Сызықтық емес теңдеулер жүйесін шешу тәсілдері

№1
Пән: алгебра
Сынып: 9 «»
Күні:
Сабақтың тақырыбы: Квадрат түбірлер және оның қасиеттері. Квадрат теңдеулер.
Сабақтың мақсаттары:
Білімділік: Квадрат түбірдің қасиеттері. Квадрат теңдеудің түбірлерін табу.
Дамытушылық: 8 сыныпта өтілген тақырыптарды есеп шығару арқылы бекіту.
Тәрбиелік: Оқушыларды дәлдікке тәрбиелеу
Сабақтың түрі: қайталау сабағы
Сабақтың әдістері:
Сабақтың көрнекілігі:
Сабақ барысы: І Ұйымдастыру кезеңі:
а) Сәлемдесу
ә) Оқушылар тізімін тексеру
б) Сабақтың мақсатын нұсқау
ІІ Өткен тақырыпты қайталау: - Квадрат түбірдің қасиеттері
Квадрат теңдеу ax 2 +bx+c=0. D>0, D<0, D=0.
Квадрат теңсіздік. Интервалдар әдісі.
ІІІ Есептер шығару:
І нұсқа ІІ нұсқа
1. Теңдеуді шешіңдер
1. Теңдеуді шешіңдер
2. Тепе - теңдікті дәлелдеңдер
3. Теңсіздікті шешіңдер:
(x+7) (x+4) 2 (x-2) <0 (x-3) (x-4) 2 (x-10) <0
Бөлшекті қысқартыңдар:
Сабақты қорытындылау: Оқушыларға сабаққа қатысқанына сай баға қою.
Үй жұмысы: №444, №462
Бағалау
№2
Пән: алгебра
Сынып: 9 «»
Күні:
Сабақтың тақырыбы: Квадрат түбірлер және оның қасиеттері. Квадрат теңдеулер.
Сабақтың мақсаттары:
Білімділік: Квадрат түбірдің қасиеттері. Квадрат теңдеудің түбірлерін табу.
Дамытушылық: 8 сыныпта өтілген тақырыптарды есеп шығару арқылы бекіту.
Тәрбиелік: Оқушыларды дәлдікке тәрбиелеу
Сабақтың түрі: қайталау сабағы. Тест
Сабақтың әдістері:
Сабақтың көрнекілігі:
Сабақ барысы: І Ұйымдастыру кезеңі:
а) Сәлемдесу
ә) Оқушылар тізімін тексеру
б) Сабақтың мақсатын нұсқау
ІІ Өткен тақырыпты қайталау: - Квадрат түбірдің қасиеттері
Квадрат теңдеу ax 2 +bx+c=0. D>0, D<0, D=0.
Квадрат теңсіздік. Интервалдар әдісі.
ІІІ Есептер шығару:
Тест - Квадрат түбірлер және оның қасиеттері. Квадрат теңдеулер.
(І нұсқа, ІІ нұсқа)
- Теңсіздікті шешіңдер
- Модулі бар теңсіздікті шешіңдер
- Функцияның анықталу облысын табыңдар
- Теңдеуді шешіңдер
- Түбірдің астына енгізіңдер:
- Бөлшекті қысқарту
- Бөлшектің бөлімін түбірден шығару
Сабақты қорытындылау: Оқушыларға сабаққа қатысқанына сай баға қою.
Үй жұмысы: №473, №525
Бағалау
№3
Пән: алгебра Сынып: 9 « » Күні:
Сабақтың тақырыбы: Квадрат түбірлер және оның қасиеттері. Квадрат теңдеулер.
Сабақтың мақсаттары:
Білімділік: Квадрат түбірдің қасиеттері. Квадрат теңдеудің түбірлерін табу.
Дамытушылық: 8 сыныпта өтілген тақырыптарды есеп шығару арқылы бекіту.
Тәрбиелік: Оқушыларды дәлдікке тәрбиелеу
Сабақтың түрі: қайталау сабағы
Сабақтың әдістері:
Сабақтың көрнекілігі:
Сабақ барысы: І Ұйымдастыру кезеңі:
а) Сәлемдесу
ә) Оқушылар тізімін тексеру
б) Сабақтың мақсатын нұсқау
ІІ Өткен тақырыпты қайталау: - Квадрат түбірдің қасиеттері
Квадрат теңдеу ax 2 +bx+c=0. D>0, D<0, D=0.
Квадрат теңсіздік. Интервалдар әдісі.
ІІІ Есептер шығару:
І нұсқа ІІ нұсқа
1. Есептеңдер:
а)
а)
ә)
ә)
б)
б)
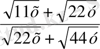
2. Салыстырыңдар:
а)
және
а)
және
ә)
және
ә)
және
3. Теңдеудің рационал түбірлерін табыңдар:
х 4 - 7х 2 + 12 = 0 х 4 - 16х 2 + 63 = 0
Бөлшекті қысқартыңдар:
18х 2 -3х-21 28х 2 -27х+5
18х 2 -33х+14 28х 2 -48х+20
Квадрат теңдеу арқылы есепті шығарыңдар:
Тіктөртбұрыштың периметрі 24см, Тіктөртбұрыштың бір қабырғасы ал ауданы 35см 2 . Тіктөртбұрыштың екіншісінен 4см артық, ал ауданы 60см 2
қабырғаларын табыңдар. Тіктөртбұрыштың қабырғаларын табыңдар
Сабақты қорытындылау: Оқушыларға сабаққа қатысқанына сай баға қою.
Үй жұмысы: №
Бағалау
№4
Пән: алгебра
Сынып: 9 « »
Күні:
Сабақтың тақырыбы:
Сабақтың мақсаттары:
Білімділік: Оқушылардың 8 сыныпқа арналған математика курсының мазмұны бойынша білім, біліктілік, дағдысын тексеру.
Дамытушылық: Алған білімдерін жинақтау және тексеру.
Тәрбиелік: Оқушыларды дәлдікке тәрбиелеу. Оқушылардың теориялық білімін тәжірибеде қолдануда өз-өзіне сенімділігін арттыру
Сабақтың түрі: бақылау жұмысы
Сабақтың әдістері:
Сабақтың көрнекілігі:
Сабақ барысы: І Ұйымдастыру кезеңі:
а) Сәлемдесу
ә) Оқушылар тізімін тексеру
б) Сабақтың мақсатын нұсқау
ІІ Өткен тақырыпты қайталау :
- Квадрат түбірдің қасиеттері
Квадрат теңдеу ax 2 +bx+c=0. D>0, D<0, D=0.
Квадрат теңсіздік. Интервалдар әдісі.
Модуль таңбасы бар теңсіздік
ІІІ Нөлдік бақылау жұмысы:
1 - деңгей
- Квадрат түбір қасиеттерін пайдаланып, өрнекті ықшамда
- Квадрат теңдеудің түбірлерін табу
- Квадрат теңсіздікті шешу
- Функция графигін салу
2 - деңгей
- Жаңа айнымалы енгізу арқылы теңдеуді шешу
- Модуль таңбасы бар теңсіздіктерді шешу
- Квадрат түбір қасиеттерін пайдаланып, есепте
Сабақты қорытындылау: Оқушылардың дәптерлерін жинап алу.
Үй жұмысы: №
Бағалау
№5
Пән: алгебра
Сынып: 9 « »
Күні:
Сабақтың тақырыбы: Екі айнымалысы бар сызықтық теңдеу.
Сабақтың мақсаттары:
Білімділік: Екі айнымалысы бар сызықтық теңдеу мен оны шешу жолдары.
Дамытушылық: Мәндес теңдеулердің қасиеттері.
Тәрбиелік: Оқушыларды дәлдікке, ұқыптылыққа, жылдамдылыққа, ептілікке тәрбиелеу.
Сабақтың түрі: жаңа сабақ
Сабақтың әдістері:
Сабақтың көрнекілігі:
Сабақ барысы: І Ұйымдастыру кезеңі:
а) Сәлемдесу
ә) Оқушылар тізімін тексеру
б) Сабақтың мақсатын нұсқау
ІІ Жаңа тақырып:
aх+by=c түрінде берілген теңдеу екі айнымалысы бар сызықтық теңдеу д. а.
x, y - айнымалылар, a, b, c - нақты сандар және a мен bбір мезгілде нөлге тең емес.
- Мәндес теңдеулер
- Мәндес теңдеулердің қасиеттері
- Теңдеудің графигі
Екі айнымалысы бар сызықтық теңдеуді шешу - берілген теңдеуді дұрыс теңдікке айналдыратын сандар жұбының жиынын табу.
ІІІ Дамыту кезеңі. Есептер шығару:
Ауызша орындалатын тапсырмалар: №4, №8
Орындарында орындалатын тапсырмалар: №10, №11, №16, №18
Сабақты бекіту кезеңі:
Сызықтық теңдеу
Мәндес теңдеулер
Сабақты қорытындылау: Оқушыларға сабаққа қатысқанына сай баға қою.
Үйге тапсырма: №15, №17
Бағалау
№6
Пән: алгебра
Сынып: 9 « »
Күні:
Сабақтың тақырыбы: Екі айнымалысы бар сызықтық емес теңдеу және оларды шешу.
Сабақтың мақсаттары:
Білімділік: Екі айнымалысы бар сызықтық емес теңдеу мен оның дәрежесі ұғымы.
Дамытушылық: Оқушыларды екі айнымалысы бар сызықтық емес теңдеуді шешу жолдарына және графиктерін салуға дағдыландыру.
Тәрбиелік: Оқушылардың өз ойын толық, дұрыс жеткізе білуге, тапқырлыққа, жылдамдылыққа, ептілікке, достық қарым-қатынасқа тәрбиелеу.
Сабақтың түрі: жаңа сабақ
Сабақтың әдістері:
Сабақтың көрнекілігі:
Сабақ барысы: І Ұйымдастыру кезеңі:
а) Сәлемдесу
ә) Оқушылар тізімін тексеру
б) Сабақтың мақсатын нұсқау
ІІ Жаңа тақырып:
Екі айнымалысы бар теңдеуде айнымалылардың дәреже көрсеткіші н/е бір қосылғыштағы айнымалылардың д. к. қосындысы 1-ден артық болса, олар екі айнымалысы бар сызықтық емес теңдеу д. а.
М: 4х 2 +6, 5y 2 +xy=42
Ең жоғарғы д/к осы теңдеудің дәрежесі б. т.
- Графигі қисық сызық - парабола, кубтық парабола, гипербола.
ІІІ Дамыту кезеңі. Есептер шығару:
Ауызша орындалатын тапсырмалар: №20, №21, №23, №27
Орындарында орындалатын тапсырмалар: №24, №26, №30, №31
Сабақты бекіту кезеңі:
Екі айнымалысы бар сызықтық теңдеу мен екі айнымалысы бар сызықтық емес теңдеудің айырмашылығы
Теңдеудің дәрежесі
Сабақты қорытындылау: Оқушыларға сабаққа қатысқанына сай баға қою.
Үйге тапсырма: №33, №34
Бағалау
№7
Пән: алгебра
Сынып: 9 « »
Күні:
Сабақтың тақырыбы: Екі айнымалысы бар сызықтық және сызықтық емес теңдеу және оларды шешу.
Сабақтың мақсаттары:
Білімділік: Екі айнымалысы бар сызықтық және сызықтық емес теңдеу және оларды шешу жолдарына есептер шығару.
Дамытушылық: Оқушыларды екі айнымалысы бар сызықтық және сызықтық емес теңдеуді шешу жолдарына және графиктерін салуға дағдыландыру.
Тәрбиелік: Оқушыларды дәлдікке, ұқыптылыққа, жылдамдылыққа, ептілікке тәрбиелеу.
Сабақтың түрі: бекіту сабағы
Сабақтың әдістері:
Сабақтың көрнекілігі:
Сабақ барысы: І Ұйымдастыру кезеңі:
а) Сәлемдесу
ә) Оқушылар тізімін тексеру
б) Сабақтың мақсатын нұсқау
ІІ Өткен тақырыпты қайталау:
Екі айнымалысы бар сызықтық және сызықтық емес теңдеулер
Функция және оның графигі, қасиеттері
Теңдеулер жүйесі
ІІІ Дамыту кезеңі. Есептер шығару:
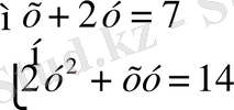
1. Теңдеулер жүйесін шешіңдер:
2. y=x 2 және y=x 3 функцияларының графиктері неше нүктеде қиылысады?
3. y=-50/x функциясы х-тің қандай мәндерінде оң мәндер, теріс мәндер қабылдайды? Өседі?
4. y=-15/x функциясының (0; +∞) аралығында кемитінін дәлелдеңдер.
Сабақты бекіту кезеңі:
Екі айнымалысы бар сызықтық теңдеу мен екі айнымалысы бар сызықтық емес теңдеудің айырмашылығы
Сабақты қорытындылау: Оқушыларға сабаққа қатысқанына сай баға қою.
Үйге тапсырма: № Теңдеулер жүйесін шешу тәсілдері
Бағалау
№8
Пән: алгебра
Сынып: 9 « »
Күні:
Сабақтың тақырыбы: Екі айнымалысы бар сызықтық емес теңдеулер жүйесі.
Сабақтың мақсаттары:
Білімділік: Екі айнымалысы бар сызықтық емес теңдеулер жүйесін шешу тәсілдері.
Дамытушылық: Оқушыларды екі айнымалысы бар сызықтық емес теңдеулер жүйесін шешу тәсілдеріне дағдыландыру.
Тәрбиелік: Оқушыларды дәлдікке, ұқыптылыққа, жылдамдылыққа, ептілікке тәрбиелеу.
Сабақтың түрі: жаңа сабақ
Сабақтың әдістері:
Сабақтың көрнекілігі:
Сабақ барысы: І Ұйымдастыру кезеңі:
а) Сәлемдесу
ә) Оқушылар тізімін тексеру
б) Сабақтың мақсатын нұсқау
ІІ Жаңа тақырып:
Алгебралық қосу тәсілі
Алмастыру тәсілі
Графиктік тәсіл
Жаңа айнымалыны енгізу тәсілі
ІІІ Дамыту кезеңі. Есептер шығару:
Тақтада орындалатын тапсырмалар: №40(а), №44, №46, №53
Орындарында орындалатын тапсырмалар: №51, №55(а), №56
Сабақты бекіту кезеңі:
Екі айнымалысы бар сызықтық емес теңдеулер жүйесін шешу тәсілдері.
Сабақты қорытындылау: Оқушыларға сабаққа қатысқанына сай баға қою.
Үйге тапсырма: №40(ә), №52, №49
Бағалау
№9
Пән: алгебра
Сынып: 9 « »
Күні:
Сабақтың тақырыбы: Екі айнымалысы бар сызықтық емес теңдеулер жүйесі.
Сабақтың мақсаттары:
Білімділік: Екі айнымалысы бар сызықтық емес теңдеулер жүйесін шешу тәсілдерін пайдаланып есептер шығару дағдыларын қалыптастыру
Дамытушылық: Оқушыларды екі айнымалысы бар сызықтық емес теңдеулер жүйесін і шешу тәсілдерін пайдалануға дағдыландыру.
Тәрбиелік: Оқушыларды дәлдікке, ұқыптылыққа, жылдамдылыққа, ептілікке тәрбиелеу.
Сабақтың түрі: Бекіту сабақ
Сабақтың әдістері:
Сабақтың көрнекілігі:
Сабақ барысы: І Ұйымдастыру кезеңі:
а) Сәлемдесу
ә) Оқушылар тізімін тексеру
б) Сабақтың мақсатын нұсқау
ІІ Үй тапсырмасын тексеру:
Үй есебінің орындалуын тексеру
Өтілген материалды қайталау
Сызықтық емес теңдеулер жүйесінің анықтамасы
Сызықтық емес теңдеулер жүйесін шешу тәсілдері.
ІІІ . Есептер шығару:
Тақтада орындалатын тапсырмалар:№57, №58, №61
Орындарында орындалатын тапсырмалар: №60,
Сабақты бекіту кезеңі:
Теңдеулер жүйесін шешудің алгебралық қосу және алмастыру тәсілдерінің алгоритмінде қандай ұқсастық бар?
Қандай жағдайда жаңа айнымалыны енгізу тәсілі қолданылады?
Сабақты қорытындылау: Оқушыларға сабаққа қатысқанына сай баға қою.
Үйге тапсырма: №61 аяқтау, №62
Бағалау
№10
Пән: алгебра
Сынып: 9 « »
Күні:
Сабақтың тақырыбы: Теңдеулер жүйесін қолданып есептер шығару.
Сабақтың мақсаттары:
Білімділік: Теңдеулер жүйесін құрастырып, есептер шығару.
Дамытушылық: Оқушыларды екі айнымалысы бар сызықтық емес теңдеулер жүйесін шешу тәсілдеріне дағдыландыру.
Тәрбиелік: Оқушыларды дәлдікке, ұқыптылыққа, жылдамдылыққа, ептілікке тәрбиелеу.
Сабақтың түрі: жаңа сабақ
Сабақтың әдістері:
Сабақтың көрнекілігі:
Сабақ барысы: І Ұйымдастыру кезеңі:
а) Сәлемдесу
ә) Оқушылар тізімін тексеру
б) Сабақтың мақсатын нұсқау
ІІ Жаңа тақырып:
Теңдеулер жұйесі арқылы есеп шығарғанда келесі алгоритмді қолдану қажет:
Есептің шартын талдау
берілген шамаларды әріппен белгілеу
белгіленген әріптер арқылы берілген шаманы өрнектеу
теңдеулер жазу және олардан жүйе құру
жүйенің шешімін табу
Есептің берілгені бойынша жүйе шешімдерінің қайсысы есептің берілгенін қанағаттандыратынын зерттеу
ІІІ Дамыту кезеңі. Есептер шығару:
Тақтада орындалатын тапсырмалар: №63(ә), №67(а), №69
Орындарында орындалатын тапсырмалар: №65(а), №73(а)
Сабақты бекіту кезеңі:
Алгебралық қосу тәсілі
Алмастыру тәсілі
Графиктік тәсіл
Жаңа айнымалыны енгізу тәсілі
Сабақты қорытындылау: Оқушыларға сабаққа қатысқанына сай баға қою.
Үйге тапсырма: №68, №73(ә)
Бағалау
№11
Пән: алгебра
Сынып: 9 « »
Күні:
Сабақтың тақырыбы: Бір айнымалысы бар сызықтық емес теңсіздіктердің жүйесі
Сабақтың мақсаттары:
Білімділік: Теңсіздіктердің қасиеттері. Бір айнымалысы бар сызықтық емес теңсіздіктердің жүйесі.
Дамытушылық Функция, функцияның анықталу облысы.
Тәрбиелік: Оқушыларды дәлдікке, ұқыптылыққа, жылдамдылыққа, ептілікке тәрбиелеу.
Сабақтың түрі: жаңа сабақ
Сабақтың әдістері:
Сабақтың көрнекілігі:
Сабақ барысы: І Ұйымдастыру кезеңі:
а) Сәлемдесу
ә) Оқушылар тізімін тексеру
б) Сабақтың мақсатын нұсқау
ІІ Жаңа тақырып:
Егер бір айнымалысы бар теңсіздіктер жүйесіндегі теңсіздіктердің біреуі сызықтық емес болса, онда жүйені сызықтық емес теңсіздіктер жүйесі деп атайды.
- Интервалдар әдісі
- Функцияның анықталу облысы
ІІІ Дамыту кезеңі. Есептер шығару:
Орындарында орындалатын тапсырмалар:
І нұсқа: №79(а), №80(ә), №82(а), №83(а), №85(а)
ІІ нұсқа: №79(ә), №80(а), №82(ә), №83(ә), №85(ә)
Сабақты бекіту кезеңі:
Теңсіздік
- Интервалдар әдісі
- Функцияның анықталу облысы
Сабақты қорытындылау: Оқушыларға сабаққа қатысқанына сай баға қою.
Үйге тапсырма: №88, №89, №90
Бағалау
№12
Пән: алгебра
Сынып: 9 « »
Күні:
Сабақтың тақырыбы: Бір айнымалысы бар сызықтық емес теңсіздіктердің жүйесі
Сабақтың мақсаттары:
1. Білімділік: Теңсіздіктердің қасиеттері. Бір айнымалысы бар сызықтық емес теңсіздіктердің жүйесін шешу.
2. Дамытушылық: Оқушыларды екі айнымалысы бар сызықтық емес теңсіздіктер жүйесін шешу тәсілдеріне дағдыландыру. Функцияның анықталу облысы.
Тәрбиелік: Оқушыларды дәлдікке, ұқыптылыққа, жылдамдылыққа, ептілікке тәрбиелеу.
Сабақтың түрі: бекіту сабағы
Сабақтың әдістері:
Сабақтың көрнекілігі:
Сабақ барысы: І Ұйымдастыру кезеңі:
а) Сәлемдесу
ә) Оқушылар тізімін тексеру
б) Сабақтың мақсатын нұсқау
ІІ Өткен тақырыпты қайталау:
Бір айнымалысы бар сызықтық және сызықтық емес теңсіздіктер жүйесі.
Функцияның анықталу облысы
Үй тапсырмасының орындалуының барын тексеру, сұрақтарына жауап беру
ІІІ Дамыту кезеңі. Есептер шығару:
Тақтада орындалатын тапсырмалар: №86(а, ә), №92(а), №94
Орындарында орындалатын тапсырмалар: №96
Сабақты бекіту кезеңі:
Бір айнымалысы бар сызықтық емес теңсіздіктердің жүйесі
Интервалдар әдісі
Сабақты қорытындылау: Оқушыларға сабаққа қатысқанына сай баға қою.
Үйге тапсырма: №93, №95
Бағалау
№13
Пән: алгебра
Сынып: 9 « »
Күні:
Сабақтың тақырыбы: Екі айнымалысы бар теңсіздіктер
Сабақтың мақсаттары:
1. Білімділік: Екі айнымалысы бар теңсіздіктерді шешу.
2. Дамытушылық: Оқушыларды екі айнымалысы бар теңсіздікті шешу тәсілдеріне дағдыландыру. Теңдеудің графигі.
3. Тәрбиелік: Оқушыларды дәлдікке, ұқыптылыққа, жылдамдылыққа, ептілікке тәрбиелеу.
Сабақтың түрі: жаңа сабақ
Сабақтың әдістері:
Сабақтың көрнекілігі:
Сабақ барысы: І Ұйымдастыру кезеңі:
а) Сәлемдесу
ә) Оқушылар тізімін тексеру
б) Сабақтың мақсатын нұсқау
ІІ Өткен тақырыпты қайталау:
Бір айнымалысы бар сызықтық және сызықтық емес теңсіздіктер жүйесі.
Функцияның анықталу облысы
Үй тапсырмасының орындалуының барын тексеру, сұрақтарына жауап беру
ІІІ Жаңа тақырып:
Екі айнымалысы бар теңсіздіктер жүйесінің шешуі деп жүйенің әр теңсіздігін дұрыс теңсіздікке айналдыратын айнымалының мәнін айтамыз.
- Екі теңсіздіктің шешімі олардың шешімінің ортақ бөлігі болады.
ІІІ Дамыту кезеңі. Есептер шығару:
Ауызша орындалатын тапсырмалар: №97, №98
Тақтада орындалатын тапсырмалар: №101, №102,
Орындарында орындалатын тапсырмалар: №104, №105
Сабақты бекіту кезеңі:
Екі айнымалысы бар теңсіздіктер
Сабақты қорытындылау: Оқушыларға сабаққа қатысқанына сай баға қою.
Үйге тапсырма: №103, №107
Бағалау
№14
Пән: алгебра
Сынып: 9 « »
Күні:
Сабақтың тақырыбы: Екі айнымалысы бар теңсіздіктер
Сабақтың мақсаттары:
1. Білімділік: Екі айнымалысы бар теңсіздіктерді шешу.
2. Дамытушылық: Оқушыларды екі айнымалысы бар теңсіздікті шешу тәсілдеріне дағдыландыру. Теңдеудің графигі.
3. Тәрбиелік: Оқушыларды дәлдікке, ұқыптылыққа, жылдамдылыққа, ептілікке тәрбиелеу.
Сабақтың түрі: бекіту сабағы
Сабақтың әдістері:
Сабақтың көрнекілігі:
Сабақ барысы: І Ұйымдастыру кезеңі:
а) Сәлемдесу
ә) Оқушылар тізімін тексеру
б) Сабақтың мақсатын нұсқау
ІІ Өткен тақырыпты қайталау:
Екі айнымалысы бар теңсіздіктер
Үй тапсырмасының орындалуының барын тексеру, сұрақтарына жауап беру
ІІІ Дамыту кезеңі. Есептер шығару:
Тақтада орындалатын тапсырмалар: №108, №111, №112
Орындарында орындалатын тапсырмалар: №110,
Сабақты бекіту кезеңі:
Екі айнымалысы бар теңсіздіктер
Сабақты қорытындылау: Оқушыларға сабаққа қатысқанына сай баға қою.
Үйге тапсырма: №109, №113
Бағалау
№15
Күні:
Сынып: 9 « »
Сабақтың тақырыбы: Бақылау жұмысы № 1.
Сабақтың мақсаты:
1. Білімділігі: Оқушылардың 1-тоқсан бойы өткен тақырыптарын жинақтап, тексеру.
2. Дамытушылық: Логикалық ойлау қабілеті мен есептеу дағдыларын жетілдіру, өз бетінше еңбектену, белсенділіктерін арттыру, пәнге қызуғушылығын ояту, оқушылардың құзыреттерін қалыптастыру.
3. Тәрбиелік: Оқушыларды жылдамдылыққа, ептілікке, достық қарым-қатынасқа тәрбиелеу.
Сабақ түрі: Бақылау жұмысы.
Оқытудың әдісі: практикалық
Сабақтың барысы:
Ұйымдастыру кезеңі
а) Сәлемдесу
ә) Оқушыларды түгендеу
б) Оқушылардың назарын сабаққа аудару
в) Сабақтың мақсатымен таныстыру
Бақылау жұмысын жазғызу
1. Теңдеулер жүйесін шешіңдер :
а)
б)
2. Тіктөртбұрыштың бір қабырғасы екінші қабырғасынан 7 см қысқа, ал диагоналы 13 см-ге тең. Тіктөртбұрыштың қабырғаларын табыңдар.
3. Функцияның анықталу облысын табыңдар:
у=
4. Теңсіздіктер жүйесін шешіңдер:
1 )
1. Теңдеулер мен теңсіздіктер жүйесін шешіңдер
а)
б)
2. Тік бұрышты үшбұрыштың катеттерінің қосындысы 7 см, ал ауданы 6см 2 , оның гипотенузасын табыңдар.
3. Функцияның анықталу облысын табыңдар :
у=
4. Теңсіздіктер жүйесін шешіңдер:
а)
№16
Пән: алгебра
Сынып: 9 « »
Күні:
Сабақтың тақырыбы: Екі айнымалысы бар сызықтық емес теңсіздіктер жүйесі
Сабақтың мақсаттары:
1. Білімділік: Екі айнымалысы бар сызықтық емес теңсіздіктер жүйесін графиктік тәсілмен шешу.
2. Дамытушылық: Оқушыларды екі айнымалысы бар теңсіздікті шешу тәсілдеріне дағдыландыру. Теңдеудің графигі .
3. Тәрбиелік : Оқушыларды дәлдікке, ұқыптылыққа, жылдамдылыққа, ептілікке тәрбиелеу.
Сабақтың түрі: жаңа сабақ
Сабақтың әдістері:
Сабақтың көрнекілігі:
Сабақ барысы: І Ұйымдастыру кезеңі:
а) Сәлемдесу
ә) Оқушылар тізімін тексеру
б) Сабақтың мақсатын нұсқау
ІІ Бақылау жұмысын талдау
- Бақылау жұмысының анализі.
- Бақылау жұмысында қиындық туғызған есептерді талдау
- Қатемен жұмыс
ІІІ Жаңа тақырып:
Екі айнымалысы бар теңсіздіктер жүйесінің шешуі деп жүйенің әр теңсіздігін дұрыс теңсіздікке айналдыратын айнымалының мәнін айтамыз.
- Екі теңсіздіктің шешімі олардың шешімінің ортақ бөлігі болады.
ІІІ Дамыту кезеңі. Есептер шығару:
Ауызша орындалатын тапсырмалар: №114, №116
Тақтада орындалатын тапсырмалар: №115, №117(а, ә)
Сабақты бекіту кезеңі:
Екі айнымалысы бар сызықтық емес теңсіздіктер
Шеңбердің теңдеуі
Координаталық жазықтық
Сабақты қорытындылау: Оқушыларға сабаққа қатысқанына сай баға қою .
Үйге тапсырма: №117(б, в, г, д)
Бағалау
№17
Пән: алгебра Сынып: 9 « » Күні:
Сабақтың тақырыбы: Екі айнымалысы бар сызықтық емес теңсіздіктер жүйесі
Сабақтың мақсаттары:
1. Білімділік : Екі айнымалысы бар сызықтық емес теңсіздіктер жүйесін графиктік тәсілмен шешу.
2. Дамытушылық: Оқушыларды екі айнымалысы бар теңсіздікті шешу тәсілдеріне дағдыландыру. Теңдеудің графигі .
3. Тәрбиелік: Оқушыларды дәлдікке, ұқыптылыққа, жылдамдылыққа, ептілікке тәрбиелеу.
Сабақтың түрі: Бекіту сабақ
Сабақтың көрнекілігі: тест т апсырмалары
Сабақ барысы: І Ұйымдастыру кезеңі:
а) Сәлемдесу ә) Оқушылар тізімін тексеру б) Сабақтың мақсатын нұсқау
ІІ Өткен тақырыпты қайталау:
- Екі айнымалысы бар теңсіздіктер жүйесінің шешуі алгоритмін тұжырымдап бер
- Екі айнымалысы бар теңсіздіктер жүйесінің шешімі деген не?
ІІІ Дамыту кезеңі. Есептер шығару:
Тақтада орындалатын тапсырмалар: №118, №119
Өздіктерінен орындайтын есептер: №120
ІV Тест жұмысы: «Теңсіздіктер және теңсіздіктер жүйесі»
1. Теңсіздікті шешіңдер: 4х-3(х+7) >12+х
А) Ø В) х>3 С) х<2 D) х>33 Е) х<33
2. Теңсіздіктер жүйесін шешіңдер:
А) (-3; 3) В) (-3; 1, 5) С) (-
; 0) D) (0; 3) Е) (-
; 3)
3. Теңсіздікті шешіңдер: х 2 -х-6<0
А) (-
; 2) В) (34; -2) C) (-2; 3) D) (0; 3) Е) (1; 6)
4. Теңсіздікті шешіңдер: (х+3) (х-1) (х-10) <0
А) (-
; 1)
(3; 10) В) (-3; 1)
(1; 10) С) (-
; 3)
(3; 10) D) (1; 3)
(3; 10) Е) (-
; -3)
(1; 10)
5. Функцияның анықталу облысын табыңдар:
У=
А) (-
;
) В) (-1; 1) С) (-
; 1) D) (1;
) Е) Ø
6. Теңсіздікті шешіңдер:
А) (-
;
) В) (-
; 0) С) (
;
) D) (
; 3) ; Е) (-
; -
)
1. Теңсіздікті шешіңдер: 6+х>4х-3(2х-3)
А) х>1; В) х>2 С) Ø х<4 Е) х>7
2. Теңсіздіктер жүйесін шешіңдер:
А) (-
; 2) В) ( -
;
) С) (0;
) D) (
; 2) Е) (-1; 1)
3. Теңсіздікті шешіңдер: х 2 +3х-4<0
А) (-2; 2) В) (1; -4) С) (-4; 1) D) (-4; 0) Е) (1; -3)
4. Теңсіздікті шешіңдер: (х+11) (х+3) (х-8) >0
А) (-
; -11)
(3; 8) В) (-11; -3)
(-3; 8) С) (-
; 3)
(3; 8) D) (-3; 11)
(11;
) Е) (-11; -3)
(8;
)
5. Функцияның анықталу облысын табыңдар:
У=
А) (-
;
) В) (-1; 1) С) (-
; 1) D) (1; 2) Е) (2;
)
6. Теңсіздікті шешіңдер:
А) (0;
) В) (-
; 2. 5) С) (-
;
) D) (
;
) Е) (-
;
)
Сабақты бекіту кезеңі:
Екі айнымалысы бар теңсіздіктержүйесін қалай шешеміз?
Сабақты қорытындылау: Оқушыларға сабаққа қатысқанына сай баға қою.
Үйге тапсырма: №121, №122
Бағалау
№18
Пән: алгебра
Сынып: 9 « »
Күні:
Сабақтың тақырыбы: « Екі айнымалысы бар сызықтық емес теңдеулер және олардың шешімі» (қайталауға арналған есептер шығару)
Сабақтың мақсаттары:
1. Білімберушілік : Екі айнымалысы бар сызықтық емес теңдеулерге арналған олимпиада есептерін шығара білуге үйрету .
2. Дамытушылық : Екі айнымалысы бар сызықтық емес теңдеулерді шешу жолдарын оқып үйрену.
- Іс жүргізу
- Автоматтандыру, Техника
- Алғашқы әскери дайындық
- Астрономия
- Ауыл шаруашылығы
- Банк ісі
- Бизнесті бағалау
- Биология
- Бухгалтерлік іс
- Валеология
- Ветеринария
- География
- Геология, Геофизика, Геодезия
- Дін
- Ет, сүт, шарап өнімдері
- Жалпы тарих
- Жер кадастрі, Жылжымайтын мүлік
- Журналистика
- Информатика
- Кеден ісі
- Маркетинг
- Математика, Геометрия
- Медицина
- Мемлекеттік басқару
- Менеджмент
- Мұнай, Газ
- Мұрағат ісі
- Мәдениеттану
- ОБЖ (Основы безопасности жизнедеятельности)
- Педагогика
- Полиграфия
- Психология
- Салық
- Саясаттану
- Сақтандыру
- Сертификаттау, стандарттау
- Социология, Демография
- Спорт
- Статистика
- Тілтану, Филология
- Тарихи тұлғалар
- Тау-кен ісі
- Транспорт
- Туризм
- Физика
- Философия
- Халықаралық қатынастар
- Химия
- Экология, Қоршаған ортаны қорғау
- Экономика
- Экономикалық география
- Электротехника
- Қазақстан тарихы
- Қаржы
- Құрылыс
- Құқық, Криминалистика
- Әдебиет
- Өнер, музыка
- Өнеркәсіп, Өндіріс
Қазақ тілінде жазылған рефераттар, курстық жұмыстар, дипломдық жұмыстар бойынша біздің қор #1 болып табылады.

Ақпарат
Қосымша
Email: info@stud.kz