Жай бөлшектерді бөлу. 5 сынып

«Теориясы»
«Білу»
«Түсіну» (неліктен? Себебі? Не үшін? Неге?)
«Талдау» (салыстыру, ерекшелігі неде?)
Практикасы
«Қолдану» (қарапайым тапсырмалар)
Практикасы
«Қолдану» (оқулық тапсырмалары)
Сергіту (Логикалық есептер)
Теориясы:
«Жинақтау»
(қорытынды
Бағалау.
Үй тапсырмасы:
Алматы қаласы, №148 мектеп - гимназияның матеметика пәні мұғалімі : А. Д. Абитбаева
САБАҚ ЖОСПАРЫ
Сынып : 5
Тақырыбы: Жай бөлшектерді және аралас сандарды бөлу
Мақсаты:
білімділік: Жай бөлшекті бөлудің ережелерін пайдаланып, оларды қолдана алуы, тиянақтау, өз түсініктерін жүйелі пайдалана білуге дағдыландыру.
Дамытушылық: Оқушылардың ой-өрісін, логикалық ойлау қабілетін дамыту, өз беттерімен жұмыс жасай білуге дағдыландыру.
Тәрбиелік: Оқушыларды ұқыптылыққа, дәлдікке тәрбиелеу.
І кезең 1. Ұйымдастыру кезеңі (2 - минут)
1. Сәлемдесу
2. Оқушыларды түгендеу. (Денсаулықтарына назар аудару)
3. Үй тапсырмасын тексеру №796-799 (2-6) №801(2-6) (өзара тексеру)
І кезең
1. Бөлу көбейтуге кері: амал
Көбейтудің қасиеттерін пайдаланып теңдеу шешу
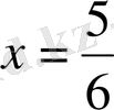
х-ті тап Ж. :
оқылуын ауызша айт.
Слайд№1
Қайталау сұрақтары:
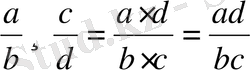
1. Бөлшекті бөлшекке көбейтуді қалай орындаймыз?
2. Натурал санды бөлшек санға қалай көбейтеміз?
3. Аралас сандар қалай көбейтіледі?
4. Өзара кері сандар деп қандай сандарды атайды?
5. Бөлшекті бөлшекке бөлуді қалай орындаймыз?
6. Аралас санды аралас санға бөлу қалай орындалады?
Слайд№2
Слайд№3
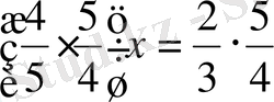
Теориялық білімді практика жүзінде пысықтау. Бөлуді орында (ауызша)
=
1
=
2
=
3
=
=
15
=
1
Бөлуді орында:
=
=
=
=
45
ІІ кезең
Оқулықпен жұмыс:№809(1-3), №811, №812
№ 809
1)
1) 2
2)
2)
3)
3) 5/21
№811
- Квадраттың периметрі. Квадраттың қабырғасы неше сантиметр?
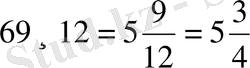
- Кубтың барлық қырларының қосындысы 69см. Кубтың қыры неше сантиметр?
№812 Кептер 25 секундта 420м қашықтыққа ұшады.
- Ол 672м қашықтықты неше секундта ұшады?
- жылдамдық
![]()
- Кептер 30 секундта неше метр қашықтыққа ұшады?
ІІІ кезең. Деңгейлік тапсырма
І деңгей (5 балл)
1.
=
=
2.
=
6
=
3.
=
15
=
45
ІІ деңгей (6 балл)
1.
=
2. Квадраттың қабырғасы
см, оның периметрін табыңдар
Ж: 14 см
3.
Ж: 4
Слайд№4
Логикалық жаттығу.
- Жыл он екі айдың ішінде 30 және 31 сандары ауысып отырады. Ал 28 және 29 сандары қай айда кездеседі?
- Қосарланып жегілген ат-арбамен Самат 8 шақырым жол жүрді. Оның әр аты неше шақырым жол жүрді?
3. Егер 3 тышқан 3 жаңғақты 3 минутта жессе, 100 тышқан
100 жаңғақты неше минутта жейді?
Слайд№5
Сөзжұмбақ шешу:
- Алымы бөліміне тең немесе алымы бөлімінен үлкен бөлшек.
- Бөлшек сызығының астындағы сан.
- Бөлшек сызығының үстіндегі сан.
- О нүктесінен бірдей қашықтықтағы нүктелерден құралған тұйық сызық.
- Ең кіші жай сан.
- Координаталық сәуледегі таңдап алынған кесінді.
Слайд №6 Тірек кесте
Слайд№7 Бағытпен жалғастыр
Слайд №8 Кім жылдам ?
Рефлексия. Не білдік? Нені қайталауымыз қажет?
Сабақ ұнады ма?
Оқушылар балдарын есептеу, бағалау
№812, 818, 810(2, 4) 822
Бағалау парағы 5 «Г» сыныбы Математика 30. 01. 13ж 2 сабақ
Тақырыбы: « Жай бөлшектерді және аралас сандарды бөлу »қайталау есептерін шығару
- Іс жүргізу
- Автоматтандыру, Техника
- Алғашқы әскери дайындық
- Астрономия
- Ауыл шаруашылығы
- Банк ісі
- Бизнесті бағалау
- Биология
- Бухгалтерлік іс
- Валеология
- Ветеринария
- География
- Геология, Геофизика, Геодезия
- Дін
- Ет, сүт, шарап өнімдері
- Жалпы тарих
- Жер кадастрі, Жылжымайтын мүлік
- Журналистика
- Информатика
- Кеден ісі
- Маркетинг
- Математика, Геометрия
- Медицина
- Мемлекеттік басқару
- Менеджмент
- Мұнай, Газ
- Мұрағат ісі
- Мәдениеттану
- ОБЖ (Основы безопасности жизнедеятельности)
- Педагогика
- Полиграфия
- Психология
- Салық
- Саясаттану
- Сақтандыру
- Сертификаттау, стандарттау
- Социология, Демография
- Спорт
- Статистика
- Тілтану, Филология
- Тарихи тұлғалар
- Тау-кен ісі
- Транспорт
- Туризм
- Физика
- Философия
- Халықаралық қатынастар
- Химия
- Экология, Қоршаған ортаны қорғау
- Экономика
- Экономикалық география
- Электротехника
- Қазақстан тарихы
- Қаржы
- Құрылыс
- Құқық, Криминалистика
- Әдебиет
- Өнер, музыка
- Өнеркәсіп, Өндіріс
Қазақ тілінде жазылған рефераттар, курстық жұмыстар, дипломдық жұмыстар бойынша біздің қор #1 болып табылады.

Ақпарат
Қосымша
Email: info@stud.kz