Ожсб тест тапсырмалары, математика, 9-сынып

1-нұсқа
1. Өрнектің мәнін табыңыз: (
А) 1; В) 0, 1; С) 0, 2; Д) 2; Е) 0, 5.
2. Екінші сан бірінші саннан 2 есе артық, ал үшінші сан бірінші саннан 3 есе артық, қосындысы 300-ге тең болатын үш санды табыңыз.
А) 30; 60; 210. В) 40; 80; 100. С) 70; 80; 150. Д) 60; 120; 150. Е) 50; 100; 150.
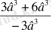
3. Өрнектің мәнін табыңыз:
А) 28; В) 26; С) 24; Д) 14; Е) 196.
4. Цех жиналысына 69 жұмысшы қатысты, олар барлық цех жұмысшыларының 92% құрайды. Жиналысқа қанша жұмысшы қатысқан жоқ?
А) 5. В) 6. С) 7. Д) 8. Е) 9.
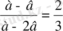
5. х :1 пропорцияның белгісіз мүшесін табыңыз.
А) 1 В) 1 С) 1 Д) 1. Е) 2
6. Өрнектің мәнін табыңыз: 15а+7а -11а+23, егер а=2.
А) 42. В) 43. С) 44. Д) 45. Е) 46.
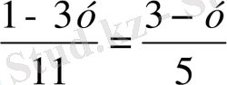
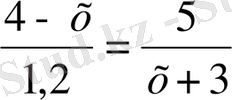
7. Теңдеуді шешіңіз: 2х-5=2.
А) 2, 5; 3, 5. В) 1, 5; 2, 5. С) 2, 6; 3. Д) 1, 5; 3, 5. Д) 3; 8.
8. Теңдеуді шешіңіз: 8х-3(2х-3) =7х-2(5х+8)
А) 5. В) 1. С) 2. Д) -5. Е) -1.
9. Үшмүшені көбейткіштерге жіктеңіз: х² + 8х + 15
А) (х-3) (х-5) . В) (х+3) (х+5) . С) (х-3) (х+5) . Д) (х+3) (х-5) . С) (х-1) (х-15)
10. Бөлшек бөліміндегі иррационалдықтан құтылыңыз:
А) 3 ( ) . В) 3 ( ) . С) . Д) . Е) .
11. Теңдеуді шешіңіз: 25( 1-2х) ² =0.
А) 2. В) 1, 5. С) 1. Д) 0, 5. Е) 0.
12. Модульді ашыңыз:
А) В) С) √10 -3. Д) -3 -√10. Е) 3√10.
13. Өрнекті ықшамдаңыз: 4(х-1) ²+8х.
А) 4х² - 4. В) 4х²+18х+4. С) х² - 4. Д) 4х² + 4. Е) х² +4.
14. Өрнекті көпмүше түріне келтіріңіз: (а-3х+6) (а-3х-6) .
А) а²+6ах+9х² - 36 . В) а² - 6ах - 9х² - 36 . С) а² - 6ах+9х² - 36 . Д) а² - 9х² - 36 . Е) а²+9х² +36.
15. Екі ауылдың ара қашықтығы 36 км. Осы қашықтықты велосипедші 3 сағат ішінде, ал жаяу жүруші 6 сағат ішінле жүріп өтеді. Егер велосипедші мен жаяу жүруші екі ауылдан бір мезгілде қарама- қарсы жүрсе, неше сағаттан кейін бір-бірімен кездеседі?
А) 1 сағ. В) 4сағ. С) 2 сағ. Д) 2, 5 сағ. Е) 3 сағ.
16. Ортақ мүше формуласымен тізбек берілген:
Оның жетінші мүшесін табыңыз.
А) 42. В) 49. С) 47. Д) 51. Е) 50.
17. Арифметикалық прогрессияның жетінші мүшесін табыңыз: 8; 6, 5; 5 . . .
А) 2. В) 1, 5. С) 0. Д) 1. Е) -1.
18. Геометриялық прогрессия берілді. Оның n табыңыз.
А) 5. В) 3. С) 4. Д) 2. Е) 6.
19. =3, S = шексіз кемімелі геометриялық прогрессияны жазыңыз.
А) 3; 1; В) 3; С) 1; 3; 9 Д) 9; 3; 1 . . . Е) 3; . . .
20. Теңсіздікті шешіңіз: 4 - х
А) (- ) . В) (- ) . С) (- . Д) (4; ) . Е) (-4; 4)
2-нұсқа
- Өрнектің мәнін табыңыз:
А)
в) 6 с)
д)
е)
![]()
2. Үш санның қосындысы 100-ге тең. Екінші санның бірінші санға қосындысы 5-ке тең, ал үшінші санның бірге қатынасы 2/3 тең. Осы сандарды табыңыз.
А) 13, 65, 22. в) 14, 0, 16. с) 15, 5, 0. д) 16, 80, 4. е) 12, 60, 28.
3.
![]()
өрнегін негізі х болатын дәреже түрінде жазыңыз.
А) х в) х-42 с) х-11 Д) х-12 е) 1.
4. Үш санды бір-бірімен қосты. Бірінші сан қосындының 25% екіншісі -35%құрайды. Егер үшінші сан екіншісінен 2, 1 үлкен болса, осы сандарды табыңыз.
А) 10; 14; 16. в) 0, 5; 14, 7; 6, 8; с) 0, 3; 14, 5; 16, 7; д) 15; 21; 42. е) 10; 15; 20.
5. 80 санның 10 % 60 санының 12%-нан қанша үлкен екенін табыңыз.
А) 0, 4. в) 0, 6. с) 1. д) 0, 8. е) 0, 2.
6.
өрнегінің мәнін табыңыз, егер
.
А)
в)
с) 2 д) 1 е) 8.
7. Теңдеуді шешіңіз: 6х-12= х² х-2
А) 2; -
в) 2 с) 2;
д)
е) -2;
![]()
8. Теңдеуді шешіңіз:
![]()
А) -11 в) 11 с) -10 д) 10 Е) 1.
9. Көбейткіштерге жіктеңіз:
![]()
а) (а-х) (а+х) в) (х-а) (х-ау) с) (х-а) (ау-х) д) (х-а)
е) (х-а) (х+ау)
10. Өрнекті ықшамдаңыз:
![]()
А) 1 в) 2 с) 3 д) 4 е) 5
11. Теңдеуді шешіңіз: х
-13х
+36=0
А)
в) 2; 3 с) 2; 9 д) 4; 3 е)
![]()
![]()
12. Модульді ашыңыз:
![]()
А)
в) -
с) -5+
д) 5+
![]()
Е)
![]()
13. Өрнекті көпмеше түріне келтіріңіз:
![]()
А)
-
в)
с)
д)
е)
![]()
14. Өрнекті екімүшенің квадраты түріне келтіріңіз. 16а
-24а
![]()
А) (4а
в)
с)
д) (4а
)
е) (16а -9b
)
![]()
15. Мотоцикл жүргізуші жылдамдығы 55км/сағ тең бір қаладан екінші қалаға дейінгі қашықтықты 4 сағ өтті. Басқа жолмен қайту үшін мотоцикл жүргізуші қаншауақыт кетіреді, егер жол ұзындығы 30 км артық, ал жүру жылдамдығы 5 км/сағ кем болса?
а) 4 ағ в) 4, 5 сағ с) 5 сағ д) 5, 5 сағ е) 6сағ
16. 3-ке бөлгенде қалдыққа 2 болатын натурал сандар тізбегінің ортақ мүшесінің формуласын атаңыз.
А) 2n+3 в) 2n-3 с) 3n-2 д) 3n+2 е) 3n+1
17. 5 пен 1 сандарының арасында берілген сандармен арифметикалық прогрессия құрайтындай, төрт санды орналастырыңыз.
А) 4, 3; 2; 1. в)
с) 5; 4; 3; 2; 1 д) -4;
; -
; е)
![]()
18. Қосындысы нөлге тең болу үшін арифметикалық прогрессияның 18, 16; 14; қанша мүшесін алу керек?
А) 17 в) 18 с) 20 д) 16 е) 19
19. Шексіз геометриялық прогрессияның қосындасын табыңыз:
12; -4;
. . .
А) 11 В) С) 9 Д) 13 е) 10
20. Теңсіздіктер жүйесін шешініз.
![]()
А) (-3; 10) В)
3; 10
С
Д)
3; 10) Е) ( 3; 12)
21. Берілген функциялардың қайсысы анықталу облысында жұп болады:
1) у=4
2) у=х 3) у=-3х
4) у=х
+2х
?
А) 1; 2; 3; В) 2; 4. С) 1; 3. Д) 1; 2; 4. Е) 1; 4
22. Функция мәндерінің жиынын табыңыз:
У= х
-6х-3
А) у
-3 В) у=
6 С) -6
у
0 Д) у
-6 Е) -3
у
6
23. Күміс пен мыстан тұратын қорытпаның салмағы 2 кг, күміс массасы мыстың массасының 14
% құрайды. Қорытпада қанша күміс бар?
А) 0, 25кг В) 0, 26кг С) 0, 27кг Д) 0, 28кг Е) 0, 29кг
24. Екі жұмысшы жұмыс орындап жатыр. 45 мин бірлесіп жұмыс істегеннен кейін бірінші жұмысшы басқа жұмысқа ауыстырылды, екінші жұмысшы қалған жұмысты неше уақыт ішінде аяқтар еді, егер жұмысшыға біріншіге қарағанда 1 сағ артық уақыт қажет болса?
А) 7 мен8 сағ В) 6 мен 7 сағ С) 5 мен 6 сағ Д) 4 мен 5 сағ Е) 3 мен 4 сағ
25. Егер
=
болса, cоs 2
табыңыз.
А) 0 В) 1 С) 2 Д) -1 Е)
![]()
3-нұсқа
1. Өрнектің мәнін табыңыз:
![]()
![]()
А)
в)
с) 1 д)
е)
![]()
2. Сан 25% -ға көбейтілді. Берілген санды қайтадан шығару үшін пайда болғанды неше пайызға азайту керек?
А) 20% в) 25 % с) 30 % д) 15% е) 50%
3. Өрнектің мәнін табыңыз: (-0, 25) - 3
А) 64 в)
с) 4 д) 32 е) -64
4. Жер учаскесінің 60% қара бидаймен, ал қалғанын бидаймен сеуіп тастады. Қара бидаймен жердің қандай көлемін және бидаймен қандай көлемін сеуіп тастады, егер қара бидайға қарғанда бидайды 114 га аз септі?
А) 340 га; 230га; в) 341; га 229га; с) 342га; 228 га д) 343 га; 227 га е) 344 га; 226 га
5. 300 санының 5 % табыңыз және нәтижесін 5% -ға көбейтіңіз.
А) 15, 75 в) 15, 65 с) 300 д) 300, 5 е) 30, 75
6. Өрнектің мәнін табыңыз:
, егер р(х) =1+2х+3х²+4х
+5х
![]()
А) -1 в) 0 с) 2 д) 1 е) 3
7. Теңдеуді шешіңіз.
![]()
А) -8 в) -8; 2 с) -2; 8 д) 8 е) 2
8. Теңдеуді шешіңіз. :
![]()
А) 1 в)
с)
д)
е)
![]()
9. Көбейткіштерге жіктеңіз. xу-zy-x
+2хz-z
![]()
А) (х-у) (х+у+z) в) (х-z) (y-x+z) c) (y-z) (x-y+z) d) (z-x) (x+y+z) e) (x+у) (x-y-z)
10. Өрнекті ықшамдаңыз:
![]()
А)
в)
с) 3
д) 1 е) 2
![]()
11. Теңдеуді шешіңіз: (х-2)
![]()
А) 2 в)
с) 0; 2 д) 0; -2
е) нақты түбірлері жоқ
12. Өрнектің мәнін табыңыз:
а= -2, b= - 3. c= -4.
А) 1 в) -2 с) 2 д) -3 е) 3
13. Өрнекті ықшамдаңыз: (а-4)
-(а-1) (а+1) .
А) 17-8а в) 16-8а с) 2а
-8а+16 д) 2а
+8а-16 е) 8а+17
14. Өрнекті дәрежеге шығарыңыз:
![]()
А)
в)
с)
![]()
Д)
е)
![]()
15. Бір платформадан қарама-қарсы бағытта екі электропоезд жүрді. Біреуінің жүру жылдамдығы 70км/сағ, ал екіншісінікі -80 км/сағ. Неше сағаттан кейін олардың арасындағы қашықтық 600км болады?
А) 5 сағ в) 3 сағ с) 3, 5 сағ д) 4 сағ. е) 4, 5 сағ
16. Егер а
=1, а
болса, тізбектің алтыншы мүшесін табыңыз {an},
a) 5 в) 11 с) 10 д) 8 е) 6
17. а
болатын арифметикалық прогрессияның айырмасын және бірінші мүшесін табыңыз.
А) -13; 3. в) -13; 4. с) 13; 4 д) 13; 2 е) -13; 1.
18. Ортақ мүшесі а
тең тізбектің 75 мүшесінің қосындысын табыңыз.
А) 7 215 в) 7 125 с) 7 605 д ) 7 345 е) 7 412
19. Геометриялық прогрессияның еселігі
, төртінші мүшесі
ал барлық мүшелерінің қосындысы
тең. Прогрессия мүшелерінің санын табыңыз.
А) 4 в) 2 с) 7 д) 5 е) 3
20. Теңсіздікті шешіңіз: 3х
+5х-8
![]()
А)
в) (1;
) с)
д)
е) (-
)
4-нұсқа
1. Есептеңіз:
![]()
А) 7 в) 9 с)
д)
е)
2. 3-ке еселік сандарды көрсетіңіз:
А) 143 в) 26 с) 71 д) 179 е) 145
3. Есептеңіз(3
)
А)
в) 81 с) 729 д)
е) 9
4. 1 200санынан 20 % табыңыз.
А) 210 в) 80 с) 260 д) 240 е) 370
5. х-ты табыңыз:
А) -2 в) 3 с) -3 д) 3; -2 е) 2
6. Өрнектің мәнін табыңыз:
мұндағы а=5, жане в=6
А)
в)
с)
д)
е)
7. Өрнекті ықшамдаңыз(в-3) (в
) +
А) в
-30 в) в
-2 с) 30-в
д) 27-в
е) в
8. Теңдеудің түбірін табыңыз(3-2х)
-(2х-5) (2х+5) =0
А)
в) -
с) -
д)
е) 3
9. Көпмүшені көбейткіштерге жіктеңіз:25х
у
-16х
А) х
(4-5у) (4+5у) в) х
(5у+4) (5у-4) с) х
(ху-4) (ху+4) д) ху(5-4х) (5+4х)
е) у
(5х-4) (5х+4)
10. Бөлшек бөлімінддегі иррационалдықтан құтылыңыз:
А)
в)
с)
д)
е)
11. Теңдеудің түбірін табыңыз:х
+х
=9x+9
А) {-1; 3; -3} в) {-1; 3;
} с) {1; -3;
} д) {1; 3; -3} е) {1; -3; -
}
12. Теңдеуді шешіңіз:х
-10х+25=0
А) x=5 в) x
x
=1 с) x
=-2, x
=3 д) x=-5 е) x
=-1, x
13. 3х
-3х=0 квадрат теңдеуінің барлық түбірлерін қамтитын аралықты көрсетіңіз:
А) (-2; 9) в) [0; 11) с) (-6; 1) д) (-4; 5) е) (2; 8)
14. Токарь 120 детальды өңдеу керек еді. Жаңа кескіш қолдану арқасында ол сағатына 4 детальдан артық өңдеп, берілген тапсырманы мерзімінен 2 сағ 30 мин ерте бітірді. Жаңа кескішті қолдана отырып, токарь сағатына неше детальды өңдегенін табыңыз.
А) 16 в) 12 с) 5 д) 3 е) 4
15. Арифметикалық прогрессияның соңгы мүшесін табыңыз: а
=10, d=4, n=1.
А) 81 в) 62 с) 40 д) 50 е) 30
16. (b
) тізбегі - геометриялық прогрессия, S
табыңыз. Егер b
=18, q= -
А) -
в)
с)
д) -
е)
17. Егер 0, 3х
-6х+с=0 теңдеу түбірлерінің айырымы 15-ке тең болса, онда
с
тең болады:
А) 10, 1 в) 10, 4 с)
д) -10, 1 е) 25
18. 2х
+х
-3=0 теңдеу түбірлерінің модульдері қосындысы тең:
А) 2 в) 1 с)
д) 0 е) 4
19. Өрнекті ықшамдаңыз:
А) у в) -2 с) 2 д) у+1 е) у-1
20. 3+5>1-y теңсіздігін қанағаттандыратын аралықты көрсетіңіз
А) (-7; +
) в) [7; +
) c) (-
; -7) д) (-
, 7) е) (7; +
)
21. Функцияның ең кіші мәнін табыңыз: f(x) =4x
-7x-2
А) -5 в) -4 с) -
д) -
е) -5, 5
22. Функцияның анықталу облысын көрсетіңіз: у=
А) (-
; -5]
[5; +
) в) (5; +
) с) [1; +
) д) [5; +
) е) (5; 1)
23. 3-ке бөлінетін барлық екі таңбалы сандардың қосындысын табыңыз:
А) 1 660 в) 1 680 с) 1 665 д) 1 800 е) 1 801
24. х
+у
=20 және 2y=x графиктердің қиылысу нүктелері ординаталарының қосындысына тең:
А) 0 в) -8 с) 8 д) 2 е) 4
25. Функция мәндер жиынын табыңыз: y=x
+4x-11
a) [-8; +
) в) [-15; +
) c) [8; +
) д) [10; +
) e) [3; +
)
5-нұсқа
1. Есептеңіз:
А)
в)
с)
д)
е)
2. 6-ға еселі сандарды көрсетіңіз:
А) 143 в) 4 с) 58 д) 144 е) 479
3. Есептеңіз
-
А)
в)
с)
д)
е)
4. 900санынан 45 % табыңыз.
А) 355 в) 425 с) 286 д) 294 е) 405
5. х-ты табыңыз:
А) 7 в) -7 с)
д) 0, 7 е) -
6. Өрнектің мәнін табыңыз:
мұндағы а=3, жане в=2
А)
в) 36 с) 37 д) 39 е) 40
7. Өрнекті ықшамдаңыз(3-в) (в
)
А) 27-в
в) в
-27 с) 27-в
д) (27-в
) е) 27
8. Теңдеудің түбірін табыңыз
х-(х-32+2х
) =0
А) 4 в) - 4 с) 8 д)
4 е)
8
9. Көпмүшені көбейткіштерге жіктеңіз:4-100а
в
А) 2 (5ав+1) (5ав-1) в) 4 (10ав-1) (10ав+1) с) 4 (5ав+1) (5ав-1) д) 4(1-5ав) (1+5ав)
е) 4 (1-50ав) (1+50ав)
10. Бөлшек бөлімінддегі иррационалдықтан құтылыңыз:
А) 10-
в) 5+
с) 5-2
д) 5+2
е) -5-2
11. Теңдеудің түбірін табыңыз:1, 2х
+х=0
А) {0; -
} в) {0;
} с) {1;
} д) {
; 2} е) {
; 2}
12. Теңдеуді шешіңіз:х
-5х+6=0
А) 3; 2 в) -3; 2 с) -2; 3 д) -3; -2 е) -2; 4
13. 2х
+5х-12=0 квадрат теңдеуінің барлық түбірлерін қамтитын аралықты көрсетіңіз:
А) (4; 1, 5) в) [-4; 1, 5] с) [0; 3] д) [-5; 1] е) (4, 1; 1, 2)
14. Теплоход белгілі бір жылдамдықпен 72 км өту керек. дұрысы, жолдың бірінші жартысын ол 3 км/сағ жылдамдықпен кем және жолдың екінші жартысын 3 км/сағ жылдамдықпен артық жүрді. Барлық жолға теплоход 5 сағ кетірді. Теплоход неше минутқа кешіккенін есептеңіз.
А) 16мин в) 12мин с) 14 мин д) 18 мин е) 4 мин
15. Арифметикалық прогрессияның алғашқы 12 мүшесінің қосындысын табыңыз, ондағы а
=9, d=2.
А) 297 в) 370 с) 322 д) -652 е) 240
16. (b
) тізбегі - геометриялық прогрессия, S
табыңыз. Егер b
=4, q= - 3
А) -80 в) 80 с) 90 д) - 90 е) 95
17. Егер -8х
+4х+с=0 теңдеу түбірлерінің айырымы 12-ге тең болса, онда
с
тең болады:
А)
в) 25 с) 105 д) 200 е)
18. х
-3х
-4=0 теңдеу түбірлерінің модульдерінің қосындысы тең:
А)
в) 10 с) 5 д) 4 е) 6
19. Өрнекті ықшамдаңыз:
А) т в) -т с) т+4 д) т-4 е) 6
20. у-5>4y+4 теңсіздігін қанағаттандыратын аралықты көрсетіңіз
А) (-
; -3) в) (-
; -3] c) ( -
; -3) д) (3; +
) е) (-3; +
)
21. Функцияның ең кіші мәнін табыңыз: f(x) =-x
+x-6
А) -5, 5 в) -5, 8 с) -
д) -
е) -6
22. Функцияның анықталу облысын көрсетіңіз: у=
А) (-
; -9)
(2; +
) в) (-
; 9)
(2; +
) с) (9; 2) д) (-9; +
) е) (-
; 9)
(2; +
)
23. 7-ге бөлінетін барлық екі таңбалы сандардың қосындысын табыңыз:
А) 720 в) 721 с) 800 д) 728 е) 801
24. х+у=16 және y=-x-4 графиктерінің қиылысу нүктелерінің абсциссалар қосындысы тең:
А) 4 в) -4 с) 0 д) 8 е) 10
25. у=4х
-12х+9 функцияның мәндер жиынын табыңыз:
А) [1; +
) в) [0; +
) с) [-1; +
) д) [2; +
) е) [2; +
)
6-нұсқа
1. Өрнектің мәнін табыңыз: (4, (6) +5, 5) *6
А) 59. В) 60. С) 61. Д) 62. Е) 63.
2. Үш санның қосындысы 100-ге тең. Екінші санның біріншіге қатынасы 5-ке тең, ал үшіншінің біріншіге қатынасы 2/3. Осы сандарды табыңыз.
А) 13, 65, 22. В) 14, 70, 16. С) 15, 75, 10. Д) 16, 80, 4. Е) 12, 60, 28.
3. Өрнекті стандартты түрге келтіріңіз: (-4 ) : (3 ) ²
А) - . В) . С) - . Д) . Е) - .
4. Тұздың құрамы 16% болу үшін 800 г 10% тұз ерітіндісін қандай массаға дейін буландыру керек?
А) 550г. В) 450г. С) 400г. Д) 500г. Е) 600г.
5. Бес бульдозер алаңды 210 мин ішінде тазартты. Осы алаңды 7 бульдозер қандай уақыттың ішінде тазартады?
А) 294мин. В) 260мин. С) 150мин. Д) 154мин. Е) 180мин.
- Іс жүргізу
- Автоматтандыру, Техника
- Алғашқы әскери дайындық
- Астрономия
- Ауыл шаруашылығы
- Банк ісі
- Бизнесті бағалау
- Биология
- Бухгалтерлік іс
- Валеология
- Ветеринария
- География
- Геология, Геофизика, Геодезия
- Дін
- Ет, сүт, шарап өнімдері
- Жалпы тарих
- Жер кадастрі, Жылжымайтын мүлік
- Журналистика
- Информатика
- Кеден ісі
- Маркетинг
- Математика, Геометрия
- Медицина
- Мемлекеттік басқару
- Менеджмент
- Мұнай, Газ
- Мұрағат ісі
- Мәдениеттану
- ОБЖ (Основы безопасности жизнедеятельности)
- Педагогика
- Полиграфия
- Психология
- Салық
- Саясаттану
- Сақтандыру
- Сертификаттау, стандарттау
- Социология, Демография
- Спорт
- Статистика
- Тілтану, Филология
- Тарихи тұлғалар
- Тау-кен ісі
- Транспорт
- Туризм
- Физика
- Философия
- Халықаралық қатынастар
- Химия
- Экология, Қоршаған ортаны қорғау
- Экономика
- Экономикалық география
- Электротехника
- Қазақстан тарихы
- Қаржы
- Құрылыс
- Құқық, Криминалистика
- Әдебиет
- Өнер, музыка
- Өнеркәсіп, Өндіріс
Қазақ тілінде жазылған рефераттар, курстық жұмыстар, дипломдық жұмыстар бойынша біздің қор #1 болып табылады.

Ақпарат
Қосымша
Email: info@stud.kz