"300,450 және 600 бұрыштар үшін синустың ,косинустың және тангенстің мәні" тақырыбына есептер шығару

Батыс Қазақстан облысы
Казталов ауданы
Қараөзен мектеп-лицейінің математика пәнінің мұғалімі:
Хайрошева Гаухар Талапкалиевна
Сабақтың тақырыбы: «30 0 , 45 0 және 60 0 бұрыштар үшін синустың, косинустың және тангенстің мәні» тақырыбына есеп тер шығару.
Сабақтың мақсаты: Білімділік. 30 0 , 45 0 және 60 0 бұрыштар үшін синустың, косинустың және тангенстің мәнін, негізгі тригонометриялық тепе-теңдіктерді, Пифагор теоремасын, тікбұрышты үшбұрыштың сүйір бұрышының синусы, косинусы және тангенсі формулаларын пайдаланып есеп шығару дағдыларын арттыру.
Дамытушылық. Математикалық есептерді шығару арқылы логикалық ойлау, байқау қабілеттерін және білім, білік дағдыларын дамыту
Тәрбиелік.
Сабақтың типі: Бекіту сабақ
Сабақтың түрі: Дәстүрлі
Көрнекілігі: Интерактивті тақта, таратпа қағаздар
Әдісі: сұрақ-жауап, есептер шығару, өздік жұмыс жазу, деңгейлік тапсырмалар орындау
Барысы: ұйымдастыру
Үй жұмысын тексеру
Сұрақ-жауап (үйге берілген тапсырма бойынша оқушылар бір-біріне сұрақтар қояды)
Есептер шығару
Өздік жұмыс орындау
Қорытындылау
Үйге тапсырма
1. Үй жұмысын тексеру
№281
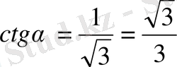
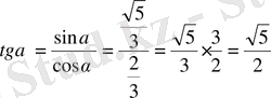
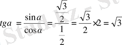
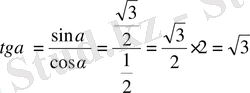
1)
,
2)
,
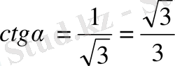
3)
4)
2. Сұрақ-жауап
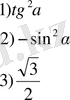
3. Есептер шығару
№155 (есептер жинағынан)
1.
2.
3.
4.
№160
Тікбұрышты үшбұрыштың бір катеті 8 см, ал гипотенузасы екінші катетінен 4 см артық. Гипотенузаны табыңдар.
a=8см, b=x, c= x+4
64+x 2 =x 2 +8x+16
8x=48
x=6
c=6+4=10 жауабы: 10 см
Ауызша есеп (суретке қарап, белгісізді тап)
AB=6см, АС=5см BС=1см, АС=
см
Дарынды оқушылармен жұмыс
1. АВС үшбұрышының бүйір қабырғалары АВ= ВС=5 см, табаны АС=8 см. Сүйір бұрышының синусын, косинусын, тангенсін тап.
2. Тік бұрышты үшбұрыштың катеті 21 см тең, ал гипотенузасы 35 см. Үшбұрыштың биіктігін табыңыз.
3. Ромбының диагональдары 18 см және 80 см тең. Ромбының қабырғасын анықтаңыз.
Нашар оқитын оқушымен жұмыс
1. Sin60 0 2) cos 30 0 , 3) ctg60 0 мәндерін жаз
Қорытындылау, бекіту
Өздік жұмыс
Жауаптары
Үйге: №282
- Іс жүргізу
- Автоматтандыру, Техника
- Алғашқы әскери дайындық
- Астрономия
- Ауыл шаруашылығы
- Банк ісі
- Бизнесті бағалау
- Биология
- Бухгалтерлік іс
- Валеология
- Ветеринария
- География
- Геология, Геофизика, Геодезия
- Дін
- Ет, сүт, шарап өнімдері
- Жалпы тарих
- Жер кадастрі, Жылжымайтын мүлік
- Журналистика
- Информатика
- Кеден ісі
- Маркетинг
- Математика, Геометрия
- Медицина
- Мемлекеттік басқару
- Менеджмент
- Мұнай, Газ
- Мұрағат ісі
- Мәдениеттану
- ОБЖ (Основы безопасности жизнедеятельности)
- Педагогика
- Полиграфия
- Психология
- Салық
- Саясаттану
- Сақтандыру
- Сертификаттау, стандарттау
- Социология, Демография
- Спорт
- Статистика
- Тілтану, Филология
- Тарихи тұлғалар
- Тау-кен ісі
- Транспорт
- Туризм
- Физика
- Философия
- Халықаралық қатынастар
- Химия
- Экология, Қоршаған ортаны қорғау
- Экономика
- Экономикалық география
- Электротехника
- Қазақстан тарихы
- Қаржы
- Құрылыс
- Құқық, Криминалистика
- Әдебиет
- Өнер, музыка
- Өнеркәсіп, Өндіріс
Қазақ тілінде жазылған рефераттар, курстық жұмыстар, дипломдық жұмыстар бойынша біздің қор #1 болып табылады.

Ақпарат
Қосымша
Email: info@stud.kz