Сабақтар жинағы физика

7 сынып
Сабақтың тақырыбы: «Заттың тығыздығы»
Мақсаты:
Дене массасының оның көлеміне қатынасымен анықталатын шаманы ұғындыру .
а) білімділік: жаңа физикалық шаманы түсіндіру.
ә) дамытушылық: оқушылардың ой өрісін дамыту.
б) тәрбиелік: оқушыларды ізденімпаздылыққа үйрету.
Сабақтың көрнекілігі: таразы, мензурка, денелер, рычак, ыдыс, су, тұз, картоп
Сабақтың түрі: шығармашылық сабақ.
Сабақтың әдісі: Топпен жұмыс. Сын тұрғысынан ойлау.
Сабақтың барысы:
1. Ұйымдастыру.
2. Үй тапсырмасын сұрау.
Тестік тапсырма .
1. Ұшақ 0, 5 сағатта 25 км ұшты. Жылдамдығы қанша
а) 50 км/сағ ә) 500 км/сағ б) 125 км/сағ
2. Дене 144 км/сағ жылдамдықша уақыт кеткен.
а) 0, 55 сағ ә) 11520 сағ б) 55 сағ
3. 30 с бойы поезд 54 км/сағ жылдамдықпен қанша жол жүрді?
а) 450 м ә) 1620 м б) 45 м
4. 108 км/сағ жылдамдық қанша м/с-пен өрнектеледі?
а) 10, 8 м/с ә) 30 м/с б) 300 м/с
5. Егер денеге басқа денелер әсер етпесе, оның жылдамдығы
а) өзгереді ә) өзгермейді
6. Автобустағы жолаушы артқа шалқаяды, себебі:
а) автобус V артады ә) жылдамдық кемиді
7. Өзара әрекеттескен екі дене бірдей V алады, олардың массалары:
а) әртүрлі ә) бірдей
Үй тапсырмасын қорытындылау. Бақылау парағы.
Жаңа сабақ. Оқушыларды топқа бөлу.
Алынған мәліметтерді кестеге толтыру.
су сынап темір ауа
Бірдей көлемде массасы көбі сынап, себебі оның тығыздығы көп.
Жаңа сабақты пысықтау.
- Әр топ өз жұмыстарын түсіндіреді
- Кестенің 3 бөлігін толтыртамыз p1=m1/v1=21∙103кг≈ 0, 6∙103кг/м3. 36, 5∙10-6м3
- Алынған мәліметтерді оқулықтағы кестедегі мәліметтермен салыстырып, дұрыстығына көз жеткіземіз.
- Тығыздықтың дене массасына тура, көлеміне кері пропортциогал екендігін айтамыз.
Үйге тапсырма: §32 оқуға беріледі.
Қосымша - экспериментік тапсырма: сабынның тығыздығын есептеп келу
7 сынып
Сабақтың тақырыбы: Күш. Деформация.
Сабақтың мақсаты:
А) Білімділік: Жаңа тақырып бойынша алған блімдерін өздігінен кез-келген жағдайда пайдалана білуге үйрету;
Б) Дамытушылық: Оқушының даму жүйесін дамыту, жүйелі түрде ойлауға ізденуге бағыттау, білімге деген құштарлығын арттыру;
В) Тәрбиелік: Өмірдің барлық ағымы физикалық заңдылыққа қатысты екендігін көрсету, балаларды еңбектене, іздене білуге баулу;
Сабақ түрі: Десант сабақ
Сабақтың көрнекілігі мен техникалық құралдар: интерактивті тақта, пласталин, шар, таразы, серіппе, сызғыш, сағат, мензурка, термометр;
Сабақтың барысы:
І. Ұйымдастыру кезеңі: Оқушыларды түгендеу, сабаққа дайындығын тексеру, сынып тазалығын тексеру.
ІІ. Үй тапсырмасын сұрау.
Тест сұрақтары арқылы.
- Заттың көлем бірлігіндегі массасына тең физикалық шама
А) Заттың тығыздығы; В) Дененің массасы; С) Дененің көлемі;
- Заттың тығыздығын табатын формула
А) m=pV; B) V=m/p; C) p=m/V;
- тығыздықтың өлшем бірлігі.
А) кг; В) кг/м 3 ; С) м 3 ;
- Ұзындығы 8 см, ені 5 см, қалыңдығы 3 см алтын кесегінің көлемі қандай?
А) 120 см 3 ; В) 100 см 3 ; С) 150 см 3 ;
- Бір қалыпты қозғалатын дененің жылдамдығын анықтайтын формула.
А) v=S/t; B) S=v∙t; C) m=pV;
- 72 км/сағ неше м/с-қа тең?
А) 10 м/с; В) 20 м/с; С) 15 м/с;
- Аспан денелерінде және олардыңжүйелерінде өтетін құбылысты зерттейтін ғылым.
А) физика; В) астрономия; С) география;
- Заттың неше күйі болады?
А) 2; В) 4; С) 3;
- 1 кг - да неше грамм бар?
А) 1000 гр; В) 100 гр; С) 0, 001 гр;
- Қазақстанның алғашқы ғарышкері кім?
А) Талғат Мұсабаев; В) Юрий Гагарин; С) тоқтар Әубәкіров
Өлшеу құралдарының атын атап, атқаратын қызметтерін айту .
- Термометр;
- Сызғыш;
- Сағат;
- Мензурка;
- Таразы;
Жаңа сабақ.
«Білегі күшті бірді жығады,
білімі күшті мыңды жығады».
«Көптің күші - бірлікте».
![]()
Күш - денелердің өзара әрекеттесуін сипаттайтын шама.
Әртүрлі денеге әртүрлі күш түсіреміз.
Демек, күштің сан мән көп те, аз да болуы мүмкін.
Күш сандық мәнімен және бағытымен сипатталатын физикалық шама болып табылады.
Күшті Ғ әрпімен белгілейміз.
![]()
SІ жүйесінде күш бірлігіне ньютон (Н) алынған. 1Н - тыныштық күйіндегі массасы 1 кг денеге 1 с ішінде 1 м/с жылдамдық беретін күш. Бұдан үлкен күш бірлігі - килоньютон (кН) да қолданылады. 1кН = 1000 Н.
Дене пішінің немесе өлшемдерінің өзгеруін дефомация (латынша деформация - бүліну, бұзылу) деп атайды. Деформацияның 2 түрі бар:
- Пластикалық деформация
- Серпінді деформация
Тәжірибелер деформациялаушы күшке қарама қарсы бағытталған жаңадан бір күш пайда болатынын көрсетеді. Бұл күш серпімділік күші деп аталады.
![]()
Жаңа сабақты пысықтау.
Сәттілік кезең
- Күш дегеніміз не?
- Күш немен сипатталады?
- Күштің өлшем бірлігі қандай?
- Күш бірлігі кімнің құрметіне ие болған?
- Деформация дегеніміз не?
- Деформация нешеге бөлінеді?
- Пластикалық деформация дегеніміз не?
- Серпімді деформация дегеніміз не?
- Деформациялаушы күшке қарсы күш қалай аталады?
- Түсірілген күштің шамасы белгілі бір шектен асқанда не болады?
Физикалық диктант
- Күш сандық мәнімен және бағытымен сипатталатын болып табылады.
- SІ жүйесінде күш бірлігіне алынған.
- Физикалық негізі мақсаты табиғатта болып жатырған зерттейді.
- Дене тең уақыт аралығында ұзындығы бірдей жол жүрген, ондай қозғалыс қозғалыс деп аталады.
- Пішіні мен көлемін сақтау денеге тән қасиет.
- Дененің немесе заттың жылулық күйін сипаттайтын физикалық шама деп аталады.
«Сәйкесін тап» ойыны.
Жол т - кг
Жылдамдық s - м
Уақыт v - м/с
Масса t - c
Көлем Ғ- Н
Тығыздық V - m 3
Күш p - кг/м 3
«Кім шапшаң?» сайысы.
Есептер шығару.
1 - есеп: Көлемі 0, 012 м 3 ыдыс сумен толтырылған. Судың тығыздығы 1000 кг/м 3 . ыдыстағы судың массасы қандай?
2 - есеп: Ыдыста массасы 200 гр су бар. Судың тығыздығы 1000 кг/м 3 . Ыдыстың көлемін анықта.
3 - есеп: Массасы 2 кг, ал көлемі 100 см 3 металдың тығыздығы қандай?
4 - есеп: Көлемі 0, 1 м 3 ыдыста сүт бар. Сүттің массасын тап. Сүттің тығыздығы 1030 кг/м 3 .
Сөзжұмбақ «ФИЗИКА»
Мына сөзжұмбақты шешкенде ерекшеленген тор көзде табиғатта
болып жатырған құбылыстарды зерттейтін ғылымның аты шығады.
- Бір заттың молекулалары екінші заттың молекулаларына өтуі.
- Денеге басқа денелер әрекет етпеген кездегі жылдамдығын сақтау құбылысы.
- Заттың күйі.
- Адамзаттың тұңғыш ғарышкері кім?
- Денелердің өзара әрекеттесуін сипаттайтын шама?
- m - әрпімен белгіленетін физикалық шама?
Багалау.
Үйге тапсырма беру. § 33. Күш. §34. Деформация.
8 сынып
Сабақтың тақырыбы: “Газдардағы электр тогы”
Мақсаты:
Білімділік: газдардағы электр өткізгіштіктің физикалық табиғатын ашып көрсету.
Дамытушылық: Оқушылардың білім деңгейін және білім мазмұнының тұрақтылығы мен оны игерудегі іскерлік пен дағдыны бақылау.
Тәрбиелік: Адамгершілікке, ұқыптылыққа, алғырлыққа, отансүйгіштікке, табиғатты аялауға, сыйластық пен әдептілікке баулу.
Ұйымдастыру кезеңі
Сабақтың барысы:
- Үй тапсырмасын сұрау (сұрақтар арқылы)
- Жаңа сабақ
- Есептер шығару
4. Сергіту сәті
5. Бекіту тапсырмалары:
- Кестелік бақылау
- Тест - бақылау
- Бағалау
- Үйге тапсырма беру
Ой қозғау. Сұрақтар қою. Үй тапсырмасы
- Электр тогы дегеніміз не?
- Ток күші деп нені атайды және формуласы қандай?
- Өткізгіш ұштарындағы кернеуді қандай құралмен өлшейді және ол тізбекке қалай қосылады?
- Өткізгіш ұштарындағы ток күшін қандай құралмен өлшейді және ол тізбекке қалай қосылады?
- Тізбектің бөлігі үшін Ом заңы қалай тұжырымдалады?
Жаңа сабақ.
Газдар-диэлектриктер. Төменгі температурада (бөлме температурасы шамасында) және қалыпты атмосфералық қысымда газдар нашар өткізгіштер болып табылады. Бұның себебін былай түсіндіруге болады: газдар бейтарап атомдар немесе молекулалардан тұрады және оларда электр зарядын тасымалдаушылар (электрондар, иондар) жоқ немесе өте аз. Газдардың иондалуы. Дегенмен, қыздырудың рентген сәулелерінің, ультракүлгін немесе радиактивті сәуле шығарудың нәтижесінде газ молекулалары мен атомдарының иондалу процесі жүреді. Газдар өткізгішке айналады.
Газдардағы электр тогын тасымалдаушылар: оң иондар мен электрондар.
Иондану - сыртқы энергияның әсерінен газ молекулаларының оң иондарға және бос электрондарға бөлінуі.
Рекомбинация. Газдардың иондалуымен қатар оған кері процесс, яғни электрондардың оң иондарымен бірігуі рекомбинация (бейтарап атомдардың түзілуі) жүріп жатады. Рекомбинация сыртқы факторлардың әсерінсіз жүреді, сондықтан ионизатордың әсері жойылғанда зарядталған бөлшектер рекомбинация нәтижесінде жойылады да газ диэлектрикке айналады.
Плазма туралы түсінік. Плазма деп заттың оң және теріс зарядтарының мөлшері өзара тең, электрлік жағынан бейтарап күйін айтады. Егер плазмада бейтарап атомдар не молекулалар кездессе, оларды жартылай ионданған плазма деп атайды. Егер заттың барлық атомдары немесе молекулалары түгелдей ионданған болса, онда плазманы толық ионданған деп атайды.
2-3К температурада кез келген зат толық ионданған плазма болады. Заттың бұл күйі табиғатта барынша кең тараған. Күн және басқа жұлдызөдар жоғары температурадағы алып тығыз плазма. Атмосфераның жоғарғы қабаты ионосфера жартылай ионданған плазмадан тұрады. Ғарыштық кеңістік плазманың өте күшті сиретілген күйінен тұрады. Ток өтетін газ да жартылай ионданған плазмаға мысал бола алады.
Қызығушылықты ояту. Есептер шығару
№1. График бойынша өткізгіш кедергісінің мәнін табыңыз
№2. Бұйымның бетін күміспен қаптағанда, 30 минут ішінде катодта 4, 55 г күміс бөлініп шығады. Электролиз кезіндегі ток күшін анықтаңдар ?
№3. Ток күші 4 А болғанда, мыс купорасы ерітіндісінен 40 минут ішінде катодқа қандай мөлшерде мыс бөлінеді?
№4 . Кедергісі 10 Ом өткізгіш паралель жалғанған. Егер электр кернеуі 60 В болатын болса, жалпы ток күші неге тең
Сергіту сәті.
Приборлардың атын атау.
Бекіту тапсырмалары: кестелік - бақылау




Тест-бақылау (10 сұрақтан тұрады) .
1. Тізбек бөлігінде 3 Кл заряд орын ауыстырғанда электр өрісі 120 Дж жұмыс атқарды. Кернеуді тап.
А) 360 В В) 0, 36 кВт С) 40 В Д) 4 кВ Е) 40 Вт
2. Кедергіні реттеуге арналған құрал-
А) реостат В) резистор С) теристор Д) транзистор Е) диод
3. 15 секундта өткізгіштің көлденең қимасы арқылы 120 Кл электр заряды өтеді. Тізбектегі ток күшін табындар.
А) 1, 8 кА В) 18 А С) 180 мА Д) 8 А Е) 8 Дж
4. 24В кернеуге 1, 5 А ток күшіне есептелінген шам 10 минут жанды. Электр тогының атқаратын жұмысын анықтаңдар.
А) 216 кДж В) 21, 6 кДж С) 216 Дж Д) 2, 16 кДж Е) 3, 6 кДж
5. Кернеуі 220В ток көзіне электр шамы қосылған. Шамнан өтетін ток күші 0, 3А-ге тең, оның 20с ішіндегі жұмысын анықтаңыз
А) 1320 Дж В) 396 Дж С) 66 Дж Д) 4400 Дж Е) 6200 Дж
6. Кернеудің өлшем бірлігі-
А) Ватт В) Ом С) Вольт Д) Ампер Е) Джоуль
7. Ток күшінің өлшем бірлігі-
А) Ватт В) Ампер С) Вольт Д) Ом Е) Джоуль
8. Кедергілері 6 және 3 Ом өткізгіштер паралель қосылған. Өткізгіштің жалпы кедергісі:
А) 0, 5 Ом В) 2 Ом С) 9 Ом Д) 18 Ом Е) 3 Ом
9. 100 В кернеуге және 0, 5 А ток күшіне есептелген электр шамының қуатын анықта.
А) 50 Вт В) 200 Вт С) 0, 005 Вт Д) 500 Вт Е) 5 кВт
10. Кернеуі 10 В электр доғасы ток көзіне қосылған. Электр доғасы 20 А ток күшін тұтынады. Электр доғасының қуатын анықтаңдар.
А) 200 Вт В) 2 Вт С) 0, 5 Вт Д) 2 Дж Е) 200 Дж
Тест жауаптары.
1 сұрақ - С 6 сұрақ - С
2 сұрақ - А 7 сұрақ - В
3 сұрақ - Д 8 сұрақ - В
4 сұрақ - В 9 сұрақ - А
5 сұрақ - А 10 сұрақ - А
Бағалау.
Үйге тапсырма: §49. Тапсырма: “Найзағайдың түрлері және оларға қысқаша сипаттама” баяндама жазу
8 сынып.
Сабақтың тақырыбы: «Заттың агрегаттық күйлерінің өзгеруі».
Оқыту мен тәрбиелеудің міндеттері:
Заттың сұйық күйден қатты күйге, қатты күйден сұйыққа өту процесін қайталау. Оқушыларды өз ойын ғылыми тұрғыда түсіндіруге үйрету.
Мақсаты:
Теориялық білімдерін есептер шығару арқылы тереңдету.
Құрал-жабдықтар, көрнекті құралдар: Интерактивті тақта, электронды оқулық.
Сабақ түрі: практикалық сабақ.
Әдіс-тәсілдер: сыни тұрғыда ойлау, ойын элементтері арқылы түсіндір
Сабақ барысы:
1. Ұйымдастыру. Топқа бөлу (2 топ )
2. Оқушылардың білім-білік дағдыларының қалыптасуын тексеру. Тест, ойын арқылы.
3. Қорытындылау, оқушы білімін бағалау.
4. Үйге тапсырма.
Мұғалімнің кіріспе сөзі.
“Бізді қоршаған айналамызға заттың агрегат күйлері жиі кездеседі. ”
Тест тапсырмасы.
- Энергияның сақталу заңы
а) энергия жоғалады ә) энергия жоқтан пайда болады
б) энергия жоғалмайды, жоқтан пайда болмайды, ол бір денеден екіншісіне беріледі.
- Заттың меншікті жылу сыйымдылығы . . .
а) денені қыздыруға берілген жылу мөлшері.
ә) денені қыздыру үшін берілген және салқындағанда бөлінетін жылу мөлшері.
б) жылу алмасуда бөлінетін энергия
- Жылу берілудің түрлері.
а) жылу өткізгіштік ә) жылу өткізгіштік сәуле шығару, конвекция б) конвекция
4. Ішкі энергияны өзгерту тәсілдері
а) жылу берілу ә) жұмыс істеу арқылы б) жылу берілу, жұмыс істеу
5. Қандай денелерде конвекция жүрмейді.
а) сұйық заттарда ә ) қатты денелерде б) газдарда
Тест жауаптары:
Есептер шығару.
- 3 кг мұзды суға айналдыруға қанша жылу қажет?
- 100 кг болатты балқытуға қанша жылу қажет?
- 2 кг темір балқытуға 540кДж энергия қажет. Меншікті балқу жылуын есепте.
4. 10 кг күмісті балқытуға 870 кДж энергия кетеді. Меншікті балқу жылуын есепте.
5. 30 0 С -тағы 15 кг қорғасынды балқытуға кететін жылу мөлшерін есепте
Сабақты қорытындылау.
Сонымен біз заттың агрегаттың күйлерін қарастырдық, қорытынды тестке жауап берейік:
- Балқу температурасы:
а) заттың балқитын температурасы б) кез-келген температура
с) жылу бөлінетін температура
2. МКТ тұрғысынан балқу процесі кезінде:
а) ішкі энергия өзгермейді б) өзгереді с) энергия айналу болмайды.
3. t= 30 0 С қорғасын қай күйде:
а) сұйық б) газ с) қатты
4. Al мен Cu қайсысын ыдыс етіп, 2-н балқытар едің?
а) Al- ыдыс б) Cu - ыдыс с) екеуі де ыдыс
Қорытынды тест жауаптары: 1 - А 2 - Б 3 - С 4 - А
Оқушы білімін бағалау.
Үйге тапсырма:ҚАЙТАЛАУ
9 сынып
Сабақтың тақырыбы: Томсон формуласы. Контурдағы меншікті тербелістер жиілігі
Сабақтың мақсаты:
- Білімділік мақсаты:Оқушы білімін, іскерлігін, дағды деңгейін бақылау, бағалау. Электромагниттік тербелістермен таныстырып солар жайлы түсінік қалыптастыру.
- Дамытушылық мақсаты:Оқушылардың білім деңгейін және білім мазмұнының тұрақтылығы мен оны игерудегі іскерлік пен дағдыны бақылау.
- Тәрбиелік мақсаты:Адамгершілікке, ұқыптылыққа, алғырлыққа, отансүйгіштікке, табиғатты аялауға, сыйластық пен әдептілікке баулу.
Сабақтың түрі: жаңа білімді қалыптастыру, жалпылау
Сабақтың әдіс-тәсілдері: Әңгіме, лекция, дискуссия, кітаппен жұмыс, есептер шығару
Сабақтың барысы:
І. Ұйымдастыру кезеңі :
1. Сәлемдесу;
2. Оқушыларды түгендеу;
3. Сынып болмесінің тазалығын тексеру;
4. Оқушылардың сабаққа дайындығын тексеру (жұмыс орны, отырыстары, сыртқы түрлері) ;
5. Оқушылардың назарын сабаққа аудару.
ІІ. Үй тапсырмасын тексеру, қайталау.
А) теориялық білімдерін тексеру.
Ә) практикалық тапсырмаларын тексеру.
Б) есептерін тексеру.
ІІІ. Білімді жан-жақты тексеру.
ІV. Жаңа материалды қабылдауға әзірлік, мақсат қою.
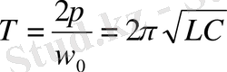
Серіппелі маятник тербелістері мен контурдағы электромагниттік тербелістер арасындағы ұқсастықты ескере отырып, контурдағы тербеліс периодын табуға болады. Серіппелі маятниктің тербеліс периоды
, ал маятниктің тербеліс жиілігі
. Циклдік немесе дөңгелектік жиілік шамасы дененің 1 с ішіндегі емес, 2П с ішіндегі тербеліс саны. Ол
немесе
өрнектерімен анықталады. Еркін тербелістің жиілігін тербелмелі жүйенің меншікті жиілігі деп атайды.
Онда серіппелі маятниктің меншікті жиілігі:
Осыған
өрнегін әкеліп қойсақ, онда
немесе
немесе
Онда контурдағы еркін электромагниттік тербелістер периоды үшін мына өрнекті жазамыз:
Бұл формуланы оны алғаш қорытып шығарған ағылшын физигінің құрметіне Томсон формуласы деп атайды.
V. Жаңа материалды меңгерту:
- Томсон формуласы.
- Томсон формуласына енетін шамалар қандай бірліктермен өлшенеді?
- Мысал келтір
VІ. Оқытылып отырған оқу материалын бекіту немесе дағдыландыру жұмыстарын жүргізу.
- 126 беттегі есептерді шығару
- Деңгейлік тапсырмалар.
І деңгей.
1. Кедергісі аз тербелмелі контурда катушканың индуктивтігін 4 есе арттырса, ал конденсатордың сыйымдылығын 2 есе кемітсе, контурдағы еркін электр тербелістерінің периоды қалай өзгереді?
2. Кедергісі аз тербелмелі контурда катушканың индуктивтігін 2 есе арттырса, ал конденсатордың сыйымдылығын 2 есе кемітсе, контурдағы еркін электр тербелістерінің жиілігі қалай өзгереді?
ІІ деңгей.
- Тербелмелі контур сыйымдылығы 1 мкФ конденсатордан және индуктивтігі 10 мГн катушкадан тұрады. Контурдағы тербелістер периодын есептеңдер.
- Тербелмелі контур сыйымдылығы 500 пФ конденсатордан және индуктивтігі 1 мГн катушкадан тұрады. Контурдағы тербелістер жиілігін есептеңдер.
ІІІ деңгей.
- Сыйымдылығы 2 мкФ конденсатормен жиілігі 1кГц электромагниттік тербелістер алу үшін, тербелмелі контурда индуктивтігі қандай катушка қосу керек?
- Индуктивтігі 0, 76 Гн катушкасы бар тербелмелі контурға дыбыс жиілігі 400 Гц электромагниттік тербелістер алу үшін, тербелмелі контурда сыйымдылығы қандай конденсатор қосу керек?
VIІI. Бағалау. Үй тапсырмасын беру: §31. Сұрақтарға жауап беру
9 сынып
Тақырыбы: Ампер күші. Сол қол ережесі
Мақсаты:
Білімділік: Ампер күші физикалық шама туралы мәлімет енгізу, сол қол ережісімен таныстыру.
Дамытушылық: Сол қол ережесіні практикада қолдануға үйрету, оқушылардың логикалық қабілетін дамыту, есептерді шығаруға жолдарын көрсету.
Тәрбелік: Пәнге қызығушылықты тұдыру, өз бетімен жұмысту жасауға үйрету
Сабақтың түрі: аралас
Әдіс - тәсілдер: СТО
Сабақтың барысы
- Ұйымдастыру кезеңі
- Қайталау сұрақтары
1. Қандай өзара әрекеттесу магниттік деп аталады?
2. Магниттік өрістің негізгі қасиеттері қандай?
3. Магнит индукция векторының бағытын қалай анықтайды?
4. Электростатикалық өріс пен тұрақты магниттік өрісінің айырмашылығы неде?
- Сабақтың жаңа тақырыбын түсіндіру
Ток "бізге қарай" бағытталса, онда индукция бағыты қандай болады?
Ток "бізден" бағытталса, онда индукция бағыты қандай болады?
Мына суреттің мәні қандай?
Белгілі француз физигі Ампер токтардың өзара әрекетін зерттей отырып, магнит өрісінің токқа белгілі бір күшпен әрекет ететінін көрсететін бірнеше тәжірибелер қойды. Осы физикалық шама Ампер күші деп аталады.
Ампер заңы
α=90º (sin90º=1) кезінде Ампер күшінің ең үлкен мәнге ие болады
F max=BI∆ι
Сол қолдың алақанына магнит өрісінің күш сызықтары енетіндей етіп және төрт саусақты ток бағытымен бағыттасақ, онда 90градус бұрышпен тұрған бас бармақ Ампер күшінің бағытын көрсетеді.
- Бекіту үшін есептер
- Іс жүргізу
- Автоматтандыру, Техника
- Алғашқы әскери дайындық
- Астрономия
- Ауыл шаруашылығы
- Банк ісі
- Бизнесті бағалау
- Биология
- Бухгалтерлік іс
- Валеология
- Ветеринария
- География
- Геология, Геофизика, Геодезия
- Дін
- Ет, сүт, шарап өнімдері
- Жалпы тарих
- Жер кадастрі, Жылжымайтын мүлік
- Журналистика
- Информатика
- Кеден ісі
- Маркетинг
- Математика, Геометрия
- Медицина
- Мемлекеттік басқару
- Менеджмент
- Мұнай, Газ
- Мұрағат ісі
- Мәдениеттану
- ОБЖ (Основы безопасности жизнедеятельности)
- Педагогика
- Полиграфия
- Психология
- Салық
- Саясаттану
- Сақтандыру
- Сертификаттау, стандарттау
- Социология, Демография
- Спорт
- Статистика
- Тілтану, Филология
- Тарихи тұлғалар
- Тау-кен ісі
- Транспорт
- Туризм
- Физика
- Философия
- Халықаралық қатынастар
- Химия
- Экология, Қоршаған ортаны қорғау
- Экономика
- Экономикалық география
- Электротехника
- Қазақстан тарихы
- Қаржы
- Құрылыс
- Құқық, Криминалистика
- Әдебиет
- Өнер, музыка
- Өнеркәсіп, Өндіріс
Қазақ тілінде жазылған рефераттар, курстық жұмыстар, дипломдық жұмыстар бойынша біздің қор #1 болып табылады.

Ақпарат
Қосымша
Email: info@stud.kz