміз не?
Жауабы. Сандар тізбегінің орналасу заңдылығы сөзбен беріледі.
- Аналитикалық тәсіл дегеніміз не?
Жауабы. Тізбек n-ші мүшесінің формуласы арқылы беріледі.
- Рекуренттік тәсіл дегеніміз не?
Жауабы. Келесі мүше алдыңғы мүше арқылы анықталады.
- Арифметикалық прогрессия дегеніміз не?
Жауабы. Екінші мүшесінен бастап әрбір мүшесі алдыңғы мүшесіне қандай да бір тұрақты санды қосқанда шығатын сандар тізбегін арифметикалық прогрессия деп атаймыз.
- Тақтада берілген тапсырмаларды шығару.
Сіздердің алдарыңызда тақтада тапсырмалар берілген. Осы есептерді шығару арқылы сіздер әл-Хорезмидің енгізген математиканың бір саласы болып келетін жаңа терминмен таныс боласыңдар. («Аль-джебр»)
(Тақтада есептер кесте түрінде беріледі. Әр топ өзіңі тиісті тапсырманы орындайды) .
- an=5n+2 формуласымен берілген тізбектің үшінші мүшесін табыңдар. (17)
- bn=n2-3 формуласымен берілген тізбектің үшінші мүшесін табыңдар. (6)
- an+1=an-4 рекуренттік формуласы берілген, мұндағы a1=5. a2=? (1)
- рекуренттік формуласы берілген, мұндағы b1=8. b2=? (2)
- Арифметикалық прогрессияның бірінші мүшесі 4-ке, ал екінші мүшесі 8-ке тең. Айырманы табыңдар. (4)
- Арифметикалық прогрессияның бірінші мүшесі 6-ға, ал екінші мүшесі 3-ке тең. Тізбектің үшінші мүшесін табыңдар. (0)
Арифметикалық прогрессияны математикада қолдану.



Арифметикалық прогрессияны өмірде қолдану.
1 топ. Спорт
Альпинист бірінші күні 1400 метр биіктікке дейін көтеріледі, ал екніші күні алдыңғы күнге қарағанда 100 метрге кем қозғалыс жасайды. 5000 метрді альпинист неше күнде жүріп өтеді?
Шешуі:
Жауабы: альпинист биікті 4 күнде жүріп өтеді.
2 топ. Медицина
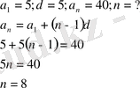
Дәрігердің кеңесі бойынша демалушы адам 5 минуттан күннің көзіңе шығып отырды. Ал келесі күнде күннің көзіңе шығу уақытын 5 минутқа артып отырды. Неше күннен кейін оның күннің көзіңе шығу уақыты 40 минутты құрайтын болады?
Шешуі:
Жауабы: 8 күні
3 топ. Құрылыс, өндіріс саласы
Құдықты қазатын жұмысшыларға алғашқы 1 метрге 30 теңге төлемақы төленетіні туралы уәде берілді. Ал келесі әр метрге алдыңғы метрге қарағанда 20 теңгеден үстіне қосылып отырады. 12 метрлік құдықты қазып шығу үшін жұмысшы қанша ақша алады? (Ж: 1680 тг)
Шешуі:
Жауабы: 1680 теңге
Қосымша тапсырма
ЭКОНОМИКА саласы.
1. Еркіннің ата-анасы туған күніне баласына ұялы телефонды жаңартып сатып беруге ұйғарды . Ол үшін олар бірінші айда 650 теңге, ал келесі айларда алдынғы айдан 50 теңгеге артық ақша жинап отырды. Еркіннің ата-анасы 10 айдан кейін қанша ақша жинайды?
- Тест тапсырманы орындау.
- Төмендегі тізбектердің қайсысы арифметикалық прогрессия болып табылады?
- -2; -4; -6; -8; -10; …
- -13; -3; 13; 23; …
- 4; 8; 12; 15; …
Жауабы: А)
- Арифметикалық прогрессияның айырымын табыңдар.
Жауабы: С)
- Іс жүргізу
- Автоматтандыру, Техника
- Алғашқы әскери дайындық
- Астрономия
- Ауыл шаруашылығы
- Банк ісі
- Бизнесті бағалау
- Биология
- Бухгалтерлік іс
- Валеология
- Ветеринария
- География
- Геология, Геофизика, Геодезия
- Дін
- Ет, сүт, шарап өнімдері
- Жалпы тарих
- Жер кадастрі, Жылжымайтын мүлік
- Журналистика
- Информатика
- Кеден ісі
- Маркетинг
- Математика, Геометрия
- Медицина
- Мемлекеттік басқару
- Менеджмент
- Мұнай, Газ
- Мұрағат ісі
- Мәдениеттану
- ОБЖ (Основы безопасности жизнедеятельности)
- Педагогика
- Полиграфия
- Психология
- Салық
- Саясаттану
- Сақтандыру
- Сертификаттау, стандарттау
- Социология, Демография
- Спорт
- Статистика
- Тілтану, Филология
- Тарихи тұлғалар
- Тау-кен ісі
- Транспорт
- Туризм
- Физика
- Философия
- Халықаралық қатынастар
- Химия
- Экология, Қоршаған ортаны қорғау
- Экономика
- Экономикалық география
- Электротехника
- Қазақстан тарихы
- Қаржы
- Құрылыс
- Құқық, Криминалистика
- Әдебиет
- Өнер, музыка
- Өнеркәсіп, Өндіріс
Қазақ тілінде жазылған рефераттар, курстық жұмыстар, дипломдық жұмыстар бойынша біздің қор #1 болып табылады.

Ақпарат
Қосымша
Email: info@stud.kz