Логарифмдік теңдеулерді шешу. жоспар. 11-сынып

Пәні: Алгебра
Сыныбы: 11«а, ә»
Сабақтың тақырыбы: Логарифмдік теңдеулер және оларды шешу тәсілдері.
Сабақтың мақсаттары:
Білімділік: Оқушыға логарифмдік теңдеулер және олардың жүйелері туралы мағлұмат беру.
Дамытушылық: Тақырып бойынша оқушылардың білімдерін жүйелеу, жалпылау және тексеруді іске асыру. Оқушының ойын жеткізу білуін және ой өрісін дамыту.
Тәрбиелілік: Оқушыны ұйымшылдыққа, ұқыптылыққа, дәлдікке, өзін-өзі бағалай білуге тәрбиелеу.
Сабақтың типі : Жаңа сабақ .
Сабақтың көрнекілігі : логарифдік тепе-теңдіктер плакаттар
Сабақтың құрылымы:
- Ұйымдастыру кезеңі
- Үй жұмысын тексеру
- Жаңа тақырыпты түсіндіру
- Сабақты бекіту
- Есептер шығару
- Үйге тапсырма беру
- Қорытындылау
Сабақтың барысы:
1. Ұйымдастыру кезеңі
-оқушылармен амандасу
-оқушыларды түгендеп, сыныптың сабаққа даярлығын бақылау
-сабақтың міндеті мен мақсатын таныстыру
2. Үй жұмысын тексеру
3. Жаңа сабақты түсіндіру
Бекіту.
Анықтама. Айнымалысы логарифм белгісінің ішінде болатын теңдеуді логарифмдік теңдеу деп атайды.
Қарапайым логарифмдік теңдеудің түрі:
Мұндағы, a және b - берілген сандар, ал x - тәуелсіз шама.
Егер a > 0, және a ≠ 1 болса, онда мұндай теңдеудің
x = a b
түріндегі бір ғана түбірі болады.
Күрделі логарифмдік теңдеулерді шешу алгебралық немесе (1) түрдегі теңдеуді шешуге әкеледі.
Логарифмдік теңдеуді шешудің тәсілдерін қарастырайық.
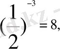
1. Логарифмнің анықтамасын қолдану арқылы шығарылатын теңдеулер.
- теңдеуін шешейік.
Шешуі: логарифмнің анықтамасы бойынша
, онда x=2
Табылған айнымалаының мәнін теңдеуге қойып тексереміз:
Демек, x=2 мәні теңдеуді қанағаттандырады.
Жауабы:2
Логарифмдік функцияның анықталу облысы оң нақты сандар жиыны екені белгілі. Сондықтан логарифмдік теңдеулерді шығару кезінде алдымен айнымалының мүмкін болатын мәндер жиынын анықтайды. Одан кейін берілген теңдеу шығарылып, табылған айнымалы мәндерінің мүмкін мәндер жиынына тиісті болатыны тексеріледі.
2.
Потенциалдауды қолдану үшін логарифмдік теңдеуді
түріне келтіру.
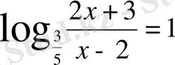
2-мысал.
теңдеуін шешейік.
Шешуі. х айнымалысының мүмкін болатын мәндер жиынын табамыз. ол үшін келесі жүйені құрамыз:
немесе
х айнымалысының мүмкін мәндер жиыны (5; +∞) аралығы болады.
Берілген теңдеуді түрлендіріп,
теңдеуін аламыз. Потенциалдау арқылы
немесе
теңдеуіне келеміз. Мұнан
және
. Енді шыққан мәндердің (5; +∞) аралығына тиісті болатынын тексеріп, логарифмдік теңдеудің түбірі
екенін анықтаймыз.
Жауабы:6.
3. Жаңа айнымалы енгізу тәсілі.
3-мысал.
теңдеуін шешейік.
Шешуі.
өрнегін
y
арқылы өрнектейік. Сонда берілген теңдеудің орнына
теңдеуін аламыз, теңдеудің түбірлері
Енді айнымалысының мәндерін анықтаймыз:
Айнымалының екі мәні де берілген теңдеуді қанағаттандырады.
Жауабы:4;
.
4. Мүшелеп логарифмдеу тәсілі.
4-мысал.
теңдеуін шешейік.
Шешуі. Берілген теңдеуді былай жазайық:
немесе
Шыққан теңдеуді негізін 2-ге тең етіп логарифмдейік:
Демек, 1)
осыдан
2)
осыдан
Тексеру: 1)
немесе
8=8.
2)
немесе
8=8.
Жауабы:8;
Практикада негіздері әр түрлі логарифмдерден тұратын логарифмдік теңдеулер кездеседі. Мұндай жағдайда жаңа негізге көшу формуласы қолданылады .
5-мысал.
теңдеуін шешейік.
Шешуі. x айнымалысының мүмкін болатын мәндер жиыны (0; 1) ᴗ(1; +∞) аралығы екені бірден байқалады. Жаңа негізге көшу формуласын қолданып,
өрнегін негізі 2 болатын логарифмге алмастырамыз:
Сонда берілген теңдеу мына түрге келеді:
немесе
. Демек,
немесе
мұнан x=2;
болғандықтан, 2 саны теңдеудің түбірі болады.
Жауабы: 2.
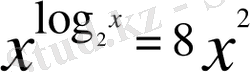
Егер айнымалы дәреженің көрсеткішінде де, логарифм белгісінің ішінде де болса, мұндай теңдеуді көрсеткіштік логарифмдік теңдеу деп атайды.
Көрсеткіштік логарифмдік теңдеуді шешу үшін теңдеудің екі жағын логарифмдеу тәсілі арқылы логарифмдік теңдеуге келтіріледі.
6-мысал.
теңдеуін шешейік.
Шешуі.
теңдеуді түрінде жазамыз.
тепе-теңдігін қолданып, келесі теңдеуді аламыз:
, осыдан
.
3 негізі бойынша теңдеудің екі жағын логарифмдейміз. Сонда
бұдан
және
немесе
және
.
Тексеру:1)
;
2)
Жауабы:
5. Есептер шығару
№278
1.
2.
3.
4.
№279
1.
2.
3.
4.
6. Үйге тапсырма : №280 (1, 2) №281
7. Қорытындылау
Жеке оқушылардың жұмысына баға беру. Қойылған бағаларды дәлелдеу, түсінік беру. Сабақ бойынша ескертулер жасау.
Пән мұғалімі: Нугиева Б. Ж.
- Іс жүргізу
- Автоматтандыру, Техника
- Алғашқы әскери дайындық
- Астрономия
- Ауыл шаруашылығы
- Банк ісі
- Бизнесті бағалау
- Биология
- Бухгалтерлік іс
- Валеология
- Ветеринария
- География
- Геология, Геофизика, Геодезия
- Дін
- Ет, сүт, шарап өнімдері
- Жалпы тарих
- Жер кадастрі, Жылжымайтын мүлік
- Журналистика
- Информатика
- Кеден ісі
- Маркетинг
- Математика, Геометрия
- Медицина
- Мемлекеттік басқару
- Менеджмент
- Мұнай, Газ
- Мұрағат ісі
- Мәдениеттану
- ОБЖ (Основы безопасности жизнедеятельности)
- Педагогика
- Полиграфия
- Психология
- Салық
- Саясаттану
- Сақтандыру
- Сертификаттау, стандарттау
- Социология, Демография
- Спорт
- Статистика
- Тілтану, Филология
- Тарихи тұлғалар
- Тау-кен ісі
- Транспорт
- Туризм
- Физика
- Философия
- Халықаралық қатынастар
- Химия
- Экология, Қоршаған ортаны қорғау
- Экономика
- Экономикалық география
- Электротехника
- Қазақстан тарихы
- Қаржы
- Құрылыс
- Құқық, Криминалистика
- Әдебиет
- Өнер, музыка
- Өнеркәсіп, Өндіріс
Қазақ тілінде жазылған рефераттар, курстық жұмыстар, дипломдық жұмыстар бойынша біздің қор #1 болып табылады.

Ақпарат
Қосымша
Email: info@stud.kz