Екі айнымалысы бар сызықтық теңдеулер жүйесін қосу тәсілімен және алмастыру тәсілімен шешу

Мектеп: №3 М. Ломоносов атындағы жалпы орта мектебі
(білім беру ұйымының атауы)
Екі айнымалысы бар сызықтық теңдеулер жүйесін қосу тәсілімен және алмастыру тәсілімен шешу
Күні : 10. 05. 22ж Тексер:
6. 2. 2. 19
теңдеулер жүйелерін алмастыру тәсілі және қосу тәсілі арқылы шешу;
Сабақ барысы
Сабақтың кезеңі/ уақыт
Педагогтің әрекеті
Оқушының әрекеті
Бағалау
Ресурстар
Сабақтың басы
Қызығушылықты ояту
5мин
Ұйымдастыру кезеңі.
1. Оқушылармен амандасу, түгендеу. Сынып реттілігін қадағалау
Көңіл күйлерін смайликтер арқылы білу.
Ынтымақтастық атмосферасын қалыптастыру
Психологиялық ахуал тудыру.
Үй тапсырмасын тексеру.
Бір - бірінің дәптерлерін тексеру
Оқушылар сәлемдеседі, түгенденеді, жаңа сабаққа көңіл күйлерін көтереді.
Шаттық шеңберін құрып «Өзіңе тілегенді, өзгеге тіле»! әдісі арқылы бір-біріне тілек айтып, жақсы көңіл күй сыйлайды.
Оқушыны бір-біріне тілек айту арқылы жақындастырады, көңіл -күйін көтереді, бауырмалдығын оятады.
Бір, екі, үш,
Сыныптың іші тып-тыныш.
Жалқаулықты тастаймыз.
Сабақты біз бастаймыз.
Оқулық, жұмыс дәптерлері.
Сабақтың ортасы
35 мин
Екі айнымалысы бар сызықтық теңдеулерді алмастыру тәсілімен шешу үшін :
1) Теңдеудің біреуіндегі бір айнымалыны екіншісі арқылы өрнектеу керек;
2) Табылған өрнекті екінші теңдеудегі осы айнымалының орнына қою керек;
3) Алынған сызықтық теңдеуді шешу керек;
4) Табылған шешімді теңдеулердің кез келгеніне немесе өрнекке қойып, екінші айнымалыны табу керек.
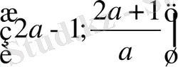
Мысал. Теңдеулер жүйесін алмастыру тәсілімен шеш:
Бірінші теңдеуден х-ті у арқылы өрнектейміз:
х = у +7
Екінші теңдеудегі х-тің орнына (у+7) -ні қоямыз :
у + 7 + 3у = 11, осы теңдеуді шешіп у-ті табамыз.
у = 1.
Енді бірінші теңдеуде у-тің орнына 1-ді қойып, х-ті табамыз: х = 1 +7 = 8.
(8; 1) сандар жұбы екі теңдеуді де қанағаттандырады.
Жауабы: (8; 1) .
Немесе
Жауабы: ( 8; 1) .
Білімдерін бекіту кезеңі.
Топтық жұмыс.
«Алтын қақпа» интеллектуалды ойыны.
Деңгейлік тапсырмалары бар үлестірме оқушыларға таратылады
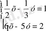
А деңгейі. Тас қақпа.
№1.
№2.
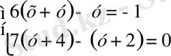
Б деңгейі. Күміс қақпа.
№1.
№2.
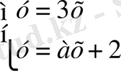
С деңгейі. Алтын қақпа.
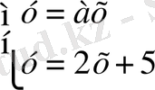
№1. а - ның қандай мәніндн теңдеулер жүйесінің шешімі болмайды?
№2. а - ның қандай мәніндн теңдеулер жүйесінің бір ғана шешімі болады?
«Алтын қақпа»-ға дейін бірінші жеткен топ жеңімпаз аталады.
Бір-бірін бағалауды «Карусель» әдісімен жүргізу ұсынылады.
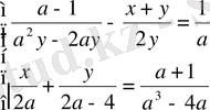
Жұптық жұмыс
№1.
1)
; 2)
№2.
1)
;
2)
3)
№3.
- (5; 6) мәндер жұбытеңдеулер
жүйесінің шешімі болса, онда a мен b мәндерін табыңыз.
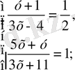
2)
m
мен
b
қандай мәнінде (
m; 3
) мәндер жұбы
теңдеулер жүйесінің шешімі болады?
Сабақтың соңы
5 мин
«Жалғасын тап» әдісі арқылы сабақты қорытындылаймын:
Үйге тапсырма беру:
Шығармашылық.
1. х пен у - ке қатысты теңдеулер жүйесінің шешімін табыңыз:3.
. Жауабы:
.
Рефлексия
«Сөйлемді жалғастыр» (дәптерге жазады) .
- Бүгінгі сабақта . . . білдім
- … үйрендім
- … қиындықттуындады
- … әлі де жұмыстануымкерек
… мағанқызықболды?
Мақсаты: Өз ойын айтып, сабақты бекіту, қорытындылау.
Тиімділігі: Оқушы алған білімін жинақтап, саралай білуге дағдыланады.
Саралау: Бұл тапсырмада саралаудың «Қорытынды» тәсілі көрініс табады.

- Іс жүргізу
- Автоматтандыру, Техника
- Алғашқы әскери дайындық
- Астрономия
- Ауыл шаруашылығы
- Банк ісі
- Бизнесті бағалау
- Биология
- Бухгалтерлік іс
- Валеология
- Ветеринария
- География
- Геология, Геофизика, Геодезия
- Дін
- Ет, сүт, шарап өнімдері
- Жалпы тарих
- Жер кадастрі, Жылжымайтын мүлік
- Журналистика
- Информатика
- Кеден ісі
- Маркетинг
- Математика, Геометрия
- Медицина
- Мемлекеттік басқару
- Менеджмент
- Мұнай, Газ
- Мұрағат ісі
- Мәдениеттану
- ОБЖ (Основы безопасности жизнедеятельности)
- Педагогика
- Полиграфия
- Психология
- Салық
- Саясаттану
- Сақтандыру
- Сертификаттау, стандарттау
- Социология, Демография
- Спорт
- Статистика
- Тілтану, Филология
- Тарихи тұлғалар
- Тау-кен ісі
- Транспорт
- Туризм
- Физика
- Философия
- Халықаралық қатынастар
- Химия
- Экология, Қоршаған ортаны қорғау
- Экономика
- Экономикалық география
- Электротехника
- Қазақстан тарихы
- Қаржы
- Құрылыс
- Құқық, Криминалистика
- Әдебиет
- Өнер, музыка
- Өнеркәсіп, Өндіріс
Қазақ тілінде жазылған рефераттар, курстық жұмыстар, дипломдық жұмыстар бойынша біздің қор #1 болып табылады.

Ақпарат
Қосымша
Email: info@stud.kz