Математика. Туынды тарауын қорытындылау

Аякөз қаласының политехникалық колледжі
Бекіту сабағы
Пән: Математика
Тарау: Туынды
Оқытушы: Айтмухамбетова Б. Е.
2009-2010 оқу жылы
Сабақ жоспары
Күні:
Топ:
Сабақтың тақырыбы: Туынды тарауын қорытындылау
- Білімділік мақсаты:Туынды туралы толық білімдерін жүйелеу.
- Дамытушылық мақсаты:Туынды туралы білімдерін қалыптастыру
- Тәрбиелік мақсаты:Жылдам қозғалуға, есте тез сақтауға тәрбиелеу
Сабақтың типі: Бекіту сабағы
Тексеру формасы: Сұрақ-жауап, есеп шығарту арқылы
Корнекіліктер: Интерактивті тақта
Сабақтың кезеңі:
Ұйымдастыру: Сәлемдесу, түгендеу, туынды туралы туралы қысқаша сұрау, үй тапсырамасын тексеру.
І. Карточкадағы сұрақтарға жауап беру.
ІІ. Домино ойынын ойнату
ІІІ. Кестені толтыру
IV. Мамандықтарымен ұштастыру
V. Бағалау
І. Карточканың сұрақтары:
- Екі функцияның қосындысының туындысы
- Екі функцияның айырмасының туындысы
- Екі функцияның көбейтіндісін туындысы
- Екі функцияның бөліндісін туындысы
- Тұрақты санның туындысы
- Дәрежелік функцияның туындысы
- n-ші дәрежелі функцияның туындысы
- Косинус және синус функцияларының туындысы
- Тангенс және котангенс функцияларының туындысы
- Күрделі функцияның туындысы
ІІ. Домино ойынының тапсырмалары:
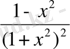
- ()
- ()
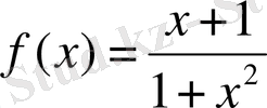
- , х= 2, 02. (f(2, 02) ≈ 14, 57995)
- функциясының өспелі және кемімелі болатын аралықтарын анықтау қажет. ( (-1; 1) аралығында функция өспелі, ал (-∞; -1) U(1; +∞) аралығында функция кемімелі болады)
- , х=2 болатын нүктеде жүргізілген жанаманың теңдеуін тап. ()
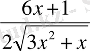
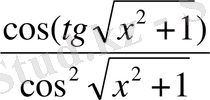
- туындысын тап ()
- туындысын тап ()
- туындысын тап ()
- функциясының екінші ретті туындысын тап. ()
- туындысын тап ()
ІІІ. Кестені толтыру тапсырмалары:









IV. Мамандықтарымен ұштастыру
Енді осы аталған құрылғыларды көрсетіңдер
V. Бағалау
Үй тапсырмасы: Бақылауға дайындық
Пәнаралық байланыс: Геометрия, сызу
Оқытушы: Айтмухамбетова Балжан Ерлановн
Екі функцияның қосындысының туындысы
Екі функцияның айырмасының туындысы
Екі функцияның көбейтіндісін туындысы
Екі функцияның бөліндісін туындысы
Тұрақты санның туындысы
Дәрежелік функцияның туындысы
n-ші дәрежелі функцияның туындысы
Косинус және синус функцияларының туындысы
Тангенс және котангенс функцияларының туындысы
Күрделі функцияның туындысы
х = 2, 02
функциясының өспелі және кемімелі
болатын аралықтарын анықта
f(2, 02) ≈ 14, 5
х=2 болатын нүктеде
жүргізілген жанаманың
теңдеуін тап
(-1; 1) аралығында
функция өспелі
(-∞; -1) U(1; +∞) туындысын тап
аралығында
функция кемімелі
туындысын тап
туындысын тап
функциясының екінші
ретті туындысын тап
туындысын тап
.









- Іс жүргізу
- Автоматтандыру, Техника
- Алғашқы әскери дайындық
- Астрономия
- Ауыл шаруашылығы
- Банк ісі
- Бизнесті бағалау
- Биология
- Бухгалтерлік іс
- Валеология
- Ветеринария
- География
- Геология, Геофизика, Геодезия
- Дін
- Ет, сүт, шарап өнімдері
- Жалпы тарих
- Жер кадастрі, Жылжымайтын мүлік
- Журналистика
- Информатика
- Кеден ісі
- Маркетинг
- Математика, Геометрия
- Медицина
- Мемлекеттік басқару
- Менеджмент
- Мұнай, Газ
- Мұрағат ісі
- Мәдениеттану
- ОБЖ (Основы безопасности жизнедеятельности)
- Педагогика
- Полиграфия
- Психология
- Салық
- Саясаттану
- Сақтандыру
- Сертификаттау, стандарттау
- Социология, Демография
- Спорт
- Статистика
- Тілтану, Филология
- Тарихи тұлғалар
- Тау-кен ісі
- Транспорт
- Туризм
- Физика
- Философия
- Халықаралық қатынастар
- Химия
- Экология, Қоршаған ортаны қорғау
- Экономика
- Экономикалық география
- Электротехника
- Қазақстан тарихы
- Қаржы
- Құрылыс
- Құқық, Криминалистика
- Әдебиет
- Өнер, музыка
- Өнеркәсіп, Өндіріс
Қазақ тілінде жазылған рефераттар, курстық жұмыстар, дипломдық жұмыстар бойынша біздің қор #1 болып табылады.

Ақпарат
Қосымша
Email: info@stud.kz