Иінді таразылар

Пәні: физика
Класы: 7а
Сабақ тақырыбы : §70. Иінді таразылар. §71. Жай механизмдер.
Сабақтың мақсаты: Оқушыларға иінді таразылар, жай механизмдер және олардың жұмыс істеу принциптері туралы түсінік беру .
Сабақтың міндеттері:
1. Жай механизмдердің түрлерімен таныстыру.
2. Оқушыларды ғылыми ой қорытындыларын жасай білуге дағдыландыру.
3. Жауапкершілікке, тиянақтылыққа, еңбекқорлыққа тәрбиелеу.
Сабақ түрі: дәстүрлі емес, саяхат сабақ
Сабақтың типі: жаңа тақырыпты түсіндіру
Сабақ әдісі : баяндау, сұрақ-жауап, есеп шығару
Сабаққа қажетті құралдар: компьютер, слайдтар, видеопроектор, иінтірек, таразылар, блоктар, жүктер, саяхат бағыты сызылған плакат, суреттер.
Сабақтың құрылымы:
- Ұйымдастыру бөлімі
- Саяхатқа даярлық (үй тапсырмасын тексеру) .
- Жаңа сабақты түсіндіру.
А) «Иінді таразылар» елімен танысу. (жаңа тақырыпты түсіндіру)
№1 бөгет (жаңа сабақты бекіту)
Ә) «Жай механизмдер» елімен танысу. (жаңа тақырыпты түсіндіру)
- Сабақты бекіту тапсырмалары:
№2 бөгет
№3 бөгет
№4бөгет
- Үйге тапсырма беру.
- Бағалау.
Сабақ барысы:
1. Ұйымдастыру кезеңі: Оқушылармен амандасу, сабаққа қатысымы мен даярлығын тексеру.
2. Мұғалімнің сөзі: Оқушылар, бүгінгі сабағымызда саяхатқа шығамыз. Саяхатқа шығу үшін төмендегідей тапсырмаларды орындауларыңыз керек:
1. Дененің механикалық энергиясы деп қандай энергияны айтады?
2. Механикалық энергияның сақталу заңын қалай тұжырымдайды?
3. Иіндік деген не?
4. Күш иіні дегеніміз не?
5. Күш моменті деген не?
6. Қандай шарт орындалғанда қозғалмайтын ось төңірегінде айнала алатын дене тепе-теңдікте тұра алады?
Автобуспен саяхатымызды жалғастырайық.
3. Енді «Иінді таразылар» елімен танысайық.
Иінді таразылар елімен таныспас бұрын мына сұрақтарға жауап берейік.
Иінді таразылар дененің массасын өлшеу үшін қолданылады.
Зертханалық теңиінді таразының жұмыс істеу принципін демонстрациялау.
Таразы тепе-теңдікте тұрғанда бұл күштердің күш моменттері тең болуы керек, яғни
немесе
Зертханалық теңиінді таразыда күш иіндері тұрақты шама:
d 1 =d 2
m 1 g=m 2 g
m 1 =m 2.
Егер кір тастарының массасы өлшенетін дененің массасына тең болса, онда теңиінді таразы тепе-теңдік күйде болады.
Аса ауыр денелердің массаларын анықтау үшін қолданылатын таразылардың оң және сол иіндері әр түрлі ұзындықта жасалады.
Ондай таразының тепе-теңдік шарты:
mgℓ=MgL, мұндағы m-кір тастарының массасы, М-өлшенетін дененің массасы.
Иіндері үшін он саны еселік болып келетін таразылар ондық таразылар деп аталады.
Оқушылар, «Иінді таразылар» елімен танысып болсақ әрі қарай саяхатымызды жалғастырайық.
4. Жол бойындағы бөгеттің тапсырмасын орындау:
1. Теңиінді таразының тепе-теңдік шарты қалай оқылады?
2. Теңиінді және ондық таразылардың жұмыс істеу принциптерінің өзгешелігі неде?
3. Бір ғана кір тасымен жұмыс істейтін таразы түрі бар ма? Бар болса, оның жұмыс істеу принципі қандай?
Саяхатымызды одан әрі жалғастырайық.
5. Алдымызда тағы бір елдің барын көріп келе жатырмыз. Енді «Жай механизмдер» елімен танысайық:
Күшті түрлендіріп, қозғалыс бағытын өзгерту үшін қолданылатын құралдар механизмдер деп аталады.
Жай механизмдерге мыналар жатады: иіндік, блок, шығыр, көлбеу жазықтық және оның өзге түрлері: сына, бұранда.
d 1 -жұмысшы күшінің иіні,
d 2 -жүктің ауырлық күшінің иіні,
Ғ 1 -жұмысшының жасайтын күші,
Ғ 2 -көтеретін дененің ауырлық күші.
Жұмысшы күшінің иіні ауырлық күшінің иінінен неше есе үлкен болса, жұмысы күштен сонша есе ұтады.
Әр түрлі иіндіктер тұрмыста жиі қолданылады. Мысалы:
Блок дегеніміз-өз осінің төңірегінен айнала қозғала алатын, шетінде науасы бар доңғалақ тегершік.
Жүк көтергенде айналу осі не жоғары, не төмен қозғалмайтын блок жылжымайтын блок деп аталады (а-сурет) .
Жылжымайтын блокты теңиінді иіндік деп қарастыруға болады (ә-сурет) .
Жүкпен бірге блоктың айналу осі де көтеріліп немесе төмен түсіп отырса, ондай блок жылжымалы блок деп аталады (б-сурет) .
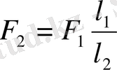
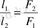
В-суретте жылжымалы блок иіндік ретінде көрсетілген. Мұндағы 0-иіндіктің тіреу нүктесі, Р-ауырлық күшінің иіні -АО, Ғ жұмыс істейтін күштің иіні-ВО.
ВО иіні АО иінінен 2 есе артық болғандықтан Ғ күші Р күшінен 2 есе кем. Күш моменттерінің тепе-теңдік шарты бойынша
Бұдан:
яғни
Күштен ұту үшін жылжымалы және жылжымайтын блоктарды бірге пайдаланады (г-сурет) .
«Жай механизмдер» елімен танысып болсақ, саясатымызды әрі қарай жалғастырайық.
№2 бөгет Деңгейлік тапсырмалар.
І деңгей
(Оқулықпен жұмыс)
41 - жаттығу
1. 177 - суреттегі иіндіктердің тірек нүктелерін және күш иіндерін сызба түрінде анықтаңдар.
ІІ деңгей
Иіндік (рычаг) тепе - теңдікте болуы үшін А нүктесіне қандай күш түсіру керек?
Берілгені: формула: шешуі:
l
1
=4cм=0, 04м F
1
l
1
= F
2
l
2
F
2
=4H*
l
2
=0, 01м
Equation. 3
F
1
=4H
Equation. 3 Жауабы: Ғ
2
=1Н
F 2 -?
- Іс жүргізу
- Автоматтандыру, Техника
- Алғашқы әскери дайындық
- Астрономия
- Ауыл шаруашылығы
- Банк ісі
- Бизнесті бағалау
- Биология
- Бухгалтерлік іс
- Валеология
- Ветеринария
- География
- Геология, Геофизика, Геодезия
- Дін
- Ет, сүт, шарап өнімдері
- Жалпы тарих
- Жер кадастрі, Жылжымайтын мүлік
- Журналистика
- Информатика
- Кеден ісі
- Маркетинг
- Математика, Геометрия
- Медицина
- Мемлекеттік басқару
- Менеджмент
- Мұнай, Газ
- Мұрағат ісі
- Мәдениеттану
- ОБЖ (Основы безопасности жизнедеятельности)
- Педагогика
- Полиграфия
- Психология
- Салық
- Саясаттану
- Сақтандыру
- Сертификаттау, стандарттау
- Социология, Демография
- Спорт
- Статистика
- Тілтану, Филология
- Тарихи тұлғалар
- Тау-кен ісі
- Транспорт
- Туризм
- Физика
- Философия
- Халықаралық қатынастар
- Химия
- Экология, Қоршаған ортаны қорғау
- Экономика
- Экономикалық география
- Электротехника
- Қазақстан тарихы
- Қаржы
- Құрылыс
- Құқық, Криминалистика
- Әдебиет
- Өнер, музыка
- Өнеркәсіп, Өндіріс
Қазақ тілінде жазылған рефераттар, курстық жұмыстар, дипломдық жұмыстар бойынша біздің қор #1 болып табылады.

Ақпарат
Қосымша
Email: info@stud.kz