Ондық бөлшек. ондық бөлшекті оқу және жазу

Аққайын ауданы
№ 3 Смирнов орта мектебі
Математика пәні мұғалімі
Курмангалиева Айгүл Ноянқызы
5 а сынып математика
Сабақтың тақырыбы: Ондық бөлшек. Ондық бөлшекті оқу және жазу.
Сабақтың мақсаты:
1. Білімділік: Ондық бөлшектер ұғымын енгізу, ондық бөлшектерді оқуға және жаза білуге жағдай жасау;
2. Дамытушылық: Белсенділіктерін және оқушылардың пәнге қызығушылығын арттыру, дамыту;
3. Тәрбиелік: Оқуға, саналы сезімге, жауапкершілікке өз бетінше еңбектенуге тәрбиелеу. Тез ойлап, тез қорытуға және сөйлеу мәнеріне тәрбиелеу.
Сабақтың түрі : Жаңа білім беру сабағы.
Көрнекіліктері: сабаққа қатысты сызбалар, компьютер, кубик.
Оқыту әдістері : Түсіндірмелі сұрақ - жауап, ой-толғаныс, дидактикалық бірліктерді ірілендіру технологиясы, кубизм стратегиясы, іскерлік ойындар.
Сабақтың барысы:
І. Ұйымдастыру кезеңі . Сабаққа қажетті құралдарын түгендеп, дұрыс отыруларына назар аудару.
- Балалар, біздің бүгінгі сабағымыздың негізгі мақсаты:" Білім" әлемінде "Жағалау" бар, сол жағалауды құтқарып, білім алуымыз керек.
Балалар бізге бір тапсырма келді. Соны оқып, тапсырманы орындайық.
Қымбатты балалар!
Балқаш көлінің алыстағы “Ондық бөлшек” жағалауында экологиялық апат болған екен. Бұрын бұл жер өсімдік пен гүлдерге толы, құстары сайраған, елік-маралы көсілген жер болған. Сол апаттың кесірінен ол жерде қазір өсімдіктер құрып, хайуанаттары жоғала бастаған. Ал олардың құруы адамдар өміріне де қатерлі. Біз бүгін бұл жағалауды, ондағы адамдарды апат зардабынан құтқару үшін көрсетілген маршрут бойынша сапар шегеміз. Құтқару оңай емес. Ол үшін біраз жолды кемемен жүріп, әртүрлі сындардан өтіп, қиындықтарды жеңуіміз керек.
Біз бір-бірімізге көмектесе отырып, барлық қиындықты жеңіп, мақсатымызға жетеміз!
Ендеше балалар көңіл-күйіміз қалай екен? Тамаша әлде жақсы немесе жабырқау ма?
- Жорық қағазын көріп алайық.
Өтілген тақырыптарды есімізге түсірейік:
Жай бөлшектерді қосу және азайту.
Жай бөлшектерді көбейту және бөлу
,
ІІ. «Тренинг» айлағы Қандай математикалық амалдарды білесіңдер?
Жақшаны ашу, бөлшекті қысқарту, бөлшектерді қосу және азайту, бөлшектерді ортақ бөлімге келтіру, ұқсас мүшелерді біріктіру, бөлшектерді бөлу және көбейту.
Қандай түрлендіру орындалған?
Бөлшекті көбейту, бөлшекті қысқарту, бөлшектерді қосу, бөлшектерді азайту.
ІІІ. «Біліктілік» айлағы.
Графикалық диктант: - иә, - жоқ
- Өзара тең бөліктер үлес деп аталады.
- бөлшектері қысқарылмайтын бөлшектер.
- Бөлшек сызығының астында бөлшектің алымы жазылады
- 15 минут сағаттыңбөлігі
- Дұрыс бөлшек координаталық сәуледе 1 санының оң жағында орналасады.
Жауабы:
IV «Жаңа сабақ» айлағы
Сабақ тақырыбы жазылып, мақсаты айтылады. Ондық бөлшектер ұғымын енгізу, ондық бөлшектерді оқуға және жаза білуге жағдай жасау;
Бөлімі онға еселік болатын сан ондық бөлшек деп аталады.
Бөлімдері 10, 100, 1000 және т. с. с болатын бөлшектерді
жазуға болады.
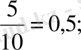
Оқылуы:
нөл бүтін оннан бес
Жай бөлшекті немесе аралас санды ондық бөлшек түрінде жазу үшін:
- Керек жағдайда бөлшектің алымындағы цифрлар саны мен бөліміндегі нөлдер санын теңестіру;
- Бүтін бөлігін жазу;
- Бүтін бөлігін бөлшек бөлігінен айыру үшін үтір қою керек;
- Бөлшек бөлігінің алымын үтірден кейін жазу керек.
Ондық бөлшектің бөлшек бөлігінің цифрлары ондық таңбалар деп аталады.
Мысалы: 5, 128, мұндағы 1, 2, 8 цифрлары -ондық таңбалары
Жай бөлшекті ондық бөлшек түрінде жазуға болады.
Мысалы:
.
.
.
жүздік
ондық
бірлік
Ондық үлес
жүздік үлес
мыңдық үлес
Он мыңдық үлес
Жүз мыңдық үлес
Миллиондық үлес
. . .

V «Есте сақта» айлағы
Тарихи деректерге тоқталу.
Ондық бөлшек орта ғасырда араб математиктерінің және олармен бір уақытта Ежелгі Қытайда пайда болған. Еуропа ондық бөлшектерді Нидерланды математигі және инженері Симон Стевин (1548-1620) 1585 жылы “Оныншы” кітабын жарыққа шығарғанда қолнысқа енгізген. Бұл кітап Еуропаға кең тараған. 1585 жылы оны автор француз тіліне аударған. Ал 1608 ж кітап ағылшын тілінде жарық көрген.
VI «Сиқырлы балықтар әлемі» Есептер шығару: ауызша №697, №698, , жазбаша: №701, №706
№701
№706
Үлгерімі төмен оқушыға тапсырма:
1. Тең ондық бөлшектердің теңдік құрастырыңдар.
0, 4; 3, 56; 1, 2; 3, 56000; 0, 40; 0, 4000; 1, 02; 1, 20.
2. Ондық бөлшекті жай бөлшек түрінде жазыңдар:

3. Ондық бөлшекті жай бөлшек түрінде жазыңдар:

4. 4, 648 санында қанша ондық таңба бар және оны көрсет.
5. сөйлемдегі кезедесетін санды жаз.
Күн сәулесі Жерге сегіз бүтін оннан бес минутта жетеді.
- Іс жүргізу
- Автоматтандыру, Техника
- Алғашқы әскери дайындық
- Астрономия
- Ауыл шаруашылығы
- Банк ісі
- Бизнесті бағалау
- Биология
- Бухгалтерлік іс
- Валеология
- Ветеринария
- География
- Геология, Геофизика, Геодезия
- Дін
- Ет, сүт, шарап өнімдері
- Жалпы тарих
- Жер кадастрі, Жылжымайтын мүлік
- Журналистика
- Информатика
- Кеден ісі
- Маркетинг
- Математика, Геометрия
- Медицина
- Мемлекеттік басқару
- Менеджмент
- Мұнай, Газ
- Мұрағат ісі
- Мәдениеттану
- ОБЖ (Основы безопасности жизнедеятельности)
- Педагогика
- Полиграфия
- Психология
- Салық
- Саясаттану
- Сақтандыру
- Сертификаттау, стандарттау
- Социология, Демография
- Спорт
- Статистика
- Тілтану, Филология
- Тарихи тұлғалар
- Тау-кен ісі
- Транспорт
- Туризм
- Физика
- Философия
- Халықаралық қатынастар
- Химия
- Экология, Қоршаған ортаны қорғау
- Экономика
- Экономикалық география
- Электротехника
- Қазақстан тарихы
- Қаржы
- Құрылыс
- Құқық, Криминалистика
- Әдебиет
- Өнер, музыка
- Өнеркәсіп, Өндіріс
Қазақ тілінде жазылған рефераттар, курстық жұмыстар, дипломдық жұмыстар бойынша біздің қор #1 болып табылады.

Ақпарат
Қосымша
Email: info@stud.kz