Математикадан тест тапсырмалары

7 сынып математика
І нұсқа
1. Дәрежеге шығарыңдар:
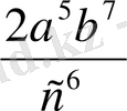
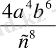
A)
B)
С)
D)
2. Есептеңдер: 5 2 · 5 3 : 5 =
А) 5 3 В) 5 5 С) 1 Д) 5 4
3. Тең бүйірлі үшбұрыштың бүйір қабырғасы 17см, ал табаны 16см. Периметрін табыңыз. А. 60см В. 65см С. 50см Д. 49 см
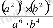
4.
өрнегін ықшамдар.
А.
В.
С.
D.
5.
функциясының графигіне тиісті емес нүктені анықтаңдар.
А. (1; 3) В. (0; 0) С. (0; 3) D. (2; 12)
6. 9х 6 у 4 бірмүшесін өрнектің квадраты түрінде өрнектеңдер.
A) (3х 3 у 2 ) 2 C) (81х 3 у 2 ) 2 D) (9х 3 у) 2 B) 81х 12 у 8
7. Өрнекті ықшамдаңдар: 6m-2+2m+3=
А) 8m+1 В) 4m-1
C ) 6+5m Д) 8m +5
8. Тең қабырғалы үшбұрыштың бұрыштары неше тең?
А) 75 0 В) 50 0 С) 65 0 D) 60 0
9. Тік бұрыштың градустық өлшемі.
А) 90 0 В) 180 0 С) 165 0 D) 60 0
10. көпмүше түріне келтір: (m+4) 2
А) m+8m+16 В) m 2 +8m+16
С) 8m+16 D) m 2 -8m+16
7 сынып математика
ІІ нұсқа
1. Дәрежеге шығарыңдар:
A)
B)
С)
D)
2. Есептеңдер: (2а 3 в 2 ) 2 · ( -3ав 2 ) 3 =
А) 108а в В) -108а 9 в 10 С) -6 ав 9 Д) 6а 9 в 10
3. Тең бүйірлі үшбұрыштың бүйір қабырғасы 7см, ал табаны 5см. Периметрін табыңыз.
А. 19см В. 5см С. 7см Д. 9 см
4. Дәреже түрінде жазыңдар:
А) 1 В)
С)
D)
5. У = Х 3 функциясының графигіне қайсы нүкте тиісті ?
А) К(-2, 10) В) К (-1; -1)
С) М( 3; 9 ) Д) М(4; -6)
6. 64а 6 b 4 бірмүшесін өрнектің квадраты түрінде өрнектеңдер.
A) (32a 3 b 2 ) 2 В) (8a 3 b 2 ) 2
D) (8a 3 b) 2 С) (8ab 2 ) 2
7. Өрнекті ықшамдаңдар:
өрнегін ықшамдаңдар.
А. 108
В.
С. 400
D. 150
8. Үшбұрыштың ішкі бұрыштарының қосындысы:
А) 175 0 В) 150 0 С) 165 0 D) 180 0
9. Жазыңқы бұрыштың градустық өлшемі:
А) 90 0 В) 50 0 С) 15 0 D) 180 0
10. көпмүше түріне келтір: (a-3) 2
А) a 2 -6a+9 В) a-6a+9
С) a 2 -6a D) 6a+9
7 сынып математика
ІІІ нұсқа
1. Дәрежеге шығарыңдар:
А)
В)
С)
Д)
2. Есептеңдер: 4 2 ·4
А) 4 3 В) 4 5 С) 1 Д) 4 4
3. Тең бүйірлі үшбұрыштың бүйір қабырғасы 10см, ал табаны 5см. Периметрін табыңыз.
А. 25см В. 15см С. 7см Д. 9 см
4.
өрнегін ықшамдаңдар
А)
В) 4 С)
D) а
5. у= х 2 функциясының графигі мына нүктелердің қайсысы арқылы өтеді?
A) (0; 3) B) (-1; 1) C) (1; 2) D) (2; 0)
6 25а 8 b 6 бірмүшесін өрнектің квадраты түрінде өрнектеңдер.
A) (25a 4 b 3 ) 2 В) (5a 4 b 3 ) 2
D) (5a 6 b 4 ) 2 с) (225a 16 b 12 )
7. Өрнекті ықшамдаңдар:
2х 3 · 3х 5 =
А) 2х 8 В) 3х 5 С) 5х Д 6х 8
8. 45 0 - қа тең бұрышпен сыбайлас бұрышты тап.
А) 135 0 В ) 150 0 С) 165 0 D) 170 0
9. Доғал бұрыштың градустық өлшемі:
А) 90 0 қа тең В) 180 0 - қа тең С) 90 0 тан кіші D) 90 0 тан үдкен
10. көпмүше түріне келтір: (x+c) 2
А) x 2 +x+c 2 В) x+xc+c
С) x 2 +c 2 D) x 2 -xc-c 2
Жауаптары:
1 нұсқа
вдсдсаадав
Жауаптары:
2 нұсқа
аваавдадда
Жауаптары:
3 нұсқа
ввдада
5 сынып математика
1 нұсқа
1. 3, 6, 11, 13 - жай санды тап
А) 3, 11, 13 в) 3, 6, 13
с) 6, 11, 13 д) барлығы
2. 56, 59, 63, 69, 71 - құрама санды тап
А) 56, 63, 69 Б) 56, 59, 71
В) 56, 63, 69, 71 д) 71, 59
3. 24- жай көбейткішке жікте
А) 2*2*2*3 в) 4*6
с) 2*2*6 д) 3*8
4. 120 жай көбейткішке жікте
А) 2*2*6*5 в) 2*2*2*3*5
с) 4*2*15 д) 5*3*11
5. 5 пен 10- ның ЕҮОБ тап
А) 1 в) 10 с) 5 д) 50
6. 15, 40, 90 - ЕКОЕ тап
А) 360 Б) 90 В) 600 Д) 3600
7. Х-ң қандай натурал мәндерінде бөлшегі дұрыс бөлшек болады?
А) 4, 5, 6 . . . в) 1, 2, 3
С) 1, 2, 3, 4 д) 0, 1, 2, 3
8. Қосындыны санға бөлуді орындаңдар: (169+65) :13;
А) 18; в) 20; с) 25. Д) 80
9. Бөлшекті қысқартыңдар:
А)
в)
с)
д)
10. Бөлшекті аралас санға айналдырыңдар:
А)
в)
с)
д)
5 сынып математика
2 нұсқа
1. 23, 25, 37, 47 - жай санды тап
А) 23, 25 в) 25, 37, 47
с) 23, 37, 47 д) 47
2. 56, 59, 63, 69, 71 - құрама санды тап
А) 56, 63, 69 в) 56, 59, 71
с) 56, 63, 69, 71 д) 56, 63
3. 55- жай көбейткішке жікте
А) 1*55 в) 55 с) 5*11 д) 1
4. 98- жай көбейткішке жікте
А) 2*7*7 в) 2*49
с) 14*7 д) 1*98
5. 9 бен 15-тің ЕҮОБ тап.
А) 3 в) 9 с) 15 д) 45
6. 56 мен 8 ЕКОЕ тап
А) 56 в) 8 с) 1 Д) 7
7. Х-ң қандай натурал мәндерінде
бөлшегі дұрыс бөлшек болады?
А) 4, 5, 6 . . . в) 1, 2, 3
С) 1, 2, 3, 4 д) 0, 1, 2, 3
8. Қосындыны санға бөлуді орындаңдар: (66+12) :6;
А) 13; в) 22; с) 14. Д) 56
9. Бөлшекті қысқартыңдар:
А)
в)
с)
д)
10. Бөлшекті аралас санға айналдырыңдар:
А)
в)
с)
д)
5 сынып математика
3 нұсқа
1. 3, 5, 15, 25- жай санды тап
а) 3, 5 ә) 25, 15, б) 5, 15, 25
в) 1, 15
2.
9 сынып математика
1 нұсқа
1. Берілген нүктелердің қайсысы х 2 +у 2 =144 шеңберіне тиісті?
А. (6; 10) В. (0; 12)
С. (9; 8) D. (-12; 12)
2.
теңдеулер жүйесін шеш
3.
арифметикалық прогрессия. Егер а
1
=10, d=-0. 1 болса, онда а
4
-ті табыңдар.
4. 10; 8; . . . - арифметикалық прогрессия. S 10 -ді есептеңдер.
5. Тізбектердің қайсысы геометриялық прогрессия болады.
А. 1000; 100; 10; 1; 0, 1; . . .
В. 2; 4; 8; 16; 32; . . .
С. 3; 0; -3; -6; -9; . . .
D. 4, 9; 16; 25 . . .
6.
- геометриялық прогрессия. Егер
және
болса, онда
-ны есепте.
- Іс жүргізу
- Автоматтандыру, Техника
- Алғашқы әскери дайындық
- Астрономия
- Ауыл шаруашылығы
- Банк ісі
- Бизнесті бағалау
- Биология
- Бухгалтерлік іс
- Валеология
- Ветеринария
- География
- Геология, Геофизика, Геодезия
- Дін
- Ет, сүт, шарап өнімдері
- Жалпы тарих
- Жер кадастрі, Жылжымайтын мүлік
- Журналистика
- Информатика
- Кеден ісі
- Маркетинг
- Математика, Геометрия
- Медицина
- Мемлекеттік басқару
- Менеджмент
- Мұнай, Газ
- Мұрағат ісі
- Мәдениеттану
- ОБЖ (Основы безопасности жизнедеятельности)
- Педагогика
- Полиграфия
- Психология
- Салық
- Саясаттану
- Сақтандыру
- Сертификаттау, стандарттау
- Социология, Демография
- Спорт
- Статистика
- Тілтану, Филология
- Тарихи тұлғалар
- Тау-кен ісі
- Транспорт
- Туризм
- Физика
- Философия
- Халықаралық қатынастар
- Химия
- Экология, Қоршаған ортаны қорғау
- Экономика
- Экономикалық география
- Электротехника
- Қазақстан тарихы
- Қаржы
- Құрылыс
- Құқық, Криминалистика
- Әдебиет
- Өнер, музыка
- Өнеркәсіп, Өндіріс
Қазақ тілінде жазылған рефераттар, курстық жұмыстар, дипломдық жұмыстар бойынша біздің қор #1 болып табылады.

Ақпарат
Қосымша
Email: info@stud.kz