Мағынаны табу

Бекітемін: Келісілді:
М. Мәметова атындағы №27 Директордың ғылыми-әдістемелік
физика-математика бағытындағы орынбасары:
мектеп-лицей директоры:
Cафиуллин С. Н Ғиззатов Ж. З
Тақырыбы:
(ашық сабақ, 10-сынып)
Пән мұғалімі: Қанатбаева Дамира Абзалқызы
Орал - 2011ж
Мақсаты:
- Туынды табудың негізгі ережелерін: дәрежеден, күрделі функциядан, тригонометриялық функциядан туынды табу формулаларын қолдана білу.
- Логикалық ойлау қабілеттерін, өз бетімен жұмыстану, өздерін және бір-бірін бағалау, тыңдай білу дағдыларын дамыту.
- Жауапкершілікке, еңбексійгіштікке, ұқыптылыққа, пайдалы жұмыспен шұғылдануға тәрбиелеу.
Сабақтың типі: білім, білік дағдыларын кешенді пайдалану сабағы.
Пәнішілік байланыс: өрнектің мәнін табу, теңдеу шешу, теңсіздік шешу
Техникалық жағынан жабдықталуы: презентациялар, флипчарт
Сабақтың көрнекілігі: слайдтар, топшамалар
Сабақ барысы:
І. Ұйымдастыру.
Оқушыларды ойын ережесімен таныстыру, топқа бөлу, топ басшыларын сайлау, баға қою критерилерімен таныстыру.
20-дан жоғары ұпай - «5»
10-нан 20-ға дейін ұпай - «4»
5-тен 10-ға дейін ұпай - «3»
ІІ. Қызығушылықты ояту
(қарапайым функциялардың туындыларын табу)
ІІІ. Мағынаны табу
1-саты. Туынды туралы ұғым.
2-саты. Туынды табу ережелері.
3-саты. Туындының физикалық және геометриялық мағынасы. Жанаманың теңдеуі.
4-саты. Күрделі функцияның туындысы.
5-саты. Тригонометриялық функциялардың туындылары
ІV. Толғаныс. Шығармашылық жұмыстар.
V. Үйге тапсырма
VI. Сабақты қорытындылау, бағалау.
1-саты. Туынды туралы ұғым.
- Туынды дегеніміз не? (3 ұпай)
- Үш формуланың қайсысы функцияның өсімшесі болып табылады?
а) f(x) =f(x 0 + x)
ә) f=f(x 0 + x) -f(x 0 )
б) x=x-x 0 (3 ұпай)
- Туындысы 16х3-0, 4-ке тең болатын кем дегенде бір функцияны формуламен беріңдер. (5 ұпай)
- Туынды табу амалы қалай аталады?
f(x) -f(x) =0 теңдеуін шешіңдер, мұндағы f(x) =x 3 . (5 ұпай)
- Қандай нүктеде f(x) =3x2-2х+3 туындысы 10-ға тең
а) -2 в) 0 с) 1 д) 2 (5 ұпай)
2-саты. Туынды табу ережелері.
- Қосындының туындысы неге тең, формуласын жазыңдар
g(x) = g / (1) -ді табыңдар. (5 ұпай)
- Көбейтіндінің туындысы неге тең, формуласын жазыңдар.
y=(3x-7) (x 3 +2) болса, онда у / (-1) неге тең? (5 ұпай)
- Бөлшектің туындысы неге тең, формуласын жазыңдар
функциясының туындысын табыңдар (5 ұпай)
- Дәреженің туындысы неге тең, формуласын жазыңдар.
f(x) =2x 4 -x 8 функциясының туындысын тауып, f / (0) +f // (-1) өрнегінің мәнін есептеңдер (5 ұпай)
- f(x) =9x-13\frac{1}{3}x3функциясы берілген, f/(x) ≥0 теңсіздігін шешіңдер (8 ұпай)
- f(x) функциясының туындысы 0-ге тең болса, х-тің мәнін табыңдар.
f / (x) =x 4 -12x 2 (5 ұпай)
3-саты. Туындының физикалық және геометриялық мағынасы. Жанаманың теңдеуі.
- Туындының физикалық және геометриялық мағынасы қандай?
Нүкте түзу бойымен x(t) = t 3 +2t 2 +5t заңы бойынша қозғалады. t=2 уақыт мезетіндегі нүктенің жылдамдығын анықтаңдар. (5 ұпай)
- Функция графигіне жүргізілген жанаманың теңдеуін жазудың алгоритмін көрсетіңдер. (3 ұпай)
- f(x) =x2+2x функциясының графигіне М(1; 3) нүктесінде жүргізілген жанаманың теңдеуін жазыңдар. (5 ұпай)
4-саты. Күрделі функцияның туындысы.
- Күрделі функцияны формула арқылы өрнектеңдер.
Күрделі функцияның формуласын табыңдар, еге болса, онда күрделі функцияны табыңдар.
- y=(13x−6) 24\left( \frac{1}{3}x - 6 \right) ^{24}функциясының туындысын табыңдар. (8 ұпай)
- Туындысын табыңдар:f(x) =3x2−6xf(x) = \sqrt{3x^{2} - 6x}(8 ұпай)
- Туындысын табыңдар:y(x) =(x2−1x+5) 3y(x) = \left( x^{2} - \frac{1}{x} + 5 \right) ^{3}(8 ұпай)
- f/(x) =0 теңдеуін шешіңдер. f(x) =2sin2x−2x2\sin{2x} - \sqrt{2}x(8ұпай) (8\ ұпай)
- Функциясының туындысын табыңдар f(x) =sin24x+cos24x\sin^{2}4x + \cos^{2}4x+5 (5 ұпай)
5-саты. Тригонометриялық функциялардың туындылары
- Синус функциясының туындысы неге тең?
Егер f(x) = болса, онда f / ( ) мәнін табыңдар. (3 ұпай)
- Косинус функциясының туындысы неге тең?
Функциясының туындысын табыңдар y= (6 ұпай)
- Тангенс функциясының туындысын формула арқылы беріңдер.
Функциясының туындысын табыңдар y= (5 ұпай)
- Котангенс функциясының туындысын формула арқылы беріңдер.
Функциясының туындысын табыңдар y= (5 ұпай)
- f(x) =sin5xcos6x−cos5xsin6x\sin{5x\cos{6x - {\cos{5x}\sin}{6x}}}функциясының туындысы неге тең? (6 ұпай)
- f(x) =sin4x−cos4xf(x) = \sin{4x} - \cos{4x}болса, f/(π12) f^{/}(\frac{\pi}{12}) мәнін табыңдар? (8 ұпай)
ІV. Толғаныс. Шығармашылық жұмыстар.
Кестені толтыру тапсырмалары








Топшамалар:
Функцияның туындысын тап:

y=sin 2 x
y=cos3x

y=cos 2 2x
y=cos(4x-1)
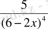
y=
![]()
y=
![]()
y=ctg(x-
)

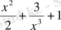
y=
![]()
y=4x 2 +
![]()
y=tg(
-2x)

y=4-x 4
y=
![]()
y=
![]()
y=
![]()
y=cos2x
y=
![]()
y=
![]()
- Іс жүргізу
- Автоматтандыру, Техника
- Алғашқы әскери дайындық
- Астрономия
- Ауыл шаруашылығы
- Банк ісі
- Бизнесті бағалау
- Биология
- Бухгалтерлік іс
- Валеология
- Ветеринария
- География
- Геология, Геофизика, Геодезия
- Дін
- Ет, сүт, шарап өнімдері
- Жалпы тарих
- Жер кадастрі, Жылжымайтын мүлік
- Журналистика
- Информатика
- Кеден ісі
- Маркетинг
- Математика, Геометрия
- Медицина
- Мемлекеттік басқару
- Менеджмент
- Мұнай, Газ
- Мұрағат ісі
- Мәдениеттану
- ОБЖ (Основы безопасности жизнедеятельности)
- Педагогика
- Полиграфия
- Психология
- Салық
- Саясаттану
- Сақтандыру
- Сертификаттау, стандарттау
- Социология, Демография
- Спорт
- Статистика
- Тілтану, Филология
- Тарихи тұлғалар
- Тау-кен ісі
- Транспорт
- Туризм
- Физика
- Философия
- Халықаралық қатынастар
- Химия
- Экология, Қоршаған ортаны қорғау
- Экономика
- Экономикалық география
- Электротехника
- Қазақстан тарихы
- Қаржы
- Құрылыс
- Құқық, Криминалистика
- Әдебиет
- Өнер, музыка
- Өнеркәсіп, Өндіріс
Қазақ тілінде жазылған рефераттар, курстық жұмыстар, дипломдық жұмыстар бойынша біздің қор #1 болып табылады.

Ақпарат
Қосымша
Email: info@stud.kz