Болашақ депозит

«Болашақ депозит» сайыс сабағы
Сыныбы: 9
Күні: 21. 01. 2014 ж.
Сабақтың мақсаттары:
Білімділік: Оқушыларды қызықты есептердің көмегімен математикаға, есепке қызығушылығын арттыру және логикалық ой - өрісін дамыту, қалыптастыру
Тәрбиелік: Оқушыларды алғырлыққа, шапшаңдылыққа, тапқырлыққа тәрбиелеу
Дамытушылық: Оқушылардың шығармашылық ізденісін, тапқырлығын, зеректігін, ойлауға икемділігін дамытуға ықпал ету.
Сабақтың түрі: сайыс сабақ
Сабақтың әдісі: топ бойынша жұмыс
Сабақтың жоспары:
- Ұйымдастыру кезеңі
- Тапқырлық
- Біліктілік
- Логикалық тапсырма
- Қызықты есеп
- Кім жылдам?
- Сергіту сәті
- Қорытындылау
1. Ұйымдастыру кезеңі. Оқушыларды топпен отырғызу, сайыс сабақтың неше бөлімнен тұратындығын және шарттарын айту. Әр топ берілген тапсырмаларды орындай отырып, «Болашақ» депозитіне ақша салады. Тапсырмалардың деңгейіне қарай ақшалар белгіленген. Сайыстың барысында әр топ тапсырмаларды орындай отырып, депозитке ақша салады. Депозитка салған ақшаларының жылдық өсімі 10 % - ды құрайды.
2. Тапқырлық (100 теңге)
Топтарға сұрақтар қойылады, дұрыс жауап берген сұраққа ақшалай ұпай алады.
1. Вектор дегеніміз не?
2. Осьтік симметрия
3. Сан тізбегі
1. Бағыттас векторлар
2. Сызықтық теңдеулер жүйесін шешудің тәсілдері
3. Арифметикалық прогрессия
1. Тең векторлар дегенііз не?
2. Центрлік симметрия
3. Геометриялық прогрессия
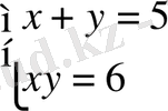
3. Біліктілік (200 теңге)
1. Теңдеулер жүйесін шығарыңдар
2.
3.
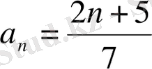
2. Берілген тізбектің 4 мүшесін жазыңдар
1.
2.
3.
3. Арифметикалық прогрессияның
мүшесін табыңдар
1.
2.
3.
4. Арифметикалық прогрессияның алғашқы 100 мүшесінің қосындысын табыңдар
1.
2.
3.
5. Геометриялық прогрессияның
мүшесін табыңдар
1.
2.
3.
4. Логикалық тапсырмалар (200 теңге)
Әр топ өздеріне берілген сөздерден логикалық есепті құрастырады және сол есептің шешімін айтады.
5. Қызықты есеп ( 200 теңге)
Атау септігі кім? не?
Ілік септігі кімнің?
Осы жерде математиканы қолдана отырып, ілік септігінің екінші сұрағын табу керек.
1. «Сөредегі кітаптар»
Кітап сөресінде шығармалар жинағының он томдығы ретсіз жиналыпты. Ал, осыларды 2 - 2 кітаптан алып, үш рет орын ауыстырса болғаны, олар рет - ретімен тұрады. Сонда кітаптарды қалай ауыстырар едіңіз?
1 2 6 10 3 8 4 7 9 5
6. Кім жылдам? (100 теңге)
1. Арифметикалық рогрессияның n - ші мүшесінің формуласы
2. Геометриялық прогрессияның алғашқы n мүшесінің қосындысының формуласы
3. Екі вектордың скалярлық көбейтіндісі
4. Арияметикалық прогрессияның алғашқы n мүшесінің қосындысының формуласы
5. Векторлар арасындағы бұрышты анықтау формуласы
7. Сергіту сәті
Әр топ өздеріне берілген әріптерден басталатындай етіп сәйкесінше сұрақтарға жауап береді.
1. Қай пәнді оқығанды жақсы көресің?
2. Қандай мұғалімнің сабақ бергені ұнайды?
3. Егер сабаққа кешіксең, кімді кінәлайсың?
4. Егер сабаққа дайындалмай келсең, кімді кінәлайсың?
5. Кімге ұқсағын келеді?
6. Сыныбыңдағы үлгілі оқушы?
А Т С К Д Н Б А Ф М Л Р Х Д А Ө Ж Ш
8. Қорытындылау
Әр топтың депозитке салған ақшаларын және 10 % - ды өсімді қоса есептеп, қай топтың жеңіске жеткендігін анықтау.
- Іс жүргізу
- Автоматтандыру, Техника
- Алғашқы әскери дайындық
- Астрономия
- Ауыл шаруашылығы
- Банк ісі
- Бизнесті бағалау
- Биология
- Бухгалтерлік іс
- Валеология
- Ветеринария
- География
- Геология, Геофизика, Геодезия
- Дін
- Ет, сүт, шарап өнімдері
- Жалпы тарих
- Жер кадастрі, Жылжымайтын мүлік
- Журналистика
- Информатика
- Кеден ісі
- Маркетинг
- Математика, Геометрия
- Медицина
- Мемлекеттік басқару
- Менеджмент
- Мұнай, Газ
- Мұрағат ісі
- Мәдениеттану
- ОБЖ (Основы безопасности жизнедеятельности)
- Педагогика
- Полиграфия
- Психология
- Салық
- Саясаттану
- Сақтандыру
- Сертификаттау, стандарттау
- Социология, Демография
- Спорт
- Статистика
- Тілтану, Филология
- Тарихи тұлғалар
- Тау-кен ісі
- Транспорт
- Туризм
- Физика
- Философия
- Халықаралық қатынастар
- Химия
- Экология, Қоршаған ортаны қорғау
- Экономика
- Экономикалық география
- Электротехника
- Қазақстан тарихы
- Қаржы
- Құрылыс
- Құқық, Криминалистика
- Әдебиет
- Өнер, музыка
- Өнеркәсіп, Өндіріс
Қазақ тілінде жазылған рефераттар, курстық жұмыстар, дипломдық жұмыстар бойынша біздің қор #1 болып табылады.

Ақпарат
Қосымша
Email: info@stud.kz