Программа орындалуын тоқтату

Қызылорда облысы Қармақшы ауданы
Ақай ауылы №99 орта мектептің
информатика пәнінің мұғалімі Дюсембаева Риза
Сарамандық жұмыстар жинағы
9 сынып
№1 САРАМАНДЫҚ ЖҰМЫС
1970 жылы программалау әлемінде кемінде екі маңызды оқиға болды, олар: UNIX - операциялық жүйесінің және Паскаль атты жаңа программалау тілінің пайда болуы. Бұл тілді алғашқыда жалпы программалауды оқыту мақсатымен құрастырған Швейцариядағы жоғарғы политехникалық мектебінің Информатика институтының директоры, профессор Никлаус Вирт (1968-1971 жж) . Жаңа программалау тіліне француз математигі, физигі және философы, көрнекті ғалым Блез Паскаль (1623-1662 жж. ) есімі берілді.
Турбо Паскаль интегралдық программасын іске қосу үшін ағымдық каталог Турбо Паскаль болуы керек немесе Turbo. ехе командасы берілуі тиіс.
БАС МӘЗІР
File - файл нұсқаулары
Edit - редакциялау нұсқаулары
Search - іздеу нұсқаулары
Run - программаны іске қосу
Compiler - компиляциялау нұсқаулары
Debug - программаның орындалуын түзеу
Tools - құралдар
Options - операциялар
Windows - терезелер
Help - анықтамалар жүйесі
File : Open . . . F3 - дискіде бар программаны ашу;
New - редактордың жаңа терезесін ашу;
Save F2 - программаны ағымдағы атымен дискіге жазу;
Save as - программаны атын көрсетіп дискіге жазу;
Exit - ортадан шығу немесе Alt+X
БАТЫРМАЛАР ҚЫЗМЕТІ
Жөндеуді тоқтату (көк жолақты алып тастау)
Ctrl+F8 - қызыл жолақты алып тастау
МОДУЛЬДЕР
Turbo Pascal келесі модульдер кітапханасын құрайды: SYSTEM, DOS, CRT, GRAPH
және т. б.
Егер жұмысты тестік режимде жүргізсек, CRT модульлін жариялау керек, егер гафикалық жұмыс орындау керек болса, онда Graph модульін жариялау керек.
Мысал,
Program Misal;
USES CRT, GRAPH;
Var . . .
Программаның орындалуы нәтижесін көру үшін программа соңында READLN немесе READKEY деп көрсету керек, әйтпесе программа орындалуынан кейін редакторға автоматты түрде қайта өту орындалады. Бұл командаларсыз автоматты түрде редакторға қайта оралу орындалады. Мұндай жағдайда қолданушы экранын көру үшін Alt+F5 батырмасын басу керек.
ТАПСЫРМАЛАР
1. Редакторға кіріп экранда мына қатарды көрсету:
* : = - / ? ( ) [ { ] } ' `, . " ; + < > % ъ _ 1 2 0 9 4 8 7 6 3 5
PROGRAM program CONST const type TYPE Begin End procedure
{ Y=sin(x) функциясын есептеу программасы}
2. Экранда алынған тексте жолдарды қозғау.
3. Алғашқы үш жолды тең бөлу, яғни жеті жол алу.
4. Алтыншы жолды өшіру.
5. Бос жолдарды жою.
6. Бірінші жолды мәтін соңына көшіру.
7. 4 және 5 жолдар арасына бірінші жолды орналастыру.
8. 3 және 4 жолдарды мәтіннің басына орналастыру.
9. 1-ю -'*', 2-ю - '=', 3-ю - '-' жолдарының астын сызу.
САРАМАНДЫҚ ЖҰМЫСҚА ҚОСЫМШАПАСКАЛЬ ТІЛІНІҢ НЕГІЗГІ ТИПТЕРІ:
-2 147 483 648-ден
2 147 483 647-ге дейін
ABS(X) абсолют - х -тің авсалюттік мәні │x│
SIN(X) синус - синус x, мұн x радианмен. град . рад. ауыстыру X=X*PI/180
COS(X) косинус - косинус x, мұндағы x радианмен
ARCTAN(X) арктан - арктангенс х, мұнда нәтиже радианмен
SQR(X) сквэа - х квадраты SQuaRe -англ.
SQRT(X) сквэати - х-тің квадрат түбірі SQuare RooT -англ.
PI пи - констант (π≈3. 141592)
ROUND(X) раунд - х-ті дөңгелектеу. нәтиже - integer
TRUNC(X) транк - х-тің бүтін бөлігі. Нәтиже - integer
INT(X) инт - Х-тің бүтін бөлігі. Нәтиже - real
ODD(X) од - х-тің тақ сан екенін анықтау. ODD(7) =true, ODD(8) =false
FRAC(X) фрак - х- тің бүтін бөлігін шығару
EXP(X) эксп - функцияның эспоненті y=e x (e≈2. 71828)
LN(X) лн - натурал логарифм y=ln x
Дәрежені есептеу формуласы
=EXP(LN(a) *x) - a>0 и x>1 үшін
=EXP(LN(ABS(a) ) /x) - 0<x<1 үшін, x - жұп сан
=EXP(LN(ABS(a) ) /x) *ABS(a) /a - 0<x<1үшін, x - тақ сан
МАТЕМАТИКАЛЫҚ ӨРНЕКТЕРДІ ЖАЗУ
Барлық өрнектер жай жақшалар көмегімен және арифметикалық операциялар белгілері қолданып, мына әрекетер арқылы орындалады:
- Жақша ішішдегі әрекет ()
- Функцияны есептеу. SIN, SQR, ABS және тб
- Бөлуде бүтін бөлігін табу. Бөлуде қалдық табу. DIV MOD
- Көбейту. Бөлу. * /
- Қосу. Азайту. + -
- Қатынас операциялары. =, >, <, <>, <=, >=
- Бульдік (логикалық) операциялар. Not, And, Or
Математикалық өрнектердің жазылуы:
МАТЕМАТИКАДА: ПАСКАЛДА:
A+B/C
(A+B) /C
C/(A-B)
A/B/C = A/(B*C)
A*B/C = A/C*B = B/C*A
(2+sqrt(abs(A-B) ) ) /(B*C) -A
Sin 30° sin(30*PI/180)
arctg(1) arctan(1) = 0. 785 (радиан )
arctan(1) *180/pi = 45 (градус)
A/(-B)
5e-6
sqr(sin(A*A) )
sin(A) /cos(A)
cos(60*pi/180) /sin(60*pi/180)
немесе A:=60*pi/180 сонан соң cos(A) /sin(A)
ПРОГРАММА ҚҰРЫЛЫМЫ
Паскалда программа тақырыптан және символдардан тұрады. Программада мағынасы өзгермейтін қызметші сөздер қолданылады және олар қатесіз жазылу керек. Паскалда программа құрылымы:
Program Name ; { программа тақырыбы бос орынсыз}
{ сипаттау бөлімі қажеттілікке қарай жазылады}
Uses - модульдерді жариялау бөлімі;
label - белгілерді сипаттау бөлімі;
const - тұрақтыларды сипаттау бөлімі;
type - стандартты емес типтерді сипаттау бөлімі;
var - айнымалыларды сипаттау бөлімі;
function - функцияны сипаттау бөлімі;
procedure - процедураны сипаттау бөлімі;
{ негізгі программа }
Begin{ негізгі ппрограмма денесі }
Readkey; не Readln; - нәтижені көру үшін (Enter) пернесін басылуын күту.
End.
Қызметші сөздерді айнымалы, тұрақты, функция, процедура және тип атаулары ретінде қолдануға болмайды. Программа мәтіні үлкен және кіші әріптерменде жазыла береді. Орыс әріптері екі жақша арқылы: { түсініктеме мәтіні} немесе (* түсініктеме мәтіні *) жазылатын түсініктемелер үшін қолданылады.
АҚПАРАТТЫ ЭКРАНҒА ШЫҒАРУ ОПЕРАТОРЫ
write(a) ; - «а» айнымалысының мәнін шығаратын стандартты функция немесе арифметикалық өрнектің нәтижесін экранға көрсетеді
writeln(а) ; - «а» мәні экранға шығады да, курсор келесі қатарға өтеді.
writeln; - курсорды жаңа қатарға өткізетін стандартты процедура.
write(x:8:4) - форматталған нәтиже (8-жалпы позициялық орын саны, 4- бөлшек бөлігі) .
Мысал : экранда: егер А:=2;
Write(a) ; 2
Writeln(a) ; 2 немесе келесі қатарға өту
Write(‘a=’, a) ; a=2
Write(‘a=’, a, ’ метр’) ; a=2 метр
Write(‘Y=’, 4+6) ; Y=10
Write(‘S=’, a, ’*’, 3, ’=’, a*3) ; S=2*3=6, егер a=2
Write(‘z=’, z:8:4) ; z=135. 6432, егер z=1, 356432223e02
Writeln(‘ауа райы’) ; ауа райы
Writeln(‘жақсы’) ; жақсы
Write(‘ауа райы ’) ;
Writeln(‘жақсы’) ; ауа райы жақсы
Экранда курсорды керекті жерге апарып қою үшін GotoXY(C, R) процедурасы қолданылады. Бұл процедура курсордыкоординаттары өзінде көрсетілген Х және У мәндері болатын орынға апарып қояды. координаттарға тек бүтін сандар ғана беруге болады. Текстік режимде координаттардың басы ретінде экранның сол жақ жоғарғы бұрышын Х=1 және У=1 деп алады. Х тің мәндері солдан оңға қарай, У тің мәндері жоғарыдан төмен қарай өседі. Х және У ең үлкен мәндері жоғарыдан төмен қарай өседі. Х және У ең үлкен мәндері монитордың адаптерінің жұмыс режиміне байланысты болады. Мысалы 80*25 / CGA, EGA CO80 адаптерлері үшін текстік режимде Хmax =80; Ymax=25.
№ 2 САРАМАНДЫҚ ЖҰМЫС
Компьютер калькулятор режимінде (есептеулер жүргізу)
ТАПСЫРМАЛАР:1. Программаны теру: {программаға түсініктеме:}
Program Misal; uses crt; { -программа тағырыбы 'Misal'. Crt модулі жарияланған}
Begin { -программ басы}
Clrscr; { -экранды тазалау немесе нәтиже терезесі}
write('Y=', 6+3 ) ; readkey; { - Y=9 нәтижесін экранға шығару }
End. { -программа соңы}
2. Программаны орындау { - Ctrl+F9 басу}
3. Есептеу:
17+34
;
24, 7+56
;
24:3
;
5-6
;
│-9│
;
12/3/4
;
.
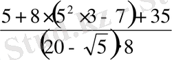
4. Есептеу
:
Жауап: -3. 941621
Жауап:
( ≈ 4. 1 )
Жауап:
-0. 2496655
5. Есептеу:
және нәтижені экранның ортасына шығару.
№ 3 САРАМАНДЫҚ ЖҰМЫС
МАТЕМАТИКАЛЫҚ ӨРНЕКТЕРДІ ШЕШУ СЫЗЫҚТЫҚ ПРОГРАММАСЫЗЫҚТЫҚ деп программаның әр бір қадамының басынан аяғына дейін бірінен соң бірі, яғни тізбектеле орындалуын айтады.
:= - айнымалыларға мән меншіктеу таңбасы;
x:=3. 4 - меншіктеу мысалы (х айнымалысына 3. 4 мәні меншіктеледі) .
readln(а) ; - айнымалылардың әртүрлі мәндерін клавиатурадан компьютер жадына енгізу
процедурасы.
ТАПСЫРМА:
1. Тік төртбұрыштың S=a*b ауданын табатын дайын программаны теріңіз.
Барлық программаларда басында Uses crt, ал соңында readkey не readln ұмытпаңыздар;
Program Area; Uses crt; { СЫЗЫҚТЫҚ ПРОГРАММА }
var a, b, s: real; { айнымалыларды сипаттау. Типі нақты }
Begin { программа басы}
ClrScr; { экранды тазалау. CLeaR SCReen англ. сөзінен}
write('a=') ; readln(a) ; {ұзындықты енгізу және келесі қатарға өту}
write('b=') ; readln(b) ; {енін енгізу және келесі қатарға өту}
s:=a*b; { формула бойынша есептеу }
write('S=', s) ; { нәтижені экранға шығару }
readkey; {бейнені батырма басылғанша ұстап тұру}
End. { Area программасының соңы }
Программаны орындауға жіберіп. Нәтиже алу.
2. Программалаға айнымалыларды енгізу және жауапты шығаруға түсініктеме қосыңыз Добавить в программу комментарий к вводу переменных и выводу ответа
(Мысал: а= қабырғасын енгіз Тік төртбұрыштың ауданы S= ) .
3. Дөңгелектің ауданын табу программасын құрыңыз:
4. Үшбұрыштың ауданын табу программасын құрыңыз:
1) нәтиженің бүтін бөлігін ерекшелеу;
2) нәтиженің бөлшек бөлігін ерекшелеу;
3) бөлуден қалдықты көрсету;
4) нәтижені дөңгелектеу
5) нәтижені бүтінге дейін дөңгелектеу.
5. Y=Sin(a+b/2) өрнекті есептеу программасын құрыңыз: мұнда a=15, b=30 (градус) .
№ 4 САРАМАНДЫҚ ЖҰМЫС ФИЗИКАЛЫҚ ЕСЕПТЕРДІ ШЕШУЕРЕКШЕЛІКТЕРІ:
- грек әріптерін латын әріптерімен ауыстыру керек;
- айнымалылардың қызметін сипаттау;
- есеп қағазда алдын ала шығарылады және соңғы формула программаға енгізіледі. Нәтижені айқындау негізінде есептің дұрыстығына қорытынды жасалады;
- нәтиже өлшем бірлігімен көрсетілуі керек;
- физикалық шамалар өлшем бірліктердің дұрыс аударылуына мән беру керек;
- физикалық тұрақты шамалар тұрақтыларды сипаттау бөлімінде сипатталады.
- Паскалда үлкен және кіші әріптер арасында айырмашылық жоқ: G=g, А=а.
Бүкіләлемдік тартылыс күшін есептеу программасын құру:
Program Ff; Uses crt;
const g=6. 672E-11; { гравитациялық тұрақты}
var m1, m2, { әсер етуші денелердің массасы }
r, { нақты денелер арасындағы қашықтық}
f: real; { Бүкіләлемдік тартылыс күші }
BeginClrScr;
- Іс жүргізу
- Автоматтандыру, Техника
- Алғашқы әскери дайындық
- Астрономия
- Ауыл шаруашылығы
- Банк ісі
- Бизнесті бағалау
- Биология
- Бухгалтерлік іс
- Валеология
- Ветеринария
- География
- Геология, Геофизика, Геодезия
- Дін
- Ет, сүт, шарап өнімдері
- Жалпы тарих
- Жер кадастрі, Жылжымайтын мүлік
- Журналистика
- Информатика
- Кеден ісі
- Маркетинг
- Математика, Геометрия
- Медицина
- Мемлекеттік басқару
- Менеджмент
- Мұнай, Газ
- Мұрағат ісі
- Мәдениеттану
- ОБЖ (Основы безопасности жизнедеятельности)
- Педагогика
- Полиграфия
- Психология
- Салық
- Саясаттану
- Сақтандыру
- Сертификаттау, стандарттау
- Социология, Демография
- Спорт
- Статистика
- Тілтану, Филология
- Тарихи тұлғалар
- Тау-кен ісі
- Транспорт
- Туризм
- Физика
- Философия
- Халықаралық қатынастар
- Химия
- Экология, Қоршаған ортаны қорғау
- Экономика
- Экономикалық география
- Электротехника
- Қазақстан тарихы
- Қаржы
- Құрылыс
- Құқық, Криминалистика
- Әдебиет
- Өнер, музыка
- Өнеркәсіп, Өндіріс
Қазақ тілінде жазылған рефераттар, курстық жұмыстар, дипломдық жұмыстар бойынша біздің қор #1 болып табылады.

Ақпарат
Қосымша
Email: info@stud.kz