Тамаша шектер

Алматы облысы
Сарқан ауданы
Алмалы ауылы
Новопокровка орта мектебі мектепке дейінгі шағын орталығымен
Бекболат руслан
Математика пәнінің мұғалімі
Сабақтың тақырыбы: Шектер теориясы
Сабақтың мақсаты: Функцияның шектерін табуға есептер шығарту;
Есеп шығарғанда тамаша шектерді қолдана білуге бейімдеу;
Шектерді есептеуге қызығушылығын арттыру;
Сабақтың түрі: қайталау сабағы
Көрнекілігі: интерактивті тақта, карточка
Сабақтың барысы:
Егер
- шегі бар болса (кейде оны
немесе
деп те белгілейді), онда оны функция
-тің х х
0
-ге сол жағынан ұмтылғандағы
шегі
деп атайды. Дәл осы сияқты функция
-тің х х
0
-ге оң жағынан ұмтылғандағы шегі
анықтауға болады.
Функцияның оң жақты және сол жақты шектерін оның бір жақты шектері деп атайды.
Функция
-тің х
0
-дегі шегі болуы үшін оның оң жақты және сол жақты шектерінің болуы қажетті және жеткілікті, яғни
.
Функция шектері жөнінде келесі теоремалар орынды болады:
1-теорема.
Айталық
онда
2-теорема.
Айталық,
және
бар болсын, онда
болады (мұнда
болуы да мүмкін) .
Егер осы теоремалардың шарттары орындалмаса, онда
түріндегі анықталмағандықтар жүз беруі мүмкін, ондай анықталмағандықтар алгебралық түрлендірулер арқылы айқындалады.
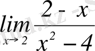
1-мысал
.
-
шегін табыңыз
.
Шешуі:
Біз мұнда
-анықталмағандығына душар боламыз. Оны айқындау үшін жақша ішіндегі өрнекті ортақ бөлімге келтіреміз. Сонда
-ті аламыз, бұл бізге
-анықталмағандығын береді, сондықтан х-тің орнына 2-ні қоймай тұрып, яғни, шек астындағы өрнекті (х-2) -ге қысқартамыз. Сонда
-ді аламыз.
2-мысал
.
-
шегін табыңыз
.
Шешуі
: Мұнда
-анықталмағандығын аламыз. Оны айқындау үшін шек астындағы бөлшектің алымын да, бөлімін де х
3
-ке бөлеміз. Сонда:
шек астындағы бөлшектің бөлімінің шегі
ұмтылғанда нөлден өзгеше, олай болса оған 2-теореманы қолдануға болады, яғни,
Шығарылатын есептер:
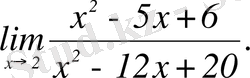
Функцияның шегін табыңдар.
№1
№2
№3
№4
№5
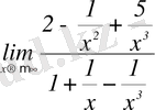
Есеп шығарғанда келесі екі тамаша шек қолданылады:
1.
2.
Шығарылатын есептер:
1.
2.
3.
4.
Сабақты қорытындылау
- Тізбектер және функциялардың шектері
- Функция шектері туралы теоремалар
- Тамаша шектер
Үйге тапсырма беру
Функцияның шектерін тап:
1.
2.
3.
4.
- Іс жүргізу
- Автоматтандыру, Техника
- Алғашқы әскери дайындық
- Астрономия
- Ауыл шаруашылығы
- Банк ісі
- Бизнесті бағалау
- Биология
- Бухгалтерлік іс
- Валеология
- Ветеринария
- География
- Геология, Геофизика, Геодезия
- Дін
- Ет, сүт, шарап өнімдері
- Жалпы тарих
- Жер кадастрі, Жылжымайтын мүлік
- Журналистика
- Информатика
- Кеден ісі
- Маркетинг
- Математика, Геометрия
- Медицина
- Мемлекеттік басқару
- Менеджмент
- Мұнай, Газ
- Мұрағат ісі
- Мәдениеттану
- ОБЖ (Основы безопасности жизнедеятельности)
- Педагогика
- Полиграфия
- Психология
- Салық
- Саясаттану
- Сақтандыру
- Сертификаттау, стандарттау
- Социология, Демография
- Спорт
- Статистика
- Тілтану, Филология
- Тарихи тұлғалар
- Тау-кен ісі
- Транспорт
- Туризм
- Физика
- Философия
- Халықаралық қатынастар
- Химия
- Экология, Қоршаған ортаны қорғау
- Экономика
- Экономикалық география
- Электротехника
- Қазақстан тарихы
- Қаржы
- Құрылыс
- Құқық, Криминалистика
- Әдебиет
- Өнер, музыка
- Өнеркәсіп, Өндіріс
Қазақ тілінде жазылған рефераттар, курстық жұмыстар, дипломдық жұмыстар бойынша біздің қор #1 болып табылады.

Ақпарат
Қосымша
Email: info@stud.kz