Санның модулі

«Қаракөл жалпы орта білім беретін мектеп-балабақшасы» КММ
Тақырыбы: «Санның модулі»
Сынып: 6
Пәні: математика
Өткізген: информатика пәнінің мұғалімі Рамазанова Г. Қ.
2014-2015 оқу жылы
Бекітемін :
Күні: 20. 10. 2014 жыл
Сыныбы: 6
Пәні : Математика
Пән мұғалімі: Рамазанова Г. Қ.
Мектеп: «Қаракөл жалпы орта білім беретін мектеп-балабақшасы» КММ
Сабақтың тақырыбы: Санның модулі /қайталау/
Сабақтың мақсаты :
Білімділік: Оқушылардың тақырып бойынша білімдерін тиянақтау, толықтыру, бекіту. Интерактивті әдісті тиімді пайдалану жолдарын көрсету;
Дамытушылық: Оқушылардың есептер шығарудағы іскерліктерін, өз бетімен еңбектенуін, білімділігін дамыту;
Тәрбиелік: Оқушыларды алғырлыққа, ұйымшылдыққа, және ұқыптылыққа тәрбиелеу
Сабақтың түрі: Білім бекіту сабағы
Сабақтың типі : Аралас сабақ
Сабақтың әдісі: Есепті шығару, ойын элементтері бар көрнекі сабақ
Көрнекілігі : Интерактивті такта, электрондық оқулық, ноутбук, үлестірме, флипчарт.
Пәнаралық байланыс : Информатика
Сабақтың барысы :
I. Ұйымдастыру кезеңі
II. Үй тапсырмасын тексеру
III. «Мұхитқа саяхат»
а) Билет алу
ә) I күн: «Балық аулау»
б) II күн: «Құс ату»
в) III күн: «Жыртқыш аңға кезігу»
г) IV күн: «Теңіз жыртқышынан құтылу»
IV. Сабақты бекіту
V. Үй тапсырмасы
VI. Бағалау
VII. Қорытынды.
І. Ұйымдастыру кезеңі.
А) Оқушылармен сәлемдесу;
Ә) Оқушылардың назарын сабаққа аудару;
II. Үй тапсырмасын тексеру .
=7, 5+5, 3=12, 8
=12, 8-5, 25=7, 55
= =
=
=
= 6, 2:0, 2 =31
III. «Мұхитқа саяхат»
а) Билет алу
Мұхитқа саяхатқа шығу үшін кемеге билет аламыз. Ол үшін балалар мынадай сұрақтарға жауап береміз:
- Санның модулі дегеніміз не?
- Санның модулі қалай жазылады?
Билетті алдық, енді балалар жолга шыгайық. Сәт сапар! Мұхитта саяхатта келе жатып жолдан адасып және кемеміз бұзылып біз ешқашан адам аяғы баспаған аралға келіп тоқтадық. Көмек төрт күннен кейін келеді. Енді сол күн аралығында осы аралда тіршілік етіп, өз азығымызды өзіміз табуымыз керек. Бұл аралдың ерекшелігі әр басқан қадамымыз есеппен шешіледі, сондықтан балалар бізге бұл аралда азық табу үшін мектепте математикадан алған біліміміз қажет болады.
ә) I күн: «Балық аулау»
Интерактивті тақтада су астындағы балықтардың суреті шығады. Оқушылар балықты аулау үшін оның артындағы тапсырманы орындау керек . /№370/
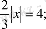
I-ші балық:
х-тің қандай мәнінде теңдік орындалады:
жауабы: 4
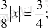
II-ші балық:
х-тің қандай мәнінде теңдік орындалады:
жауабы: 0, 6
III-ші балық
: х-тің қандай мәнінде теңдік орындалады:
жауабы: 6
IV-ші балық
: х-тің қандай мәнінде теңдік орындалады:
5
V-ші балық
: х-тің қандай мәнінде теңдік орындалады:
жауабы: 2
VI-ші балық
: х-тің қандай мәнінде теңдік орындалады:
жауабы: 4
VII-ші балық
: х-тің қандай мәнінде теңдік орындалады:
жауабы: 4
VIII-ші балық
: х-тің қандай мәнінде теңдік орындалады:
жауабы: 6
IX-ші балық:
х-тің қандай мәнінде теңдік орындалады:
жауабы: 3, 5
б) II күн: «Құс ату»
Интерактивті тақтада сол аралда ұшып жүрген жабайы құстардың суреті шығады. Оқушылар құстарды атып, дәл тигізу үшін олардың артындағы есептерді шығару керек. /№380/
I-ші құс
: Есептеңіз:
жауабы: 7, 8
II-ші құс
: Есептеңіз:
жауабы: 1
III-ші құс
: Есептеңіз:
жауабы: 2
IV-ші құс
: Есептеңіз:
жауабы: 0, 3
в) III күн: «Жыртқыш аңға кезігу»
Төртінші күні азық іздеп аралда айналып жүргенде сол аралдағы бір жыртқыш жабайы динозаврға кез боламыз. Одан құтылу үшін динозавр айтқан тапсырманы орындау керек. Динозавр бізге оқулықтағы №378 есепті дұрыс шығарсаңдар жіберем дейді.
№378. Өрнектің мәнін табыңдар:
, мұндағы m=-1, 8; n=2, 6; жауабы: 4, 4
, мұндағы m=6, 43; n=-1, 95; жауабы:4, 48
, мұндағы m= 5
; n=0, 75; жауабы: 4
, мұндағы m=0, 56; n=0, 14; жауабы: 4
д) Vкүн: «Теңіз жыртқышынан құтылу»
Көмек уақытында келіп, елге қайтып келе жатқанда кемеміздің алдынан теңіз жыртқышы кез болды. Одан құтылу үшін электрондық оқулықтағы есептерді дұрыс шығару керек.
Электрондық тапсырмалар:
Теңіз жыртқышынан құтылып, елімізге оралдық.
IV. Сабақты бекіту «Сөйлемді аяқта»
Осы 4 күн үшінде қаншама қиындықтарды бастан өткердік. Өзіміздің азығымызды табу үшін және түрлі қиындықтардан құтылып шығу үшін біз математикадан алған білімімізді қолдандық, осы білімімізді тиянақтау мақсатында мынадай сұрақтарға жауап берейік:
- Теріс санның модулі қандай санмен өрнектеледі? Мысал келтір.
- Оң санның модулі қандай санмен өрнектеледі? Мысал келтір.
- Қандай санның модулі 0-ге тең?
V. Үй тапсырмасы : №379, №381 есептерді шығарып келу.
VI. Бағалау
VII. Қорытынды .
- Іс жүргізу
- Автоматтандыру, Техника
- Алғашқы әскери дайындық
- Астрономия
- Ауыл шаруашылығы
- Банк ісі
- Бизнесті бағалау
- Биология
- Бухгалтерлік іс
- Валеология
- Ветеринария
- География
- Геология, Геофизика, Геодезия
- Дін
- Ет, сүт, шарап өнімдері
- Жалпы тарих
- Жер кадастрі, Жылжымайтын мүлік
- Журналистика
- Информатика
- Кеден ісі
- Маркетинг
- Математика, Геометрия
- Медицина
- Мемлекеттік басқару
- Менеджмент
- Мұнай, Газ
- Мұрағат ісі
- Мәдениеттану
- ОБЖ (Основы безопасности жизнедеятельности)
- Педагогика
- Полиграфия
- Психология
- Салық
- Саясаттану
- Сақтандыру
- Сертификаттау, стандарттау
- Социология, Демография
- Спорт
- Статистика
- Тілтану, Филология
- Тарихи тұлғалар
- Тау-кен ісі
- Транспорт
- Туризм
- Физика
- Философия
- Халықаралық қатынастар
- Химия
- Экология, Қоршаған ортаны қорғау
- Экономика
- Экономикалық география
- Электротехника
- Қазақстан тарихы
- Қаржы
- Құрылыс
- Құқық, Криминалистика
- Әдебиет
- Өнер, музыка
- Өнеркәсіп, Өндіріс
Қазақ тілінде жазылған рефераттар, курстық жұмыстар, дипломдық жұмыстар бойынша біздің қор #1 болып табылады.

Ақпарат
Қосымша
Email: info@stud.kz