Тік белдемшенің сызбасын құрастыру

Сабақтың тақырыбы: Тік белдемшенің сызбасын құрастыру
Сабақтың мақсаты:
Білімділік: Белдемшенің сызбасының сызылу жолдарын түсіндіру
Дамытушылық : Оқушылардың сызбаға деген көзқарасын арттырып шеберлігін дамыту
Тәрбиелік: Оқушыларды ұқыптылыққа, іскерлікке тәрбиелеу
Сабақтың түрі: Жаңа сабақ
Сабақтың әдісі: Түсіндіру, нұсқау, сарамандық жұмыс
Пән аралық байланыс: Геометрия, сызу
Көрнекілігі және керекті құрал-жабдықтар: Интерактивті тақта, үлгі, сызғыш, қарындаш, дәптер
Сабақтың барысы:
І. Ұйымдастыру кезеңі: Оқушылардың зейінін сабаққа аудару. Бір біріне жылы лебіздерін білдіріп, тілек айтады.
ІІ. «Кім көп біледі?» Үй тапсырмасын сұрау.
Өлшем алғанда қандай құрал пайдаланады?
Қандай өлшем түрлерін білесің?
МЖО қандай өлшем бірлік?
Бел өлшемі қалай белгіленеді?
Арқаның мықынға дейінгі өлшемін көрсет?
Бұ - өлшемінің атауы?
Белдің жартылай орамының белгіленуі?
ІІІ. Жаңа сабақ
Тік белдемшеге қажетті өлшемдер
Мықынның орамы Мо 96
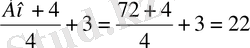
Белдің орамы Бо 72
Бұйым ұзындығы Бұ 70
алдыңғы бөлігі
Артқы бөлігі

mm 1
mm 2
1, 25 алдыңғы бөлік
1, 5 артқы бөлік
Бүкпенің ұзындығы
Алдыңғы бойында
Артқа бойында
8 - 9 алдыңғы бөлік
11 - 13 артқы бөлік
Белдің қосымша нүктесі
(жоғарғы қиынды)
- 0.
Б нүктені табу үшін Б 1 1 М нүктелерді 0, 5 дөңес сызық арқылы қосады.
Тік белдемшені даяр түріндегі безендіру

Сабақты бекіту: Белдемшенің сызбасының сызылу жолдары?
Үйге тапсырма: Өз өлшемі бойынша белдемше сызбасын құру
- Іс жүргізу
- Автоматтандыру, Техника
- Алғашқы әскери дайындық
- Астрономия
- Ауыл шаруашылығы
- Банк ісі
- Бизнесті бағалау
- Биология
- Бухгалтерлік іс
- Валеология
- Ветеринария
- География
- Геология, Геофизика, Геодезия
- Дін
- Ет, сүт, шарап өнімдері
- Жалпы тарих
- Жер кадастрі, Жылжымайтын мүлік
- Журналистика
- Информатика
- Кеден ісі
- Маркетинг
- Математика, Геометрия
- Медицина
- Мемлекеттік басқару
- Менеджмент
- Мұнай, Газ
- Мұрағат ісі
- Мәдениеттану
- ОБЖ (Основы безопасности жизнедеятельности)
- Педагогика
- Полиграфия
- Психология
- Салық
- Саясаттану
- Сақтандыру
- Сертификаттау, стандарттау
- Социология, Демография
- Спорт
- Статистика
- Тілтану, Филология
- Тарихи тұлғалар
- Тау-кен ісі
- Транспорт
- Туризм
- Физика
- Философия
- Халықаралық қатынастар
- Химия
- Экология, Қоршаған ортаны қорғау
- Экономика
- Экономикалық география
- Электротехника
- Қазақстан тарихы
- Қаржы
- Құрылыс
- Құқық, Криминалистика
- Әдебиет
- Өнер, музыка
- Өнеркәсіп, Өндіріс
Қазақ тілінде жазылған рефераттар, курстық жұмыстар, дипломдық жұмыстар бойынша біздің қор #1 болып табылады.

Ақпарат
Қосымша
Email: info@stud.kz